大数跨境

港中文|卢怡君教授 EnSM:联苯二碲作为一种低电势和快速动力学的阳极电解液在非水系液流电池中的应用

港中文|卢怡君教授 EnSM:联苯二碲作为一种低电势和快速动力学的阳极电解液在非水系液流电池中的应用 科学材料站
2020-12-20
0
导读:该文章提出了一种新型的低电势、快速动力学的阳极电解液用于非水系液流电池,并对有机硫族化物的电化学性能做了系统性的研究。


文章信息

联苯二碲作为一种低电势和快速动力学的阳极电解液在非水系液流电池中的应用
第一作者:杨斌
通讯作者:卢怡君*
单位:香港中文大学

研究背景

含硫材料由于低成本和高能量密度,因此被认为是有吸引力的下一代电池活性材料。含有硫-硫键的有机硫化物由于其元素储量丰富,结构多变性和高的电化学可逆性,被认为是很有潜力的活性材料。
在电化学还原过程中,硫-硫键发生断裂,每一个硫原子得到一个电子;在氧化过程中,断裂的硫-硫键重新形成。然而,有机硫化物受限于其缓慢的动力学和居中的反应电势(大约2.2 V vs. Li/Li+)。这些问题与硫-硫键的高解离能和硫元素居中的电负性有关。因此,在本项研究中,我们报道了联苯二碲作为一种低电势和快速动力学的阳极电解液。相比于硫-硫键,碲-碲键具有更低的键解离能,因此可以获得快速的反应动力学;同时,更低的电负性使得含碲材料具有更低的反应电势。
我们展示了锂/联苯二碲半电池实现了128 Ah L-1的高体积能量密度,在100圈的循环中,保持了高能量效率(84.1%)和高库伦效率(99.5%)。锂/联苯二碲液流电池在1.5 mA cm-2的电流密度下,实现了超过260圈(38天)的稳定循环。与碘化锂组成的全电池在1mA cm-2的电流密度下实现了120圈的稳定循环。结合密度泛函理论计算,我们揭示了碲-碲键相比于硫-硫键具有更低的键解离能,从而促进了电荷转移的动力学。此项研究表明有机碲化物作为阳极电解液在储能领域的潜力。

文章简介

近日,来自香港中文大学的卢怡君教授,在国际知名期刊Energy Storage Materials上发表题为“Diphenyl ditelluride as a low-potential and fast-kinetics anolyte for nonaqueous redox flow battery applications”的研究文章。
该文章提出了一种新型的低电势、快速动力学的阳极电解液用于非水系液流电池,并对有机硫族化物的电化学性能做了系统性的研究。
示意图1. (a)有机硫族化物的电化学反应机理, (b) 典型的有机硫族化物代表。

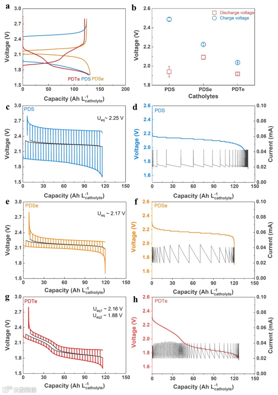
图1. 有机硫族化物的电化学表征

本文要点

要点一:物质稳定性表征
气相色谱-质谱联用和紫外可见吸收光谱显示,有机硫族化物活性物质唯一且稳定在存在于有机电解液中,不存在物质分解或多物种共存等情况。

要点二:有机硫族化物的电化学性质
循环伏安曲线表明,联苯二碲(−1.57 V/−0.74 V verse Ag/Ag+ at 50 mV s−1)和二硒酚(−1.57 V/−0.64 V at 50 mV s−1)比二硫酚(−1.99 V/−0.24 V at 50 mV s−1)有更小的峰分离。与此同时,二硫酚,二硒酚,联苯二碲的速率常数依次增大。

要点三:电化学性能和反应机理
恒电流测试结果表明联苯二碲相比于二硫酚和二硒酚,有着最低的平衡电势和最小的迟滞电压。在0.1mA cm-2的电流密度下,联苯二碲的迟滞电压几乎是二硫酚的1/5。GITT测试结果表明联苯二碲有着最低的平衡电势(平均:1.97 V vs. Li/Li+), 其次是二硒酚 (2.17 V)和二硫酚(2.25 V)。

要点四:液流电池和全电池测试
锂/联苯二碲液流电池在1.5 mA cm-2的电流密度下,根据不同的容量截止实现了超过260圈(38天)的稳定循环。除此之外,联苯二碲/碘化锂的静态全电池在1mA cm-2的电流密度下实现了120圈的稳定循环,高浓度下容量保持率为73.1%。

要点五:前瞻
此项研究表明有机碲化物作为阳极电解液在储能领域的潜力,同时为提高有机硫族化物的反应动力学指出了方向。

文章链接

Diphenyl ditelluride as a low-potential and fast-kinetics anolyte for nonaqueous redox flow battery applications
https://doi.org/10.1016/j.ensm.2020.12.012

通讯作者介绍

卢怡君
教授简介:香港中文大学机械与自动化工程系副教授,香港青年科院创始会员,2012年于麻省理工学院(MIT)获博士学位,主要研究方向为:电化学储能机理、电极材料的可控设计和高效新能源体系的开发等。课题组长期致力于金属-氧/硫电池机理研究,新型高能量密度电池材料开发以及电化学能源转化界面的机理研究。相关研究成果发表在Nat. Mater., Energy Environ. Sci., Joule, J. Am. Chem. Soc., Angew. Chem. Int. Ed.等高水平杂志。现任J. Mater. Chem. A副主编, Mater. Today和Sci. Rep.编委。

第一作者介绍

杨斌
2016年本科毕业于吉林大学无机非金属材料工程专业,并于同年加入卢怡君教授课题组攻读博士学位。主要研究方向为新型高能量密度电池材料开发及其机理研究。

课题组介绍

课题组网站:https://www.yclueeil.com/


添加官方微信 进群交流

SCI二氧化碳互助群

SCI催化材料交流群

备注【姓名-机构-研究方向】

说明

🔹本文内容若存在版权问题,请联系我们及时处理。

🔹欢迎广大读者对本文进行转发宣传。

🔹《科学材料站》会不断提升自身水平,为读者分享更加优质的材料咨询,欢迎关注我们。

投稿请联系contact@scimaterials.cn

致谢

感谢本文作者对该报道的大力支持。

【声明】内容源于网络
0
0
科学材料站
内容 9163
粉丝 0
科学材料站
总阅读9.0k
粉丝0
内容9.2k