大数跨境

天津大学Nano Energy:一种简单表面修饰策略,高效助力光催化水氧化

天津大学Nano Energy:一种简单表面修饰策略,高效助力光催化水氧化 科学材料站
2020-12-28
1
导读:在该工作中,实验人员发现卤素离子表面修饰策略可以显著提升钒酸铋的光催化产氧性能。


文章信息

一种Cl-修饰方法实现BiVO4高效光催化水氧化反应,表观量子效率高达34.6%
第一作者:张琪琪
通讯作者:刘乐全*
单位:天津大学

研究背景

近年来,光催化水分解因其能将太阳能直接转化为绿色氢能而受到广泛的关注。而产氧半反应动力学慢的问题是其面临的主要挑战之一,因为除了形成O-O键外,它还涉及复杂的四电子反应过程。
另一方面,从时间尺度看,光吸收、载流子的转移和表面反应分别处在皮秒到纳秒、微秒到毫秒和毫秒到秒的时间尺度上;这表明表面反应是光催化的关键步骤,尤其是对于产氧反应。
针对该问题,目前主要依赖于负载助催化剂,如贵金属和过渡金属氧化物(如RuO2、IrO2、NiOx等)。然而,成本因素、额外的担载步骤和对助催化剂制备参数精确控制的要求均不利于未来大规模应用。因此,开发简单、高效的策略来提高光催化水氧化性能具有重大科学研究意义,同时也极具挑战。

文章简介

近日,天津大学刘乐全副教授课题组Nano Energy上发表题为“A novel Cl- modification approach to develop highly efficient photocatalytic oxygen evolution over BiVO4 with AQE of 34.6%”的研究工作。
在该工作中,实验人员发现卤素离子表面修饰策略可以显著提升钒酸铋的光催化产氧性能。实验结果表明,氯修饰钒酸铋 (BV-Cl) 在420 nm光照下,表观量子效率高达34.6%,是目前关于钒酸铋公开报道中最高的之一(含担载助催化剂的复合材料)。
通过一系列研究发现,氯修饰不仅能增强载流子分离,更重要的是显著降低了催化水氧化反应能垒和加快了水氧化的反应动力学,使得光催化水氧化过程变得容易进行。该工作打破了传统的催化剂氯中毒概念,为将来设计新型光催化剂以实现高效水氧化提供了新的思路。
图1. 氯表面修饰策略能显著增强钒酸铋的水氧化性能。

本文要点

要点一:氯表面修饰策略调控钒酸铋晶面生长
之前的研究已经证明了光生电子和空穴分别选择性的分布在钒酸铋的{010}和{110}面上。在本工作的最初部分,作者详细说明了氯修饰对钒酸铋晶体生长的导向作用和机制。通过直接水热法以氯离子作为导向剂,可以实现单斜相钒酸铋纳米晶体的{010}面可控暴露。
从XRD谱图可以看出,氯修饰对钒酸铋的(010)和(-121)衍射强度调控作用明显。除了氯离子,其他卤素离子也被发现具有{010}晶面导向作用。
密度泛函理论模拟进一步说明,氯修饰能够显著降低{010}晶面的表面能,即,通过氯修饰优先降低(010)晶面的表面能从而引导钒酸铋纳米晶体沿着(010)晶面生长。
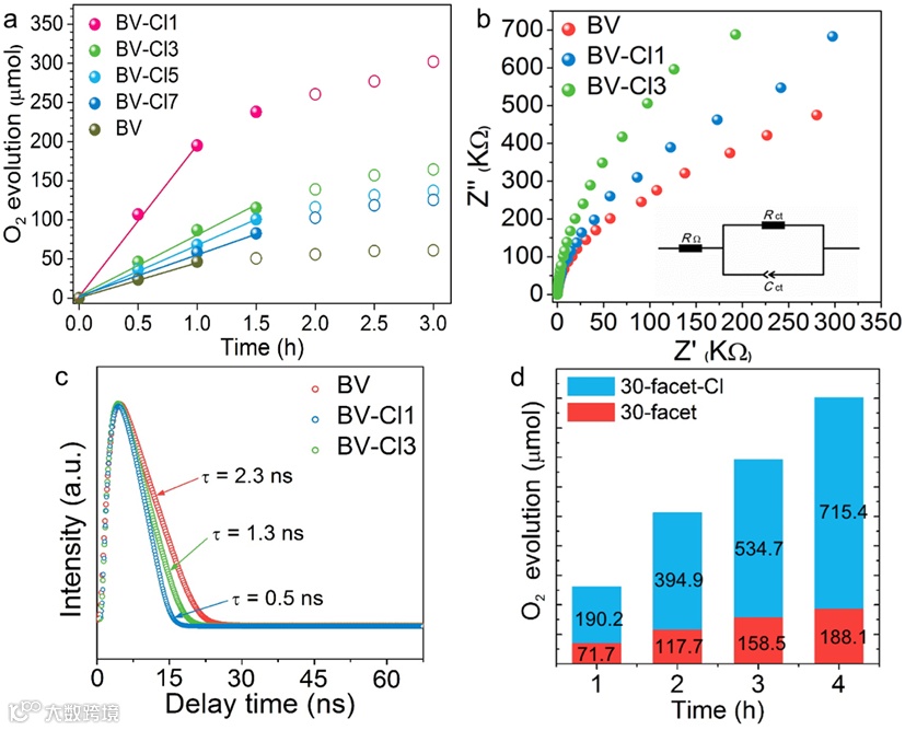
图2. 催化剂的XRD分析及形貌表征。

要点二:氯表面修饰策略显著增强钒酸铋的载流子分离效率
瞬态荧光光谱显示氯修饰后的钒酸铋具备更快的荧光衰减,再结合降低的PL强度,可以得知经过氯修饰后钒酸铋的载流子分离得到了提升。这个结果可以部分归因于{010}/{110}暴露比的变化。由于{010}面和{110}面之间价带和导带的位置略有不同,在热力学上光生电子和空穴会分别在这两个晶面上累积。
然而,晶面暴露比的作用并不一定是唯一的甚至不一定是主要的提高光催化水氧化性能的因素。为了进一步阐明氯修饰的作用,作者对已具有特定晶面暴露的钒酸铋进行后修饰并做了对比研究。
对于文献报到中具有高晶面指数暴露的30面体钒酸铋进行后期氯修饰,结果表明其光催化产氧性能仍可显著提高到原来的2.7倍左右。这些研究清楚地表明,氯离子修饰不仅如要点一所述可以调节晶面暴露比以促进载流子分离,而且对促进光催化水氧化的反应过程作用可能更为显著。
图3. 催化剂的催化性能和表征。

要点三:氯表面修饰策略增强钒酸铋光催化性能的作用机理
为了深入了解水氧化反应在氯修饰钒酸铋体系上的反应机理,作者首先从理论上研究了氯修饰对水氧化过程的影响,对多个反应中间体(*OH,*O,和*OOH)的吉布斯自由能进行了DFT计算。结果表明,氯的表面修饰能够显著降低水氧化反应能垒并改变了反应的决速步骤,这表明水的氧化在氯修饰后的钒酸铋上更容易进行。
同步光照XPS的研究表明氯修饰能够有效地促进水分子的活化和加速光生空穴参与表面反应效率。同时,动力学研究发现氯修饰后的钒酸铋表现活化能相较于未修饰钒酸铋降低了75%,这说明氯修饰后的钒酸铋上水氧化反应的反应途径或速率决定步骤发生了变化,这与模拟计算结果非常吻合。
图4. 催化剂的DFT计算和光催化动力学研究。

要点四:氯的配位情况
傅里叶变换EXAFS研究说明了氯修饰的钒酸铋中氯的配位状态。与对照样品(BiCl3)相对比可知氯主要与铋配位。同时,EXAFS及拉曼光谱结果表明Bi-O键受Bi-Cl配位键的影响发生位移。角分辨XPS分析则说明氯主要分布在钒酸铋的表面,这与对30面体钒酸铋进行氯后修饰同样显著提高其光催化水氧化性能的结果相一致。
在此基础上,作者将该策略拓展到了WO3半导体上,发现了类似的光催化水氧化性能提升效果。这种表面氯修饰即可显著提升BiVO4和WO3上光催化产氧性能的方法无疑对设计高效光催化水分解材料具有重要的借鉴意义。
图5. 催化剂的表面修饰分析。

总结

本论文通过简单的氯修饰策略得到了具有高效水氧化性能的钒酸铋光催化剂。这种修饰策略能够显著加快光催化水氧化反应动力学,并有效增强电荷载流子的分离。
系统的表征、模拟计算和动力学研究表明,氯修饰显著促进了水分子活化,降低了钒酸铋上光催化水氧化的反应能垒,改变了水氧化反应的速率决速步骤。本研究开发了一种简易的提高光催化水氧化性能的方法,预计为未来设计制备高效光催化水分解材料提供重要借鉴。

文章链接

A novel Cl- modification approach to develop highly efficient photocatalytic oxygen evolution over BiVO4 with AQE of 34.6%
https://doi.org/10.1016/j.nanoen.2020.105651


添加官方微信 进群交流

SCI二氧化碳互助群

SCI催化材料交流群

备注【姓名-机构-研究方向】

说明

🔹本文内容若存在版权问题,请联系我们及时处理。

🔹欢迎广大读者对本文进行转发宣传。

🔹《科学材料站》会不断提升自身水平,为读者分享更加优质的材料咨询,欢迎关注我们。

投稿请联系contact@scimaterials.cn

致谢

感谢本文作者对该报道的大力支持。

催化材料需求?点击"阅读原文"

【声明】内容源于网络
0
0
科学材料站
内容 9163
粉丝 0
科学材料站
总阅读9.0k
粉丝0
内容9.2k