第一作者:Felix Hartmann
通讯作者:Wolfgang Bensch
通讯单位:德国基尔大学
论文DOI:10.1002/adma.202101576
可充电电池是现代社会电能存储(EES)的重要组成部分,因为在过去的二三十年中,技术需求迅速增长。其中,钠离子电池(SIBs)在过去的几年里受到了极大的关注,因为钠的丰度很高,理论能量密度很高。在各种研究用于SIBs的阳极材料中,过渡金属硫化物(TMSs)因其丰富、低成本和高理论容量而引起高度关注。在TMSs的电化学储钠过程中,金属阳离子被还原成嵌在Na2S矩阵中的金属纳米颗粒。然而,转化反应伴随着大的体积变化,导致集流体的接触损失,经常导致差的循环能力。三元TMSs在SIBs中表现出良好的性能,详细揭示其储钠机制对提升循环稳定性和基于TMSs的SIBs性能至关重要。有鉴于此,德国基尔大学Wolfgang Bensch团队基于XRD、对分布函数、X射线吸收光谱技术,在NiCr2S4吸收Na的开始阶段,发现了一种非常规的Ni挤出、Na插入机制,即Ni2+可逆地从空位层中挤出/插入,然后通过氧化还原过程形成fcc-Ni和NaCrS2纳米晶。相关成果发表在国际期刊Advanced Materials上。
NiCr2S4初始放电容量为900 mAh g-1(≈9.8 Na/NiCr2S4),第一次充电过程获得了647 mAh g-1(≈7.0 Na/NiCr2S4)的容量,这约28%的容量损失源于化学副反应和固体电解质界面的形成,之后,电极容量保持率保持稳定。经过高速率测试,当电流密度降低到初始值0.1 A g-1,其速率能力测试仅损失5%。因此,NiCr2S4在高电流和低电流速率之间表现出极好的可逆性。
在第一个放电过程中,电势由3 V vs. Na/Na+下降到0.3 V vs. Na/Na+,NiCr2S4摄取2个Na,形成纳米Ni0并在内部生成NaCrS2;当电势继续下降到0.1 V vs. Na/Na+,存储6个Na,形成由纳米Ni0、无定型Cr0和Na2S矩阵组成的混合物。在第一个充电过程中,电势逐渐上升到3 V vs. Na/Na+,上述混合物脱出7个Na,最终生成纳米Ni0和无定型的NixS、CrxS。PXRD、对分布函数和X射线吸收光谱等技术提供了相关的证据。

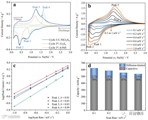
根据CV曲线,计算得到的b值和扩散控制/电容占比表明,NiCr2S4的嵌钠/脱钠过程中电容贡献占据主导地位。在0.5 A g-1和2.0 A g-1电流密度下,分别循环1200次和3000次,电化学容量和库伦效率几乎没有出现下降。

https://doi.org/10.1002/adma.202101576
声明:
本文仅为了分享交流科研成果,无任何商业用途。如有侵权,联系邮箱或添加小编微信删除。
添加官方微信 进群交流
SCI二氧化碳互助群
SCI催化材料交流群
SCI钠离子电池交流群
SCI离子交换膜经验交流群
SCI燃料电池交流群
SCI超级电容器交流群
SCI水系锌电池交流群
SCI气体扩散层经验交流群
备注【姓名-机构-研究方向】
说明
🔹本文内容若存在版权问题,请联系我们及时处理。
🔹欢迎广大读者对本文进行转发宣传。
🔹《科学材料站》会不断提升自身水平,为读者分享更加优质的材料咨询,欢迎关注我们。
投稿请联系contact@scimaterials.cn