大数跨境

张云教授/吴昊研究员AFM:合理设计具有亲锂-亲硫效应的多功能集成宿主实现高性能的Li–S全电池

张云教授/吴昊研究员AFM:合理设计具有亲锂-亲硫效应的多功能集成宿主实现高性能的Li–S全电池 科学材料站
2020-09-30
2
导读:​该工作通过将生物衍生的N掺杂多孔碳纤维束(N-PCFs)与共嵌的钴和碳化铌纳米粒子组成导电复合结构,并将其用作多功能集成载体材料,可同时抑制多硫化物的穿梭和锂枝晶的形成,获得了高负载、高倍率、长循环


文章信息

合理设计具有亲锂-亲硫效应的多功能集成宿主实现高性能的Li–S全电池
First published: September 24, 2020
第一作者:魏云虹
通讯作者:张云*,吴昊*
单位:四川大学 材料科学与工程学院

研究背景

在现代社会中,由于电池广泛支持了移动电子设备,通信设备和医疗设备的快速发展,电化学储能技术已成为我们日常生活中不可或缺的一部分。近年来,可充电锂离子电池主导了能源市场,但是,其低能量密度已难以满足不断增长的能量存储系统需求。随着电池技术的发展,高能量密度和长使用寿命是必不可少的。因此优异的Li–S电池以其独特的配置而得以引起全球关注。

文章简介

近日,四川大学张云教授与吴昊研究员等合作。在国际顶级期刊Advanced Functional Materials(影响因子:16.836) 上发表题为“Rational Design of Multifunctional Integrated Host Configuration with Lithiophilicity‐Sulfiphilicity toward High‐Performance Li–S Full Batteries”的研究工作。
该工作通过将生物衍生的N掺杂多孔碳纤维束(N-PCFs)与共嵌的钴和碳化铌纳米粒子组成导电复合结构,并将其用作多功能集成载体材料,可同时抑制多硫化物的穿梭和锂枝晶的形成,获得了高负载、高倍率、长循环锂硫全电池。

本文要点

要点一:锂硫全电池的设计
本文以胶原纤维(Col-Fs)为基体,利用胶原纤维特有的多级纤维骨架,采用简单的胶原纤维-金属离子交联反应,稳定的多孔碳纤维框架结构,再通过简单的碳热还原反应,制备出具有亲锂-亲硫特性的碳化铌/钴共掺杂的多孔碳纤维(NbC/Co⊂N-PCFs),可同时作为理想的锂金属负极和硫正极的载体,并实现了高性能的锂硫全电池。
图一:多功能载体NbC/Co⊂N-PCFs的制备示意图

要点二:NbC/Co⊂N-PCFs对锂金属负极的修饰
作为锂金属负极的载体,NbC/Co⊂N-PCFs具备优异的亲锂特性能够实现对锂的强烈吸附、快速扩散和均匀沉积,因此可以抑制锂枝晶的形成,实现高的电化学活性和超长的锂金属负极的循环寿命。
图二:NbC/Co⊂N-PCFs应用于锂金属负极的性能图

要点三:NbC/Co⊂N-PCFs对硫正极的修饰
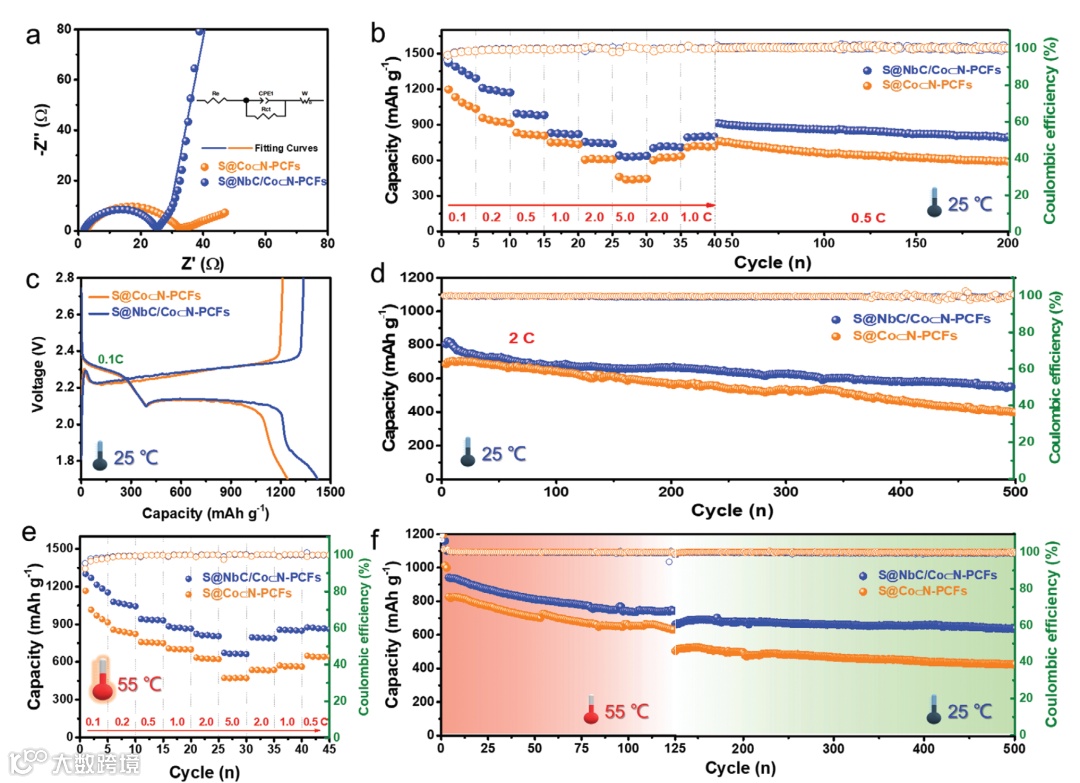
NbC/Co⊂N-PCFs 由于具有丰富的孔道结构,导电性和极性,可以对硫实现物理储存、化学吸附和高效的电化学催化作用,因此在储存高达78.5%的硫后,在室温和高温(55℃)下仍具有优异的电化学性能。
同时作者通过液-液、液-固反应进一步验证了此多功能集成宿主对多硫化物的催化能力。
图三:NbC/Co⊂N-PCFs应用于硫正极的性能图

图四:NbC/Co⊂N-PCFs应用于硫正极的性能图

要点四:NbC/Co⊂N-PCFs应用于锂硫全电池
结合NbC/Co⊂N-PCFs在锂金属负极和硫正极的复合作用,作者进一步将基于NbC/Co⊂N-PCFs的硫正极和锂金属负极组装成全电池(S@NbC/Co⊂N-PCFs || NbC/Co⊂N-PCFs@Li)。该全电池能够同时抑制多硫化物的穿梭效应及锂枝晶的形成,
因此可以实现优异的电化学性能。在高达5 C的倍率下仍具有704 mAh g-1的放电比容量。在0.5 C倍率下循环500圈具有高达82.3%的容量保持率,且在6.7 mg cm-2的高面密度下仍具有高达6.0 mAh cm-2的面容量。
图五:S@NbC/Co⊂N-PCFs || NbC/Co⊂N-PCFs@Li的性能图

文章链接

Rational Design of Multifunctional Integrated Host Configuration with Lithiophilicity‐Sulfiphilicity toward High‐Performance Li–S Full Batteries
https://doi.org/10.1002/adfm.202006033

通讯作者介绍

张云,四川大学教授,博士生导师,
四川省学术与技术带头人后备人选,中国化学会电化学委员会委员。1992年和1995年分获东北大学有色冶金专业工学学士和硕士学位,2006年获四川大学材料物理化学专业工学博士学位;1995年~2001年在成都理工大学应用化学系工作,2006年~2007年英国牛津大学化学系访问学者。主要从事锂离子电池关键材料和储能技术开发与产业化、纳米粉体材料的合成与应用研究等方向的教学与科研工作。参加或承担各类科研项目20余项,包括国家“863”、国家“973”、国家自然科学基金重点、四川省科技攻关以及校企合作项目;获国家授权发明专利6项,公开国家发明专利15项;在Advanced Functional Materials, J. Mater. Chem. A. ACS Applied Materials & Interfaces. J. Power Sources,及《化学学报》等期刊发表SCI论文40余篇。

吴昊,四川大学材料科学与工程学院引进人才,研究员,博士生导师,
全国百篇优秀博士论文获得者,四川省青年“千人计划”入选者,四川省特聘专家,四川大学“青年科学技术带头人”。澳大利亚昆士兰大学化工学院博士后。主要从事新型锂离子电池电极材料开发与应用、碳基新型储能材料等方面的研究工作。先后承担多项国家与省部级科研项目,包括国家重点研发计划、国家自然科学基金面上项目和青年基金、教育部优秀博士论文专项基金、四川大学优秀青年基金、四川省重点攻关项目等,已在国际知名学术期刊如Advanced Energy Materials, Advanced Functional Materials, Energy Storage Materials, Green Chemistry等发表SCI学术论文近90篇。

第一作者介绍

魏云虹,四川大学在读博士研究生
研究方向为生物衍生的多功能复合材料在锂硫电池中的应用。目前已经在Advanced Functional Materials, Nano-Micro Letters, ACS Applied Materials & Interfaces, Journal of Materials Chemistry A, ACS Sustainable Chem. Eng., Carbon上发表文章10余篇。


添加官方微信 进群交流

SCI二氧化碳互助群

SCI催化材料交流群

备注【姓名-机构-研究方向】

投稿请联系contact@scimaterials.cn

说明

🔹本文内容若存在版权问题,请联系我们及时处理。

🔹欢迎广大读者对本文进行转发宣传。

🔹《科学材料站》会不断提升自身水平,为读者分享更加优质的材料咨询,欢迎关注我们。

投稿请联系contact@scimaterials.cn

致谢

感谢本文作者对该报道的大力支持。

【声明】内容源于网络
0
0
科学材料站
内容 9163
粉丝 0
科学材料站
总阅读9.0k
粉丝0
内容9.2k