大数跨境

广西大学:电化学合成氨中通过调控氢离子传导速率来连续性调节法拉第效率的研究

广西大学:电化学合成氨中通过调控氢离子传导速率来连续性调节法拉第效率的研究 科学材料站
2020-10-12
1
导读:该工作在以平板电容器为基础物理模型的条件下,创新性地推导出来电解质的介电常数和电极表面的电场强度的函数关系,这一基础物理模型有助于进一步研究不同类型的电解质和隔膜对于催化反应的热力学影响。


文章信息

电化学合成氨中通过调控氢离子传导速率来连续性调节法拉第效率的研究
First published: October 5, 2020
第一作者:刘洋
通讯作者:PanagiotisTsiakaras*,沈培康*
单位:广西大学可再生能源材料协同创新中心

研究背景

氨是几乎所有含氮产品的基础,例如肥料,药品,炸药,染料等。近一半的人口得到哈伯-博施(Haber-Bosch)合成氨的直接或间接的供给,氨有力地提高了农作物储存二氧化碳的能力。哈伯-博施工艺是典型的能源密集型行业,具有巨大的能源消耗和污染。
未来如果将氨作为氢能的储存方式,那么其对于氨的需求将会是现在氨需求的10倍以上,所以如果仍然以现有的产业密集型生产方式进行合成氨,将是非常困难的。未来的清洁能源的收集和储存大都是网格化分布的,具有小型化的合成氨的方式将会是最佳优选的方式。具有小型化和可持续性特征的常温常压条件下的氮还原反应(NRR)是替代哈伯-博施过程的一种有前景的方法,该工艺将水中的氢离子和空气中的氮气转化为具有高能量密度的氨,从而解决了氢能应用中最重要的储存部分(图1a),“氮经济”是一种比较理想的途径。同时,常温常压电化学氮还原的方法可以广泛用于基础设施较差的偏远地区,实现更加便捷的技术转移和共享。
然而,氮还原反应至今还面临着选择性低下的巨大挑战,这限制了其实际应用。这个瓶颈不仅是催化剂的问题,而且还涉及电解液-电解池的工程性问题。
到目前为止,可以从五个方面(图1b)有效地影响法拉第效率:1)电位;2)电解液;3)压力;4)温度;5)电极。因此,对于氮还原来说,如何通过一种简便的方法连续性地调节法拉第效率是非常必要的,分析阳极和阴极之间的整个反应过程是解决该问题的有价值的切入点。

文章简介

近日,广西大学沈培康教授团队在国际知名期刊Applied Catalysis B: Environmental (影响因子:16.68) 上发表题为“Electrocatalytic reduction of nitrogen on FeAg/Si for ammonia synthesis: A simple strategy for continuous regulation of Faradaic efficiency by controlling H+ ions transfer rate”的研究工作。
该工作在以平板电容器为基础物理模型的条件下,创新性地推导出来电解质的介电常数和电极表面的电场强度的函数关系,这一基础物理模型有助于进一步研究不同类型的电解质和隔膜对于催化反应的热力学影响。
通过研究氢离子传导速率与法拉第效率的关系,得出了理想状态下用于析氢反应的氢离子传导速率与法拉第效率之间的函数关系。该工作开辟了通过调控氢离子传导速率而可以连续的调节法拉第效率的新策略。

本文要点

要点一:介电常数与电极表面电场强度函数关系的建立
受启发于自然界细胞膜的选择性,作者产生了用隔膜来控制氢离子传输速率的猜想。由于在实际工业化应用中使用的是两电极体系,加入隔膜可能会导致两电极体系中电极电势的改变,所以我们先用平板电容器的模型研究了隔膜对于电极表面电场强度的影响的大小。如图1所示,在两个电极板之间的蓝色部分代表电容器中的电介质,这种电解质就包括空气、溶液、固体电解质和真空等。
图1:平行板电容器示意图。

介电常数εr 与电极表面的电场强度Ev的关系如图2所示,当l等于0.1nm时,在相同介电常数下Ev 具有最大值,但是在较小的介电常数区间内(0~120)不同l所对应的Ev的值几乎相同。
已知纯水的介电常数是78.9,而0.1M硫酸钠的介电常数并没有常用数据库可查,但是可以通过公式推导出来,在只改变电介质的情况下,电容之比等于介电常数εr之比。
图2:介电常数与电极表面电场强度的关系

要点二:膜孔数量对于电极表面电场强度的理论影响
复杂问题的解决首先要从简单的物理模型出发,通过研究简单物理模型中各种参数之间的深刻物理关系,再发展到一般的通用模型中。作者首先研究了平行板电容器的电容与隔膜孔洞的关系。通过得出介电常数与电极表面电场强度的关系,就可以进一步研究膜孔数量对于电场强度的影响。不同膜孔数量的平行板电容器的电容可以由以下分析得出:
i) 不含隔膜的平行板电容器:
图3 无膜平行板电容器示意图。

ii) 含有无孔隔膜的平行板电容器:
图4 具有膜的平行板电容器模型示意图。
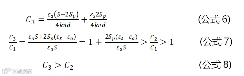
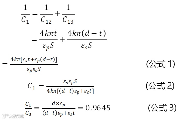
具有膜的平行板电容器的电容C1,可以看成两个电容器C12和C13的串联,其中膜的介电常数是εp,膜的厚度是t。
iii) 含有隔膜(1个孔)的平行板电容器:
图5 含有一个膜孔的平行板电容器的示意图。
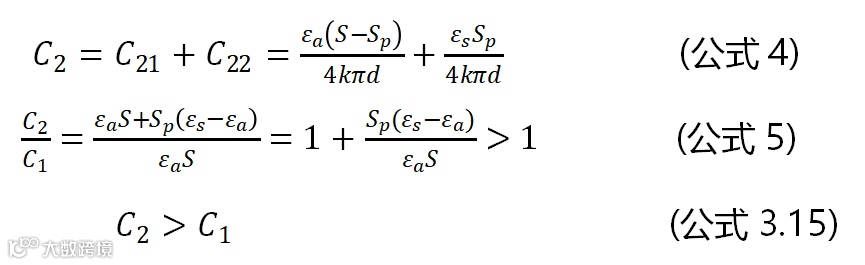
含有一个孔的平行板电容器可以等效为两个电容器的并联:
v) 含有隔膜(2个孔)的平行板电容器:
图6 含有两个孔洞的平行板电容器的示意图。
含有两个孔洞的平行板电容器的电阻同样可以等效为两个电容器的并联:
当孔洞数量是任意值时:
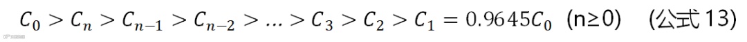
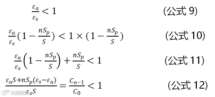
n是膜孔数量,所以:
所以当模孔数量越多时,其电容越接近于无膜时的电容,其表面电场强度也越接近于无膜时的电场强度,含有膜孔的电容器的最小值要大于0.9645C0。在实际情况下膜以及有膜孔情况对于电压降的影响在5mV以下,所以膜对于电容器的影响可以忽略不计。

要点三:氢离子传导速率与隔膜孔洞面积的关系
在三电极体系当中,有工作电极、参比电极和对电极,但是一直以来我们不关注电极电位之间的关系,在本工作中,了解电极之间的关系是进行下一步研究的前提,通过实验测量我们发现,工作电极与对电极之间的电压Uwc等于工作电极与参比电极之间的电压Uwr加上参比电极与对电极之间的电压Urc,也即Uwc=Uwr+Urc,如图7 a所示。三电极对于研究工作电极上催化剂的实际电位有较大优势,但是两电极在实际中更有优势。在两电极中如果能保证工作电极与对电极之间的电压与三电极中的相同,那么反应的状态应当是相同的。所以我们在两电极中进行了膜孔数量与氢离子传输速率的研究。
在低电压下(-1.81V,-1.92V,-2.13V),氢离子传导速率与小于理想值,在高电压下(-2.91V,-4.92V)氢离子传导速率大于理想值。在相同孔洞数量的条件下,电压增大氢离子传导速率随之增大,这与常识性知识相匹配。
如图7g所示,纵坐标是实际值与理想值的损失率,横坐标是孔洞数量,从中可以看出,在一定电压下,损失比比较小,在电压特别大,或特别小的情况下,损失率的绝对值变大。所以可以得到一个猜想就是当一定电压下,在一定的孔洞数量范围内,损失比可以接近于0,这可以得到孔洞面积与氢离子传导速率的线性关系,同时从图7 i可以看出,电压与氢离子传导速率的关系曲线在-1.8V有明显的拐点,这个拐点说明电压与氢离子传输速率之间没有线性关系。

图7 a)在三电极系统中电极之间的电压关系,b-f) 不同电压下氢离子传导速率与孔洞数量之间的关系,g) 损失率与孔洞的关系在不同电压下,h) 氢离子传导速率与孔洞的关系在氮气和氩气饱和的0.1M硫酸钠溶液中,i) 氢离子传导速率与电压的关系在不同孔洞下。

要点四:氢离子传导速率的实验值偏离理论值的分析
为什么实验值会偏离理想值呢?我们给出了一个合理的解释,如图8 c, d, e。在低电压的情况下,电极消耗氢离子的速率较低,当孔洞数量较小时,孔洞利用率较高,但是随着孔洞数量的增加,孔洞利用率降低,实际值就会低于理想值。
在电压合适的情况下,孔洞利用率就会维持在较高水平,实验值与理论值就会匹配的比较好。但是当电压较大时,在电极表面产生的氢氧根离子就会堆积在电极表面从而导致电极表面的赫姆霍兹层电压降低,从而导致电极表面的等效电势降低,反应速率减慢,但是当孔洞数量逐渐增多时,电极表面堆积的氢氧根离子减少,赫姆霍兹层电压恢复,电极电势恢复,氢离子传导速率的实际值就大于理想值。
图8 a) 用于进行光电测试的两电极体系, b) 两电极与三电极体系下的电压对应关系。c-e) 用于解释氢离子传导速率实验值与理论值之间偏差的模型化示意图。

要点5:氢离子传导速率与法拉第效率理论模型的建立
在两电极体系中,20 μm厚的聚丙烯(PP)作为隔膜,高纯石墨作为对电极,负载于硅纳米线上的FeAg纳米团簇作为工作电极,工作电极与对电极之间的距离与三电极体系中的距离相同,两电极之间的电压设定为-2.13V,对应于两电极体系中的-0.4V vs. RHE,光照强度为一个太阳(100 mW cm-2)。
其结果如图9所示,膜孔数量N所对应的是在三电极体系中使用Celgard 3401隔膜在-0.4V下的性能,1-9分别代表PP膜上的孔洞数量。从图9b中可以看出来,随着膜孔数量的降低法拉第效率逐渐升高,其形状如反“S”型曲线,在低膜孔数时其法拉第效率增长率明显降低。
图9 不同膜孔数量所对应的a)氨产率和b)法拉第效率

法拉第效率提升的一个示意图如图10所示。当没有隔膜去限制氢离子传导速率时,由于氮气较低的溶解度和热力学限制,其法拉第效率极为低下,通过隔膜的氢离子绝大部分被用于进行析氢反应。
但是当用隔膜限制氢离子传输速率时,通过隔膜到达电极表面的氢离子随之减少,但是由于氮气分子不受隔膜限制,所以其在电极比表面的扩散速率标尺不变。
但是电极表面用于析氢反应的氢离子就大量减小,由于氮还原消耗的氢离子所占比重较小,所以氮还原受到的影响就较小,对于整体而言,法拉第效率就升高了。
图10 氢离子传输速率与法拉第效率关系示意图

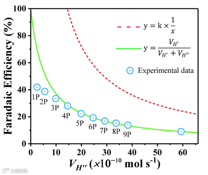
法拉第效率与氢离子传导速率的关系值得进一步研究,其中法拉第效率,  用于氮还原的氢离子的消耗速率, 用于析氢的氢离子的消耗速率. , VH 是氢离子穿过隔膜的传导速率。当VH'被固定时,VH'与法拉第效率是反比例关系,如图11荧光绿色的曲线所示。
在这里 的值取自于在在三电极体系中-0.4V vs. RHE所对应的氢离子传导速率。在低法拉第效率区域实验值与理论值拟合的很好,但是在高法拉第效率区域(孔洞数量极少),实验值稍微小于理论值。且法拉第效率越高,其实验值偏离理论值越多。由于在没有隔膜限制的情况下,氮还原的效率不到10%,如果限制氢离子传导速率就会对析氢过程有显著影响,但是由于氮还原过程需要氢离子的参与,所以当氢离子传导速率小到一定程度时就会进一步影响氮还原的反应速率,从而使法拉第效率不能进一步的提高。
展开来讲,此模型不仅适用于通过膜来调节氢离子传导速率而调节法拉第效率的策略,还适用于其他一切以调节析氢反应而导致法拉第效率升高的策略,如增加电极疏水性、使用离子液体等去抑制析氢反应,其内在的逻辑也符合此种物理模型。
图11 用于析氢反应的氢离子传导速率与法拉第效率之间函数关系

要点6 利用快速升温快速淬火策略制备了高度分散于硅纳米线上的FeAg纳米团簇
在进行性能研究之前,我们需要先选择一个高活性催化剂,高活性催化剂可以提高氨检测的可靠性,铁基催化剂在工业化哈伯-博施法中具有重要应用,且Nørskov等人从理论和实验上验证了铁基催化剂在电催化氮还原上的可靠性,但是铁对于氮气具有较强的吸附能力,虽然会有利于氮氮键的断裂,但是对于中间产物具有较强的吸附作用,不利于中间产物的脱附,这受制于BEP线性关系。
从而不利于整体反应的进行,我们选用了银作为铁对于氮气较强吸附能力的缓冲剂,而且在光照条件下,银具有较强的等离子体共振效应。等离子体共振所产生的高能电子有助于氮氮键的活化,而且Halas等人发现等离子体辅助的单原子催化也是一个比较好的催化策略其中等离子体金属将高能电子传导给活性单原子,活性单原子再将高能电子注入到反应物。熊宇杰等人发现将Au等离子增强的Ru纳米颗粒在光催化中具有可以将氮气直接解离的能力,等离子体共振效应在氮还原上具有明显优势。
在氮还原中,银具有较弱的氮气吸附能力,铁对于氮气具有较强的吸附能力,通过适当比例的原子调控,就可能得到一种对氮气分子具有合适的吸附能的催化剂。我们将铁银的原子比设定为1:6,来减少铁原子对于银原子中电子的阻尼效应,有利于等离子体共振电子的激发和传导。我们还特别地使用了快速升温和快速淬火的方案去获得高原子利用率的5 nm左右的FeAg纳米团簇。

图10 a) 负载于硅纳米线上的FeAg 纳米团簇的高脚环形暗场照片,b), e), d) 高分辨球差矫正的透射电镜照片以及分别对应的c),f) 快速傅里叶变换图谱。g) FeAg 纳米团簇Fe 2p 轨道电子的 XPS 图谱以及h) Fe K边FT-EXAFS。

结论

总而言之,这项工作提供了一种新颖的方法来连续地调节法拉第效率。从平行板电容器开始,得出膜对电场强度的影响的一般规则。在三电极系统中,使用快速加热和快速淬灭策略成功地合成了均匀分布在硅纳米线上的FeAg纳米团簇,从而在-0.3 V下相对于RHE达到了10.81%的FE。通过减少膜的孔数来降低氢离子传导速率,并将法拉第效率逐渐提高至41.86%。建立了描述法拉第效率和氢离子传导速率的物理模型,该模型与大范围的实验数据很好地匹配。由于具有广泛的应用,该物理模型还可以解释和预测法拉第效率的趋势,该趋势受催化剂的疏水性,质子溶剂浓度(在离子液体中)等的影响。

文章链接

Electrocatalytic reduction of nitrogen on FeAg/Si for ammonia synthesis: A simple strategy for continuous regulation of Faradaic efficiency by controlling H+ ions transfer rate
https://doi.org/10.1016/j.apcatb.2020.119606

通讯作者介绍

沈培康,广西大学教授、博士生导师,
广西石墨烯研究院首席科学家。中国电化学委员会燃料电池分会主席,中国材料研究学会终身会员,广西石墨烯标准化技术委员会主任。主要专长包括燃料电池、超级电容器、和锂离子电池在内的能源材料和装置,包括纳米功能材料、微观电化学和石墨烯宏量制备技术等。先后承担国家重大科技项目、国家863项目、国家基金委-广东省联合项目、国家自然科学基金国际重大和联合基金项目及产学研等五十余项。迄今为止,共培养了36名博士研究生93名硕士研究生和10名博士后。在能源材料领域核心专业期刊如Chem. Rev., J. Am. Chem. Soc., Adv. Mater., Energy & Environ. Sci.等发表论文440余篇,累计ESI论文35篇,h-因子67。论文被广泛引用超2万次。申请和授权国家发明专利九十余件。2016年获选全球高校能源科学与工程学科最具影响力的高被引150名学者之一,连续5年被爱思唯尔评为中国高被引学者。受世界科技出版集团CRC Press和Springer邀请组织编写能源材料科技前沿著作4部。作为大会主席主办了8次国际电化学能源材料会议。因在电化学能源领域做出的突出科学贡献,2013年获国家自然科学奖二等奖(第一完成人),2017年被评为广西八桂学者,同年获得全国五一劳动奖章,2019年荣获广西科学技术奖一等奖。
课题组网页:https://cicrem.gxu.edu.cn/

刘洋,广西大学博士研究生,
导师为沈培康教授,毕业后工作于河南师范大学。研究方向为电化学能源小分子转化。目前已经在Appl. Catal. B: Environ., Adv. Mater., J. Mater. Chem. A, ACS Appl. Mater. Inter.上发表一作及共同一作文章6篇。


添加官方微信 进群交流

SCI二氧化碳互助群

SCI催化材料交流群

备注【姓名-机构-研究方向】

说明

🔹本文内容若存在版权问题,请联系我们及时处理。

🔹欢迎广大读者对本文进行转发宣传。

🔹《科学材料站》会不断提升自身水平,为读者分享更加优质的材料咨询,欢迎关注我们。

投稿请联系contact@scimaterials.cn

致谢

感谢本文作者对该报道的大力支持。

【声明】内容源于网络
0
0
科学材料站
内容 0
粉丝 0
科学材料站
总阅读0
粉丝0
内容0