大数跨境

曹丽云/何朝政 JMCA:富缺陷双金属蛋黄-壳金属氰化物骨架作为析氧反应的高效电催化剂

曹丽云/何朝政 JMCA:富缺陷双金属蛋黄-壳金属氰化物骨架作为析氧反应的高效电催化剂 科学材料站
2020-12-01
0
导读:该文章作者通过采用还原诱导溶解-重结晶方法,在聚乙烯吡咯烷酮存在下,通过异丙醇溶剂热法制备富缺陷的蛋黄-壳普鲁士蓝类似物


文章信息

富缺陷双金属蛋黄-壳金属氰化物骨架作为析氧反应的高效电催化剂
第一作者:冯永强
通讯作者:曹丽云 何朝政
单位:陕西科技大学 西安工业大学

研究背景

电解水是一种高效、可持续的制氢方法。然而,阳极析氧反应(OER)动力学缓慢,过电位(η)较大,阻碍了全解水过程。虽然贵金属铱(Ir)和钌(Ru)基电催化剂表现出优异的电催化活性,但其储量低、成本高限制了其广泛应用。
目前,过渡金属氧化物(TMO)、金属氢氧化物、金属碳化物、金属氮化物、金属磷化物、金属硫系化合物等非贵金属电催化剂的研究取得了很大进展。然而,催化剂内部催化性能下降的原因仍不清楚。
一般来说,催化剂活性显著的原因是其粒径小、比表面积大、独特的层次结构和协同效应,但纳米材料中常见的缺陷往往被忽视。近年来,缺陷在调节电子结构和工程界面相互作用中的关键作用引起了广泛的关注,包括OER、氧还原反应(ORR)、二氧化碳还原反应(CO2RR)、超级电容器等。

文章简介

近日,来自陕西科技大学的冯永强副教授,在国际知名期刊Journal of Materials Chemistry A上发表题为“Defect-rich bimetallic yolk-shell metal-cyanide framework as efficient electrocatalyst for oxygen evolution reaction”的观点文章。
本文采用还原诱导溶解-再结晶(RIDR)法制备了缺陷丰富的蛋黄壳普鲁士蓝类似物(YS-PBA)。
实验结果表明,由于IPA-PVP对诱导的还原电位,Co3[FeⅢ(CN)6]2的晶相转变为富缺陷的YS-PBA。新合成的YS-PBA在电流密度为10 mA cm-2的碱性介质中具有293mV的低过电位和长期耐久性(120h)。功能理论(DFT)结果表明,YS-PBA中形成的缺陷对提高OER活性有显著的积极作用。

本文要点

要点一:YS-PBA的形貌表征
图1是YS-PBA的形貌表征图。可以清楚地看到,它具有蛋黄壳立方结构,表面粗糙,有轻微凹陷。在核心(图1d)和外壳(图1e)中,可以观察到诸如原子空位、边缘和用黄色虚线标记的非晶态区域等晶体缺陷。这些缺陷是由Co/Fe原子在再结晶过程中的位错引起的。
另外,图中元素映射图说明了Co、Fe、C、N、O在YS-PBA中的均匀分布,元素线扫描进一步证实了蛋黄壳的结构。
Fig.1 Morphology characterization of YS-PBA. 

要点二:YS-PBA的晶相转变
图2 (a)是YS-PBA和SC-PBA的XRD图,SC-PBA对应的晶体结构是Co3[FeⅢ(CN)6]2·10H2O (JCPDS card 46-0907),YS-PBA的晶体结构是Co2FeⅡ(CN)6 (JCPDS card 75-0039) 。(b) 穆斯堡尔谱,(c) XPS,(d) FTIR也均表明Co3[FeⅢ(CN)6]2到Co2FeⅡ(CN)6的晶相转变 。
Fig.2 Structure identification of YS-PBA.

图3 (a)可以看出,溶剂热反应 8 h 后, SC-PBA 内部中心部分释放出[FeⅢ(CN)6]3-,外壳向内轻微收缩,形成凹形的空心立方体。图3 (c) XRD图谱在这时候显示出Co3[FeⅢ (CN)6]2和 Co2FeⅡ (CN)6的混合相。
随着内部结构溶解,释放出的[FeⅢ(CN)6]3-被溶液中的IPA-PVP还原为[FeⅡ(CN)6]4-,然后与 Co2+离子重新配位聚合,形成更多的Co2FeⅡ(CN)6(Ksp=1.8×10-15)。
进一步溶解反应24 h后,整个粒子全部变为Co2FeⅡ(CN)6,形成蛋黄-壳结构。图3 (b)是该反应的演变过程示意图。
Fig.3 Morphology and phase transformation of YS-PBA. 

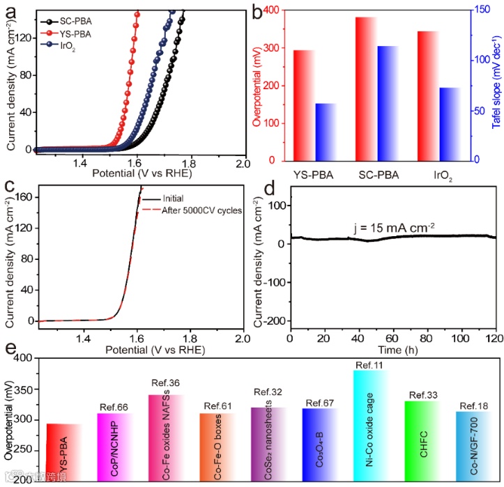
要点三:YS-PBA的电催化性能测试
图4是使用标准的三电极体系,在1 M KOH水溶液中进行OER测试,相比于SC-PBA与贵金属IrO2,YS-PBA表现出较小的过电位和塔菲尔斜率,并且在10mA cm-2电流密度下可以持续工作120 h以上。
Fig.4 OER performance of YS-PBA.

要点四:缺陷对YS-PBA的电催化性能的影响
图5展示了YS-PBA中不同区域的原子台阶、非晶区、位错等晶体缺陷,这些在晶相转变过程中原位产生的缺陷具有较高的催化活性,是YS-PBA析氧反应活性提升的重要因素。
Fig.5 Defect identification in YS-PBA.

进一步,通过密度泛函理论计算了Co原子缺陷对对水分子的吸附能和电子态密度分布,结果表明Co原子缺陷有利于水分子的吸附,与实验结果一致。
Fig.6 The optimized structure of H2O adsorbed on the PBA surface

文章链接

Defect-rich bimetallic yolk-shell metal-cyanide framework as efficient electrocatalyst for oxygen evolution reaction

通讯作者介绍

冯永强,工学博士,副教授,硕士生导师
陕西省“青年千人”计划入选者,陕西省青年科技新星,中国化工学会精细化工专业委员会青年委员。主要研究方向:富勒烯碳纳米材料、纳米光电催化材料的应用研究。近年来在J. Am. Chem. Soc., J. Mater. Chem. A, Chem. Eng. J., Chem. Commun., Nanoscale, Dalton Trans.等国际知名期刊发表学术论文20余篇,参与撰写《Comprehensive Supramolecular Chemistry (II)》英文专著一部。申请国家发明专利15项,授权2项。作为项目负责人主持的项目包括国家自然科学基金(青年、面上),甘肃省自然科学基金,陕西省自然科学基金,陕西省教育厅重点项目及专项项目,北京分子科学国家研究中心开放课题,教育部轻化工助剂化学与技术重点实验室开放课题,陕西科技大学科研启动项目等,同时参与完成了国家自然科学基金重点项目、中科院重大研究计划等多项科研项目。2010年本科毕业于四川大学,2015年6月获中国科学院化学研究所材料学博士学位。同年7月进入中国科学院兰州化学物理研究所从事科研工作。2016年9月以“青年拔尖”人才加入陕西科技大学材料学院材料化学系, 2018年1月至2019年1月在日本高知大学水热化学国家重点实验室从事博士后研究。

曹丽云,教授,博士研究生导师,陕西科技大学“材料物理与化学”方向学术带头人。
陕西省电源学会能源分会常务理事,陕西省硅酸盐学会理事。主要从事功能薄膜及涂层材料、纳米能源材料、无机复合材料等方面的研究工作。承担国家自然科学基金(4项)、陕西省自然科学基金以及陕西省教育厅产业化重点项目等多项项目的研究,参与“十二五”科技支撑计划、教育部"新世纪优秀人才"支持计划基金、教育部博士点基金、陕西省重点科技创新团队基金、陕西省国际合作重点基金、陕西省科技统筹重大项目等二十余项纵向及十余项横向项目研究。发表论文共计126篇,授权国家发明专利59项。获得中国轻工联合会科学技术发明一等奖2项,教育部技术发明二等奖1项,陕西省科学技术二等奖2项、三等奖1项,陕西省高校科学技术一等奖2项。

何朝政,西安工业大学教授
陕西省“青年千人”计划入选者。主要从事电池、气敏材料、催化反应的理论模拟计算以及团簇、二维材料的理论设计。现已在著名国际刊物J. Catal., J. Mater. Chem. A, J. Mater. Chem. C, Carbon, J. Phys. Chem. C等国际著名杂志发表SCI论文70余篇。主持国家自然科学基金2项,担任Chin. Chem. Lett. (中国化学快报) 青年编委。

添加官方微信15375698751 进群交流

SCI二氧化碳互助群

SCI催化材料交流群

备注【姓名-机构-研究方向】

致谢

感谢本文作者对该报道的大力支持。

PEM电解槽需求?点击"阅读原文"

【声明】内容源于网络
0
0
科学材料站
内容 0
粉丝 0
科学材料站
总阅读0
粉丝0
内容0