本公号文献全部由作者自解读,欢迎投稿!

本文设计了一种新型的四咪唑立体结构,通过交叉的方式来锚定金属。这个策略可以实现一步法合成原子级分散的Fe-N4碳基催化剂,不需要任何复杂的前处理以及热解后酸洗处理。不同于传统合成ZIF-8的二甲基咪唑单体,新型的四咪唑立体结构利用一个苯环来链接四个咪唑基团,苯环作为共用侧链可以控制金属位点的距离,从而有效地阻止金属的团聚。得到的TimB-Fe5-C催化剂具有高达2.58%质量分数的单原子铁载量,并且具有优异的碱性和酸性氧还原反应催化性能。同时由于有效避免了复杂的后处理和前处理对结构带来的不确定性改变,未经酸洗处理的催化剂具有非常好的氧还原催化稳定性。
单原子分散的过渡金属-氮共掺杂的碳基催化剂被认为是非贵金属氧还原催化剂的一个优异的替代品,尤其是具有单原子分散的Fe-N4位点的Fe-N-C催化剂可以实现在酸性条件下与商业Pt/C相当的氧还原催化性能,即使很少量的原子级分散的铁也可以表现出优异的本征氧还原催化活性。但是催化剂应用器件的功率及能量密度很大程度上依赖于Fe-N4活性位点的密度。低金属载量对应的高的电极催化剂载量会影响组装膜电极的质量和离子传输阻力,进而增加电势损失。因此,开发具有高金属载量的Fe-N-C催化剂对于控制降低膜电极催化剂载量非常重要。目前,大多数报导的原子级分散的Fe-N-C催化剂都是通过热解含金属-氮的前驱体,如酞菁、卟啉、咪唑等得到的。然而高金属载量通常伴随着金属团聚现象的发生,在碳基底中形成不具有活性或者低活性的金属纳米颗粒或者团簇。甚至一些颗粒或者团簇非常难除去,阻碍了Fe-N4的形成。因此优化前驱体和合成步骤对于平衡金属载量和团聚并且保证均匀的原子分散是非常重要的。
近期,金属有机框架化合物尤其是ZIF-8衍生物被认为是最理想的制备原子级分散的Fe-N4催化剂的前驱体之一,主要是因为他们具有丰富的氮含量和本征孔隙率,以及很好的热稳定性。但是具有规则形貌的ZIF-8颗粒彼此之间的物理堆叠阻碍了电荷转移,会导致热解过程中铁被埋藏在碳基底下而发生团聚。因此为了保证单原子铁的的存在形态,需要严格控制铁的掺杂量,通常掺杂量不超过1%质量分数。为了提高金属载量,大量工作致力于优化合成步骤来增加金属的分散性和浓度。目前,对于合成步骤的优化主要有酸洗后处理以及球磨前处理等,但是由于操作的复杂性以及对结构的不可控,增加了催化剂工业化生产的难度。
(1)本文新设计了一个立体四咪唑单体来配位金属铁形成一个新型的具有立体结构的前驱体,通过立体结构来增加单原子催化剂中铁的载量和分散性。
(2)利用该方法可以实现一步法合成高载量高分散性单原子催化剂,不需要复杂的前处理和后处理步骤。
Fig. 1. (a) Schematic illustration of the synthetic process of the TimB-Fe5-C catalyst. (b) SEM image of TimB-Fe5-C. (c) HAADF STEM image and corresponding EELS mapping of carbon (d), iron (e), nitrogen (f) and superimposed iron and nitrogen (g). (h) HAADF STEM image in higher magnification.
如图1中(a)所示,利用四氰基苯和乙二胺合成具有四个咪唑基团的TimB单体, TimB作为富氮单体螯合金属形成TimB-Fe前驱体,前驱体经碳化后得到电催化剂。图1(b)为形貌图,可以看出新型结构呈一种花瓣式交叉立体结构,与传统ZIF-8衍生催化剂的规则八面体形貌不同,这种立体不规则结构可以有效地阻止颗粒之间堆叠造成的金属颗粒的掩埋。(d-f)的元素分布可以看出金属与氮分布均匀。图1(h)中的球差高倍电镜图可以看出均匀的单原子铁分布,说明该结构可以有效地防止金属的团聚。

Fig. 2. (a) Fe K-edge XANES with a zoomed-in view of the pre-peak region in the inset; (b) Fourier transform (FT) of the Fe K-edge of EXAFS oscillations of Fe foil, FeO, Fe2O3 and TimB-Fe5-C; (c) The corresponding wavelet transform (WT) of Fe K-edge; (d) The corresponding EXAFS r space fitting curves of TimB-Fe5-C. Insert is schematic model of TimB-Fe5-C, Fe (green), N(blue), C(gray) and O (yellow);(e) The corresponding EXAFS K space fitting curves of TimB-Fe5-C; (f) C K-edge XANES spectrum; (g) N K-edge XANES spectrum.
图2 的同步辐射数据可以证明我们合成的催化剂不具有金属团聚以及金属氧化物,且铁的存在形态为Fe-N4。

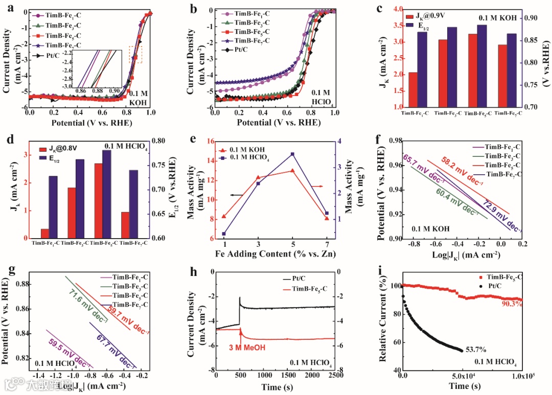
Fig. 3. RDE polarization curves of TimB-Fe1-C TimB-Fe3-C, TimB-Fe5-C, TimB-Fe7-C and commercial Pt/C (20 wt.%) with rotation rate 1600 rpm in O2-saturated (a) 0.1 M KOH and (b) 0.1 M HClO4. Correlation between ORR activity and iron adding content in (c) 0.1 M KOH and (d) 0.1 M HClO4. (e) Corresponding mass activity at 0.8 V (0.1 M HClO4) and 0.9 V (0.1 M KOH). Corresponding Tafel plots from RDE polarization curves in alkaline (f) and acid medium (g). (h) Corresponding Tolerance to methanol. Methanol (3 mol/L) was injected into the electrolyte at the time of 500 s in 0.1 M HClO4. (i) Time-dependent of current density curve over TimB-Fe5-C catalyst and Pt/C (20 wt.%) during electrolysis at 0.4 V in 0.1 M HClO4.
通过添加的铁盐和锌盐的质量比来调控铁的不同含量,通过酸洗和碱性氧还原数据的分析可以看出,当铁盐与锌盐的质量比为3%时,氧还原催化性能最优,最优比催化剂TimB-Fe5-C表现出很好的抗甲醇性能和稳定性。

Fig. 4. (a) RDE polarization curves of TimB-Fe5-C and TimB-Fe5-CL in O2-saturated 0.1 M HClO4 with rotation rate 1600 rpm. (b) Corresponding Jk (left) and half-wave potential (right). (c) Corresponding TOF (left) and mass activity (right). (d) Corresponding Tafel plots from RDE polarization curves. (e) Corresponding ECSA from RDE polarization curves. (f) Time-dependent of current density curve over TimB-Fe5-C and TimB-Fe5-CL during electrolysis at 0.4 V (vs. RHE) in 0.1 M HClO4. (g) Corresponding iron, total nitrogen content (dot plot) and the content of different types of nitrogen (bar chart). (h) Nitrogen adsorption−desorption isothermal curves and (i) PSDs of TimB-Fe5-C and TimB-Fe5-CL
为了进一步验证酸洗对于我们体系催化剂及结构的影响,我们对最优催化剂TimB-Fe5-C进行了酸洗,通过图4a-e可以看出,酸洗对氧还原催化性能有一定负面的影响,主要是会减少电化学活性面积。更重要的是,由于酸洗过程对结构的破坏导致酸洗后的催化剂的稳定性明显差于未酸洗的催化剂。XPS表征显示经过酸洗材料的金属含量和氮含量均有降低,但是Fe-Nx酸洗后的占比增加,吡啶氮的占比降低,这从侧面说明酸洗并未对Fe-Nx产生太大的影响,其主要影响的是吡啶氮和石墨氮结构。从氮气吸脱附曲线可以看到酸洗后的材料在比表面积上有明显的降低,这个变化与电化学比表面积相一致。同时从孔径分布图中也可以看到,酸洗后材料的介孔消失,这会增加反应物到活性位点的传输阻力,进而影响反应活性。综上可以看出,酸洗对我们体系的催化剂的氮含量以及结构都存在着复杂的影响,这对于催化剂的可控制备提出了非常大的挑战。
通过对前驱体的设计可以有效地防止热解过程中金属的团聚从而提高单原子金属的载量。基于新型四咪唑单体合成的花瓣式立体结构可以有效地防止由于物理堆叠而造成的金属掩埋在碳基底之下。这种一步法合成单原子催化剂的方法可以有效地避免由于复杂前处理和后处理对结构带来的不确定的影响,同时也可以大大简化催化剂的制备,对于催化剂的商业应用有着非常重要的意义。
刘雨佳,2016年获得美国Stevens Institute of Technology博士,化学工程专业,先后任教于美国Middlesex County College 和Gwynedd Mercy University,2018年广东工业大学“青年百人计划”引进人才。主要从事过程与反应器的模拟与优化,能源催化方面的催化剂合成及催化过程的研究。
向中华,北京化工大学化学工程学院教授,博导;国家优青,北京市杰青基金获得者。2007年获湘潭大学学士学位;2013年获北京化工大学博士学位;2013~2014年在美国凯斯西储大学博士后;2014年至今在北京化工大学工作。主要从事分子能源材料的分子设计与工程制备。近年来在《JACS》、《Angew. Chem. Int. Ed.》、《Adv. Mater.》、《Science Adv.》、等SCI期刊发表论文70余篇。被《Science》等SCI他引4000余次。授权发明专利9件。获中国化工学会第九届侯德榜化工科技青年奖;教育部自然科学一等奖(2/4);北京市高校优秀共产党员;2017年入选第三届中国科协青年人才托举工程。任中国化工学会国际学术交流工作委员会委员;中国可再生能源学会氢能专业委员会委员;中国可再生能源学会青年工作委员会执行秘书长等。
https://doi.org/10.1016/j.nanoen.2020.105533
添加官方微信 进群交流
SCI二氧化碳互助群
SCI催化材料交流群
备注【姓名-机构-研究方向】
说明
🔹本文内容若存在版权问题,请联系我们及时处理。
🔹欢迎广大读者对本文进行转发宣传。
🔹《科学材料站》会不断提升自身水平,为读者分享更加优质的材料咨询,欢迎关注我们。
投稿请联系contact@scimaterials.cn