大数跨境

陈立宝教授&陈月皎副教授JMCA:银颗粒改性原位构筑AgZn3驱动锌均匀沉积助力锌金属负极

陈立宝教授&陈月皎副教授JMCA:银颗粒改性原位构筑AgZn3驱动锌均匀沉积助力锌金属负极 科学材料站
2021-03-02
1
导读:该工作揭示了锌金属负极在水系电解液中的原位合金改性机理及提升锌负极长效循环的重要意义,为锌负极材料的设计与制备提供了新的思路,也为其它金属水系电池负极材料的设计提供了借鉴意义。


文章信息

银颗粒改性原位构筑ZgZn3驱动锌均匀沉积助力锌金属负极
第一作者:王云云
通讯作者:陈月皎*,陈立宝*
单位:中南大学

研究背景

水系锌离子电池由于高安全性和低成本的巨大优势,近年来逐渐吸引了广泛的研究兴趣,甚至被认为具有在某些特定储能领域代替锂离子电池的潜能。锌金属作为负极在电池充放电过程中,存在不均匀沉积的问题,导致锌枝晶的产生,严重降低锌负极的活性和利用率。因此,调控金属锌的均匀沉积是获得锌电池实际应用的重要因素之一。
目前,已经有许多表面改性策略致力于稳定锌金属负极,包括表面包覆陶瓷颗粒层、有机高分子层以及金属层等,不同改性层所涉及的内在改性机理不同。其中,在锌负极上构筑合金层是一种有效的改善锌枝晶的策略,可有效均匀化锌离子流,调控锌沉积的成核方式,以实现金属锌的均匀沉积。

文章简介

近日,中南大学陈立宝教授和陈月皎副教授团队在国际知名期刊Journal of Materials Chemistry A发表了题为“Uniform and dendrite-free zinc deposition enabled by in-situ formed AgZn3 for zinc metal anode”的研究论文。
该文章通过一个简单的化学液相沉积法,利用金属活泼性置换原理将银颗粒沉积于锌片上作为改性锌负极。所制备的 Zn@Ag电极在第一次电镀过程中,附着在锌表面的原始Ag颗粒与电镀的锌原子结合,转化为AgZn3合金相。
由于AgZn3与锌原子的结合能高于纯锌,新形成的AgZn3可以有效地调节锌的成核势垒和沉积位置,以控制界面锌离子的分布和扩散行为。这一点可以通过第一性原理模拟计算结果得到证实,从而更好地理解AgZn3对锌的诱导机理。同时Zn@Ag电极在ZnSO4(ZnSO4+MnSO4)电解液中具有较好的润湿性,进一步降低了镀锌/剥锌极化。
该工作揭示了锌金属负极在水系电解液中的原位合金改性机理及提升锌负极长效循环的重要意义,为锌负极材料的设计与制备提供了新的思路,也为其它金属水系电池负极材料的设计提供了借鉴意义。

本文要点

要点一:化学还原法制备银颗粒包覆改性锌片
使用溶液浸泡法通过化学还原的方式(Zn+2Ag+Zn2++2Ag)制备可以制备出表面包覆银颗粒的改性锌负极 (Zn@Ag负极) 。
其制备方法如下图1所示,图2是Zn@Ag极片的基本表征。相对于裸锌片,Zn@Ag极片表面均匀包覆一层银颗粒层,放大形貌图可以看出部分颗粒聚集体;EDS,TEM,XPS和XRD等材料表征手段同样证明极片表面银单质的存在。
图1. 银颗粒包覆锌改性负极的制备方法

图2. Zn@Ag极片的基本表征

要点二:Zn@Ag负极的优异电化学性能
在0.25mA/cm2的电流密度下,Zn@Ag作为对称电池极片时能够以更低的极化电压循环更长时间,通过首圈充放电曲线可以看出Zn@Ag极片的形核过电位更低,且改性负极的电化学阻抗更低,对ZnSO4电解液的润湿性显著提升。
图3. Zn@Ag负极的电化学性能测试

要点三:Zn@Ag负极长效循环机理研究
在Zn@Ag极片首次锌沉积过程中,表面包覆的银随着锌的沉积逐渐转换成为AgZn3合金相,TEM检测同样证明了AgZn3的形成。锌和AgZn3分别对锌的结合能计算结果显示AgZn3对锌在两种空位的结合能都更负,表明AgZn3合金相更易于和锌相结合。
图4. Zn@Ag极片循环过程中的XRD表征分析、AgZn3的TEM表征和理论计算结果对比

锌在裸锌上沉积时分布散列,当沉积时间延长时表面已经有不均匀堆叠的锌;而在Zn@Ag极片表面一开始沉积时,锌能形成纳米片组成的纳米花形貌,随着沉积时间的延长,纳米片逐渐填充纳米花之间的空隙直到锌片表面被沉积的锌纳米片连接成整齐的表面层。锌在Zn@Ag极片表面上初始沉积的过程中形成的AgZn3合金相在后续循环过程中能够诱导锌的均匀沉积。

图5.  裸锌和Zn@Ag极片沉积锌的SEM过程图和示意图对比

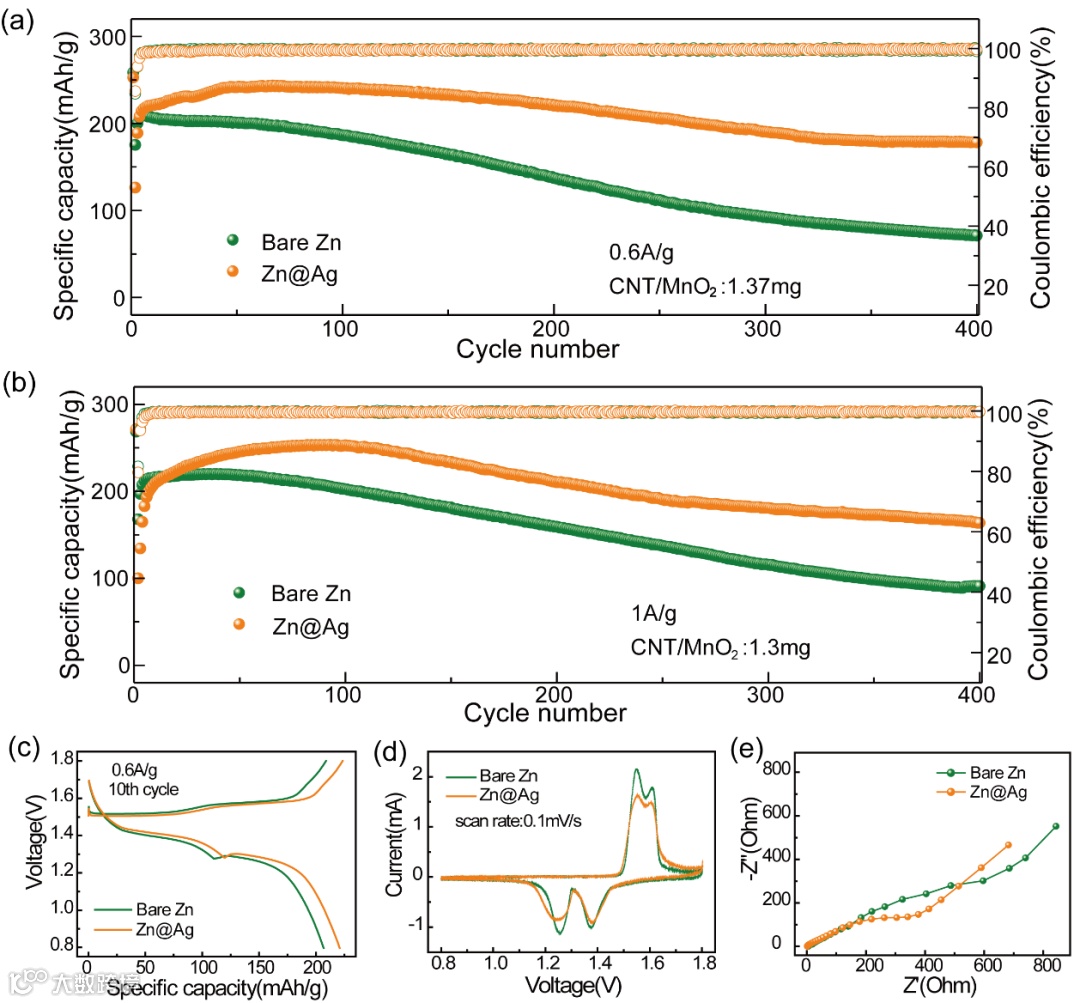
要点四:Zn@Ag负极在锌离子电池中的应用
Zn@Ag负极在锌离子全电池体系中表现出优异的电化学性能,匹配相同的CNT/MnO2正极材料,Zn@Ag作负极时的全电池表现出更好的循环稳定性。
图6. 裸锌和Zn@Ag负极在锌离子全电池体系中的性能测试

文章链接

Uniform and dendrite-free zinc deposition enabled by in-situ formed AgZn3 for zinc metal anode
https://doi.org/10.1039/D0TA12177K

通讯作者介绍

陈立宝 教授。
安徽宿州人,中南大学“升华学者”特聘教授,湖南省“杰出青年”基金获得者。中国有色金属学会会员,中国有色金属学会创新发展工作委员会委员会委员,美国电化学学会会员(ECS)。主要研究方向为高性能电极材料及极端环境应用的锂离子电池。近5年主持中央军委科技委项目2项,装备发展部项目1项,国家自然科学基金联合基金重点项目1项、面上项目2项、青年基金1项,国家重点研发计划子课题1项,湖南省“杰出青年”科学基金1项,重大产业化项目2项。在Materials Today, Advanced Science、Advanced Functional Materials等国际权威期刊上发表高水平学术论文60余篇,论文SCI总他引次数5000余次。研发的宽温范围锂离子电池技术已成功产业化,为100多家单位提供特种锂离子电池。开发的高安全大功率锂离子电池,技术评估1000万元进行产业化。


添加官方微信 进群交流

SCI二氧化碳互助群

SCI催化材料交流群

备注【姓名-机构-研究方向】

说明

🔹本文内容若存在版权问题,请联系我们及时处理。

🔹欢迎广大读者对本文进行转发宣传。

🔹《科学材料站》会不断提升自身水平,为读者分享更加优质的材料咨询,欢迎关注我们。

投稿请联系contact@scimaterials.cn

致谢

感谢本文作者对该报道的大力支持。

【声明】内容源于网络
0
0
科学材料站
内容 9163
粉丝 0
科学材料站
总阅读9.0k
粉丝0
内容9.2k