大数跨境

合肥工业大学 张卫新教授课题组JMCA:双壳层NiFe PBAs 纳米笼热激发原位构建CN空位与析氧电催化性能调控新策略

合肥工业大学 张卫新教授课题组JMCA:双壳层NiFe PBAs 纳米笼热激发原位构建CN空位与析氧电催化性能调控新策略 科学材料站
2021-05-13
2
导读:该论文提出了基于双壳层NiFe PBAs 纳米笼热激发原位构建CN空位、实现析氧电催化性能提升的新策略,同时对该策略进行了系统的研究


文章信息

双壳层NiFe PBAs纳米笼热激发原位构建CN空位与析氧电催化性能调控研究
第一作者:江苗苗 (博士研究生)
通讯作者:张卫新*,范小明*
单位:合肥工业大学化学与化工学院,先进催化材料与反应工程安徽省重点实验室

研究背景

电催化析氧反应(OER)在电解水、金属-空气电池等诸多能源存储转化技术中扮演着重要的角色。但受限于缓慢的动力学,即使是使用昂贵的催化剂(氧化铱、氧化钌等),驱动OER仍然需要较高的过电位。设计和制备高效廉价的OER电催化剂已经成为了研究热点。
近年来,普鲁士蓝类似物(PBAs)材料由于其灵活可调的结构与组分作为析氧电催化剂受到研究人员关注,其通式为AxM[Fe(CN)6]y•mH2O(A是碱金属,M是过渡金属且0≤x≤2, y<1)。然而,利用缺陷工程技术对PBAs进行晶体结构和形貌调节仍然是一大挑战。
PBAs材料是一类金属有机框架化合物,包含各种过渡金属离子(Ni、Fe、Co和Mn等)和丰富的CN配体,其中CN三键具有较高的活化能垒。最近,有文献报道新颖的CN空位的存在可以抑制PBAs电催化剂在碱性电化学环境中Fe的流失,并在表面重构形成Fe-O键作为活性位点而极大地提升电催化析氧性能。因此,探索一种简单且温和的方法在PBAs中引入CN空位以调控其OER电催化性能具有重要意义。
基于此,合肥工业大学张卫新教授课题组报道了利用纳米尺度的柯肯达尔效应、设计离子交换反应制备双壳层NiFe PBAs纳米笼,随后,对其采用了一种简单的热激发诱导原位产生CN空位。经密度泛函理论计算和实验结果证实,合理设计的双壳层PBAs电催化剂,能够暴露丰富的外表面从而有效降低CN基团逸出能垒。通过简单温和的手段构建具有丰富的CN空位而主体材料晶相形貌结构未变的高效电催化剂,用作析氧反应(OER)催化剂时表现出高电催化活性。

文章简介

近日,合肥工业大学的张卫新教授课题组在国际著名学术刊物Journal of Materials Chemistry A(影响因子:11.301)上发表题为“Thermally Activated Carbon-Nitrogen Vacancies in Double-Shelled NiFe Prussian Blue Analogue Nanocages for Enhanced Electrocatalytic Oxygen Evolution”的研究论文。
该论文提出了基于双壳层NiFe PBAs 纳米笼热激发原位构建CN空位、实现析氧电催化性能提升的新策略,同时对该策略进行了系统的研究,这项工作为探索具有特殊纳米结构和缺陷多重性的PBAs电催化剂提供了有效的策略。
图1. CN空位工程双壳层NiFe PBAs纳米笼制备过程示意图

本文要点

要点一:报道了一种构建双壳层NiFe PBAs纳米笼结构的新策略
基于纳米尺度的柯肯达尔效应,采用离子交换反应制备双壳层NiFe PBAs纳米笼,并对转化过程进行了系统的研究和论证。在实验中,将合成的Ni(OH)2纳米笼直接用作自牺牲模板,通过离子交换反应(Ni(OH)2(s)+ K3Fe(CN)6(aq)→ K2NiFe(CN)6(s)+ 2OH-(aq)+ K+(aq)),成功在Ni(OH)2纳米笼界面沉积NiFe PBAs薄层,由于Ni(OH)2和NiFe PBAs之间的结晶性差异导致两者相互扩散速率不同,最终得到双壳层NiFe PBAs纳米笼结构。
图2. (a)K3Fe(CN)6溶液和Ni(OH)2纳米笼在K3Fe(CN)6溶液中的pH值随时间变化曲线;(b)PBAs-1、PBAs-2、PBAs-3、PBAs-4的X射线衍射图和(c)对应的拉曼光谱图;(d)-(g)随时间变化的TEM图像和PBAs-x(x = 1、2、3、4)的EDS线扫描图像。

要点二:密度泛函理论计算和实验结果证实双壳层NiFe PBAs纳米笼更易形成丰富的CN空位
通过密度泛函理论计算证实,与NiFe PBAs纳米方块相比,在相同的温和热处理条件下,合理设计的双壳层NiFe PBAs纳米笼在不破坏晶体结构与形貌的前提下更易原位获得CN空位,其中CN空位浓度高达18.5%,这可能归因于纳米笼表面CN基团具有较低的逃逸能垒。
文中还通过多种方法(包括ESR、Raman、XPS、ICP和CL分析)证实了双壳层NiFe PBAs纳米笼中CN空位的存在。
图3. (a)热处理后双壳层NiFe PBAs纳米笼的X射线衍射图;(b)对应的场发射扫描电镜照片;(c)透射电镜照片及(d)对应的HRTEM照片(插图:选区电子衍射照片)

要点三:富含CN空位的双壳层NiFe PBAs纳米笼展示出高电催化析氧活性
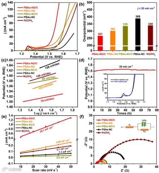
 与大多数PBAs基及衍生物析氧电催化剂相比,富含CN空位的双壳层NiFe PBAs纳米笼具有出色的电催化OER活性,在20 mA cm-2下的过电势低至267 mV,在长达78 h稳定性测试后电势值仅增加2.1%。
文中揭示其优异的电催化活性可能源于开放的双壳层纳米笼状结构提供了高度暴露的活性位点和快速的电子转移动力学,同时对析氧反应后电催化剂进行进一步表征分析,发现丰富的CN空位可以抑制电催化剂中Fe元素在碱性电解质中的浸出,从而表面重构形成 Fe-O活性位点进一步提高电催化活性。
图4. (a)经iR校正的不同电催化剂的OER极化曲线(其中催化剂负载量:约0.15 mg cm-2,扫描速率:5 mV s-1);(b)不同电催化剂在20 mA cm-2的电流密度下产生的过电势;(c)从极化曲线得出的不同电催化剂的塔菲尔图;(d)在20 mA cm-2的恒定电流密度下PBAs-NG/C上记录的计时电位响应(插图:CP测试78 h前后的PBAs-NG/C极化曲线);(e)电流密度与对应的扫描速率的关系;(f)在没有iR校正的情况下测试电化学交流阻抗图(插图:对应的等效电路图)

本文链接

Thermally Activated Carbon-Nitrogen Vacancies in Double-Shelled NiFe Prussian Blue Analogue Nanocages for Enhanced Electrocatalytic Oxygen Evolution.
https://doi.org/10.1039/D1TA01625C

通讯作者介绍

张卫新 教授,合肥工业大学化学与化工学院、博士生导师。
可控化学与材料化工安徽省重点实验室副主任,享受国务院政府特殊津贴和安徽省政府特殊津贴,二级教授。重点开展能量存储与转换器件电极材料与电催化材料的研发、退役电池的回收与综合利用等研究。先后主持完成国家及省部级研究课题20余项,在国内外重要学术刊物Angew. Chem. Int. Ed.、Adv. Funct. Mater.、Acc. Chem. Res.、Appl. Catal. B: Environ.、J. Mater. Chem. A、Chem. Eng. Sci.、AIChE J.、J. Power Sources等上发表研究论文180余篇,其中SCI收录130余篇、EI收录90余篇,论文他引5000余次。获授权发明专利16项,2项专利有偿转让给相关企业,产生显著的经济效益与社会效益。以第一完成人获安徽省科学技术二等奖、安徽青年科技奖等。兼任中国化工学会储能工程专业委员会委员,中国颗粒学会颗粒制备与处理专业委员会委员,中国化学会高级会员,《电源技术》编委会委员,安徽省“115”产业创新团队与安徽省高等学校“化工新材料制备与过程技术”科技创新团队负责人。

范小明 副教授,合肥工业大学化学与化工学院、硕士生导师。
主要从事能源存储与转换材料与器件领域的研究工作,主持国家自然科学基金青年基金、安徽省自然科学基金等项目,已在Adv. Energy Mater.、Chem. Common.、Carbon等学术刊物上发表研究论文二十余篇。

课题组介绍

请见课题组网址:https://www.x-mol.com/groups/hfut411group。

课题组招聘

课题组诚聘博士后2-3人,薪酬不低于22万/年,尤其欢迎有理论计算、能量存储与转换领域电极材料、电解质研究经历的博士加盟!
有意者请联系邮箱wxzhang@hfut.edu.cn


添加官方微信 进群交流

SCI二氧化碳互助群

SCI催化材料交流群

备注【姓名-机构-研究方向】

说明

🔹本文内容若存在版权问题,请联系我们及时处理。

🔹欢迎广大读者对本文进行转发宣传。

🔹《科学材料站》会不断提升自身水平,为读者分享更加优质的材料咨询,欢迎关注我们。

投稿请联系contact@scimaterials.cn

致谢

感谢本文作者对该报道的大力支持。

碱性水电解材料需求?点击"阅读原文"

【声明】内容源于网络
0
0
科学材料站
内容 9163
粉丝 0
科学材料站
总阅读9.0k
粉丝0
内容9.2k