大数跨境

东北大学Angew Chem:电合成氧化锰的储铵性能研究

东北大学Angew Chem:电合成氧化锰的储铵性能研究 科学材料站
2020-12-22
1
导读:本文首次报道了电合成氧化锰材料的储铵电化学行为,丰富了铵离子在金属氧化物中的能源化学,并为制备新型高性能水系铵离子电池提供了新的机遇。


文章信息

电沉积氧化锰储铵性能研究
第一作者:宋禹
通讯作者:宋禹*,刘晓霞*
单位:东北大学 理学院

研究背景

水系电池具备良好的安全性,快速的离子传导动力学,以及相对低廉的制造成本,在电化学储能应用中前景广阔。目前,水系电池普遍采用金属离子作为载流子,但是,以非金属离子(例如铵离子NH4+)作为载流子的电池体系仍有待开发。与金属离子相比,铵离子在地球中储量丰富。
此外,铵离子水合离子半径小,摩尔质量轻,可实现快速离子传导。更重要的是,四面体结构的NH4+在电极材料晶格内部的传导过程可能与传统球形载流子不同,有望形成独具特色的电化学特性。
图1 储铵材料发展时间

目前已报道的储铵材料有MXene, 普鲁士蓝类似物,导电聚合物(PANI),及金属氧化物(MoO3,V2O5)等(图1)。在电化学应用中,这些材料输出容量普遍较低,限制了铵离子电池的实际应用。因此,开发新型储铵材料,进一步提升其放电容量,探究铵离子存储机制尤为重要。

文章简介

近日,东北大学的宋禹副教授、刘晓霞教授等人在国际知名期刊Angew Chem上发表题为“Ammonium-Ion Storage in Electrodeposited Manganese Oxides”的研究论文。
本文首次报道了电合成氧化锰材料的储铵电化学行为,丰富了铵离子在金属氧化物中的能源化学,并为制备新型高性能水系铵离子电池提供了新的机遇。

本文要点

要点一:电沉积氧化锰在醋酸铵电解液中的形貌、相转变
通过恒电流法制备的电沉积氧化锰具有无定型结构。经过在醋酸铵电解液中进行多次循环充放电后,氧化锰发生形貌、晶体结构转变(图2)。
氧化锰纳米片尺寸逐渐变大,且呈现一维生长趋势,最后形成一种疏松多孔的氧化锰纳米“森林”形貌。其晶体结构由无定型态转变为层状水钠锰矿。这种转变归因于奥斯瓦尔德熟化及可逆的氧化锰沉积/溶解过程。
2. 电沉积氧化锰在醋酸铵电解液中的形貌、相转变。

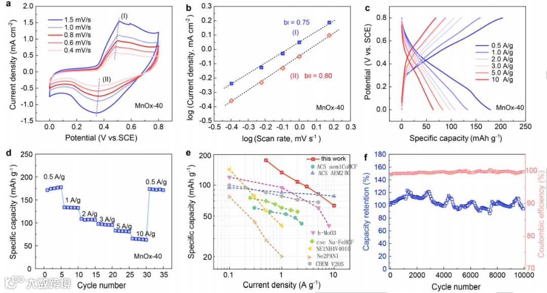
要点二:层状氧化锰在0.5 M醋酸铵电解液中的电化学性能
在含0.5 M NH4Ac电解液的三电极体系中研究了氧化锰的电化学性能(图3)。
循环伏安曲线显示出的赝电容性行为归因于可逆的NH4+嵌入/脱出过程,峰值电流符合i = avb的关系,在充电和放电过程中,峰(Ӏ)和 (ӀӀ) 的b值计算是0.75和0.8,表明混合电荷存储机制包括电容和扩散控制行为。
此外,氧化锰具有良好的倍率性能:在电流密度为0.5A g-1时的比容量为~176mAh g-1,在电流密度为10A g-1时,比容量为~66mAh g-1。该材料循环稳定性良好,在5 A g-1条件下10000次循环后容量保持率为94.7%(容量的波动应归因于昼夜温度的变化)。
图3.氧化锰在0.5 M醋酸铵电解液中的电化学性能

要点三:氧化锰电极在不同浓度NH4Ac电解液中的相变和电化学性能。
研究了MnOx电极在不同浓度NH4Ac电解液(0.5 M、2 M和8 M)中的相变和电化学性能(图4)。经过40次充放电后,在0.5 M、2 M和8 M NH4Ac电解液中的MnOx电极表现出不同的形貌,NH4Ac浓度的增加抑制了MnOx材料的一维生长。
当NH4Ac浓度从0.5 M增加到8 M时,构建的“森林”结构的纳米片转变为密集堆积的微球。在8 M NH4Ac电解液中,经过40次充放电后,具有密集堆积结构的MnOx电极的比容量约为45mAh g-1,比在0.5 M NH4Ac中循环的比容量小得多。
此外, MnOx-40(即在0.5 M NH4Ac中转化的电极)在不同浓度NH4Ac电解质中的电化学性能不同。MnOx-40电极在8M NH4Ac电解液中容量衰减较快,相比之下,在0.5 M电解液中循环的MnOx-40表现出良好的循环稳定性,容量没有明显的衰减。
以上结果表明,电解液浓度对锰氧化物材料的NH4+存储有重要影响。过量的NH4+储存在氧化物晶格中会导致结构断裂,导致容量快速衰减。
图4. 氧化锰电极在不同浓度NH4Ac电解液(0.5 M、2 M和8 M)中的相变和电化学性能

要点四:层状氧化锰储铵机理的研究
为了了解MnOx-40中NH4+的储存机制,我们进行了一系列测试。谱学测试结果表明:
(1)铵离子在层状氧化锰材料内部进行可逆的嵌入、脱出,此过程通过氢键形成、断裂来完成;
(2)铵离子在氧化锰内部的嵌入、脱出过程涉及固溶体反应机理,且具有赝电容特征;
(3)比之金属离子载流子,例如K+,铵根离子更易于嵌入层状氧化锰。
图5 层状氧化锰储铵机理研究

文章链接

“Ammonium-Ion Storage in Electrodeposited Manganese Oxides”
https://onlinelibrary.wiley.com/doi/abs/10.1002/anie.202013110


添加官方微信 进群交流

SCI二氧化碳互助群

SCI催化材料交流群

备注【姓名-机构-研究方向】

说明

🔹本文内容若存在版权问题,请联系我们及时处理。

🔹欢迎广大读者对本文进行转发宣传。

🔹《科学材料站》会不断提升自身水平,为读者分享更加优质的材料咨询,欢迎关注我们。

投稿请联系contact@scimaterials.cn

致谢

感谢本文作者对该报道的大力支持。

【声明】内容源于网络
0
0
科学材料站
内容 0
粉丝 0
科学材料站
总阅读0
粉丝0
内容0