大数跨境

安徽大学李广教授团队和合作者AFM: 在全pH范围内析氢反应单原子催化材料研究领域取得重要进展

安徽大学李广教授团队和合作者AFM: 在全pH范围内析氢反应单原子催化材料研究领域取得重要进展 科学材料站
2021-12-03
0
导读:本文通过两级分散策略巧妙设计并制备出一个锚定在α-MoC1-x@C载体上的几乎零价态Pt单原子高效的HER系列催化剂

氢能被认为是未来应对能源危机最有希望的绿色能源。电化学析氢反应(HER)被认为是转换和储存间歇性能源(如太阳能、风能和潮汐能)的有效途径。贵金属铂(Pt)由于其与水分子中氢易于形成较低的结合能,因此Pt基催化剂对HER反应表现出高活性和快速反应动力学。然而,其稀缺性和高成本仍然阻碍了其大规模应用。因此,制备高效的、基于Pt的单原子催化剂(SAC)催化剂可尽可能低减少Pt的负载量,是满足当今对Pt基催化剂日益增长的需求的关键。

SAC的催化活性和选择性主要取决于活性中心原子的局域电子构型,而该局部构型通常会受到单原子与载体之间相互作用的影响。合适的载体材料不仅可以提供热力学稳定的孤立原子活性位点,而且还可以为中间体的吸附/解吸形成有利的结构。金属单原子和载体的优化相互作用可以通过原子界面之间的电子转移而有效地进行调节,从而进一步调节金属原子位的电荷密度,加速反应动力学。作为一种典型的还原反应,由于优化的金属-载体相互作用和H2O吸附,锚定在合适载体上的低价态单原子Pt可以作为催化活性中心。

李广教授课题组及其合作者通过两级分散策略巧妙设计并制备出一个锚定在α-MoC1-x@C载体上的几乎零价态Pt单原子高效的HER系列催化剂,PtSA/α-MoC1-x@C(x = 0, 0.5,0.75, 1.0,1.5wt%)。该催化剂同时实现了期望的酸、碱和中性全pH范围内的HER高催化活性、稳定性和极低Pt负载量。
角度环形暗场扫描透射电子显微镜(HAADF-STEM)测量表明,铂原子成功取代Mo原子位置而地融入α-MoC1-x@C框架中。经X射线吸收光谱(XAS)检测和密度泛函理论(DFT)计算,揭示出原子界面间电荷极化的强烈相互作用导致单原子Pt呈现出零价态,从而解释了PtSA/α-MoC1-x@C较低Pt负载量(0.75 wt%)的催化剂达到了全pH范围内的最佳催化活性。
DFT计算进一步表明,Pt原子与α-MoC1-x之间的电荷极化可以有效地优化中间体的吸附/脱附能。这项工作不仅展示了全pH值范围内电化学析氢的优良催化剂,而且提供了零价SAC的合理设计策略,并从理论和实验两方面揭示了其催化机理。

碱性水电解左右滑动查看更多


图1 PtSA/α-MoC1-x@C(x = 0, 0.5,0.75, 1.0,1.5wt%)催化剂合成示意图和HAADF-STEM 图片

图2 Pt1/α-MoC1-x的电子结构表征。a) Pt 4f XPS光谱。b)Pt L3边XANES光谱(插图为边缘前峰的部分放大)。c)Pt L3边的FT-EXAFS曲线。d) Mo K边XANES谱。e)Mo K边的FT-EXAFS曲线。f) Pt1/α-MoC1-x的微分电荷密度(单位为0.007 e·Å-3,浅蓝色、灰色和紫色球分别代表Mo、C和Pt)

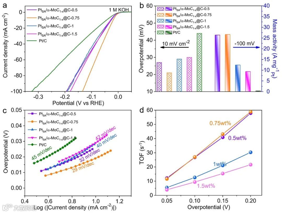
图3 碱性环境中PtSA/α-MoC1-x@C(x = 0, 0.5,0.75, 1.0,1.5wt%)催化剂的HER性能

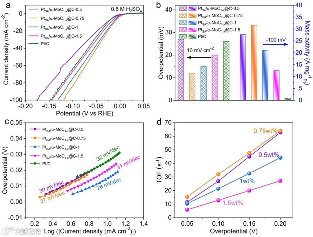
图4 酸性环境中PtSA/α-MoC1-x@C(x = 0, 0.5,0.75, 1.0,1.5wt%)催化剂的HER性能

图5 DFT模拟反应物和中间体的吸附行为。a) 氢、水和氢氧化物在α-MoC1-x和α-MoC1-x-Pt表面的优化吸附几何结构。b) 氢在α-MoC1-x-Pt和α-MoC1-x-Pt表面吸附的吉布斯自由能图。c) α-MoC1-x和α-MoC1-x-Pt催化剂对水和氢氧化物的吸附自由能。(浅蓝色、灰色、紫色、红色和白色小球分别代表Mo、C、Pt、O和H)

该研究成果以“Confining Zero-Valent Platinum Single Atoms in α-MoC1−x for pH-Universal Hydrogen Evolution Reaction”为题在国际著名期刊《Advanced Functional Materials》上在线发表。安徽大学为第一通讯单位,安徽大学2020级博士研究生王雯为第一作者,安徽大学林运祥博士、杨丽副教授、李广教授和北京科技大学姜勇教授为共同通讯作者。

该项研究工作得到了国家自然科学基金(11674001、21803063)、科技部重点专项课题(2017YFA0403503)、安徽省领军人才团队项目(LTIT20200002)和安徽省自然科学基金(KJ2020A0018)等联合资助。
文章链接:https://doi.org/10.1002/adfm.202108464


添加官方微信 进群交流

SCI二氧化碳互助群

SCI催化材料交流群

SCI钠离子电池交流群

SCI离子交换膜经验交流群

SCI燃料电池交流群

SCI超级电容器交流群

SCI水系锌电池交流群

SCI水电解互助群

SCI气体扩散层经验交流群

备注【姓名-机构-研究方向】

说明

🔹本文内容若存在版权问题,请联系我们及时处理。

🔹欢迎广大读者对本文进行转发宣传。

🔹《科学材料站》会不断提升自身水平,为读者分享更加优质的材料咨询,欢迎关注我们。

投稿请联系contact@scimaterials.cn

致谢

感谢本文作者对该报道的大力支持。

了解碱性水电解材料,点击"阅读原文"

点分享

点赞支持

点在看

【声明】内容源于网络
0
0
科学材料站
内容 9163
粉丝 0
科学材料站
总阅读9.0k
粉丝0
内容9.2k