导读
关键词
背景简介
类似于锂,氟具有很高的电负性和相当低的重量,因此非常稳定并且具有宽的电化学稳定性窗口。
更重要的是,与锂离子电池(LIB)不同,氟化物离子电池(FIB)由于较少的过热,并且对环境的影响也较小,因此对用户而言更加安全。含氟化物的材料在全球范围内呈现萤石型结构,例如CaF2。 因此,FIB的新概念作为LIB的有前途的替代方案已受到了广泛的关注。
尽管FIBs概念仍处于发展初期,但文献中已经报道了各种金属氟化物,例如CuF2,PbF2,BiF3和KBiF4作为正极材料。以La或Ce金属为负极,以LaF3或CeF3掺杂为电解质,以PbF2或BiF3掺杂为正极的电池,显示出更高的容量。然而,它仅在相当高的温度(约340 K)下才能工作,在日常生活中不实用。更糟糕的是,金属负极(例如Ce,La,Ca,Li或Mg)对表面氧化很敏感,从而导致负极迅速降解。迄今为止,要实现氟化物电化学电池的有效功能,应解决两个关键挑战。
一种是关于选择用于F-转移的理想电解质,以及在电极和电解质之间实现显着的传质效率。
另一个问题是如何选择具有优异电化学性能的合适电极,包括离子迁移率,开路电压,体积电容和循环性能,以及优异的机械性能,例如弹性刚度,柔韧性和强度。
文章介绍
-
首先通过执行第一原理计算来确定具有四种不同配置的M2CH2的结构稳定性。 -
其次通过分析吸附能来确定最有利的吸附位点。 -
然后系统地研究了电子性能和电荷补偿机制。 -
此外,通过计算可能的微扩散路径上的迁移能垒,可以预测M2CH2单层表面的F-迁移率。特别是,使用双轴应变加载方案(拉伸/压缩),全面探索了各种应变状态下的F迁移能垒。最重要的是,通过在M2CH2单层表面逐渐引入F以模拟F-嵌入/脱嵌过程来研究电压分布,并评估相应的比能。
文章亮点
-
过渡金属原子是F2M2CH2(M = Ti或V)作为氟离子电池(FIB)的电极材料的热力学稳定性和机械柔韧性的关键因素。 -
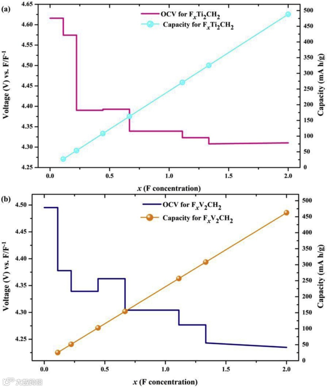
•从理论上讲,Ti2CH2单层是一种有前途的正极材料,具有可充电FIB优异的电化学性能。 -
•结果表明,FIB中Ti2CH2单层的存储容量大(488(mA h g-1),开路电压高(4.62 V)。 -
•由于Ti2CH2单层表面状态的变化,适当调节压缩应变可以有效提高F-迁移率。

