Version of record online: 23 April 2020
同济大学
导读
锂金属充电电池(LMBs)由于形态不稳定和电解液消耗等原因而迅速退化。作为LiBCC金属箔的替代,本研究采用5wt%Sb-95wt%Sn与LiBCC合金化制备的自支撑Li-Sb-Sn箔作为全电池结构的负极。与等厚度的纯LiBCC箔相比,其电化学性能具有很强的竞争力,表现出电解质降解速度慢、体积膨胀小的特点。掺杂Sb后,Sn电极的反应动力学和锂化产物也发生了变化,将Sn→Li22Sn5的化学机械冲击分解为Sn→Li2Sn5→LiSn→Li22Sn5的化学机械冲击。Li22Sn5的载锂能力与LiBCC相近,但预锂Li-Sn-Sb箔体积膨胀小,循环稳定性好,安全性高,综合性能优于LiBCC金属箔负极。
背景介绍
1.可充电锂金属电池目前不足
2.影响合金箔性能的因素
图1. 合金保护锂箔示意图
文章介绍
近日,同济大学的黄云辉和李巨等人在国际知名期刊Nano Energy (2018 IF: 15.548)上发表题为“Surpassing lithium metal rechargeable batteries 1 with self-supporting Li-Sn-Sb foil anode”的研究论文。本文联合第一作者是Hui Xu和Sa Li。
图2. 电极形貌图
a) SEM image of 5 wt%Sb-95 wt%Sn foil. Some protruding nano particles are observed in the matrix.
b) TEM image of intermediate phase SnSb particle embedded in Sn matrix.
c) Digital photo of Li–Sb–Sn prepared by mechanically pressing two 7.5 cm × 2.6 cm × 50 μm 5 wt% Sb-95 wt%Sn foils sandwiching one 7.5 cm × 2.6 cm × 50 μm Li foil in the middle.
d) XRD result of Li–Sb–Sn. Only Li22Sn5 phase was determined.
e) SEM image of Li–Sb–Sn electrode. The electrode consists of two layers, including 24.1 μm thick porous reacted part and 25.9 μm thick unreacted 5 wt%Sb-95 wt%Sn part.
f) Percentages of porosity (the olive), retained Sn (the navy) and Li22Sn5 (the orange) in the reacted layer of Li–Sb–Sn.
a) Cycle performance of LiFePO4/Li–Sb–Sn full cell and LiFePO4/LiBCC cell respectively with electrolyte of 20 μL (e.g. 7.56 g Ah−1) and 40 μL (e.g. 15.12 g Ah−1).
b) Columbic inefficiency (CI≡100%-Columbic efficiency(CE)) analysis of LiFePO4/Li–Sb–Sn full cell with 40 μL electrolyte. The blue dot is CI > 0 and the red is CI < 0. The black line is |CI| = 0.001.
c) SEM image of Li–Sb–Sn electrode after full-cell cycling of 20 cycles.
d, e) SEM images of Li–Sb–Sn after full-cell cycling of 200 cycles.
f) SEM image of Li–Sb–Sn matrix after peeling off the top dense protective layer. There are lots of ∼200 nm sized Sn particles.
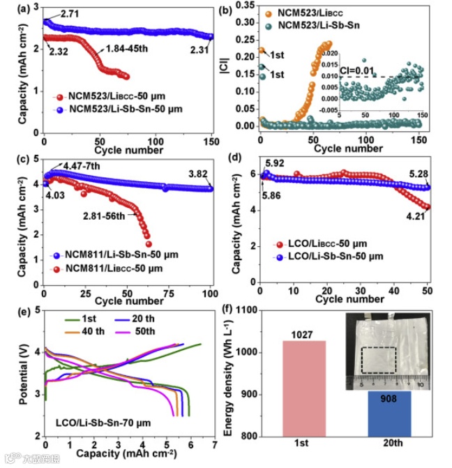
a) Cycle performance of NCM523/Li–Sb–Sn (the blue) and NCM523/LiBCC (the red).
b) Columbic inefficiency (CI) analysis of NCM523/Li–Sb–Sn (the olive) and NCM523/LiBCC (the orange).
c) Cycle performance of NCM811/Li–Sb–Sn (the blue) and NCM811/LiBCC (the red).
d) Cycle performance of LCO/Li–Sb–Sn (the blue) full cell and LCO/LiBCC cell (the red).
e) Potential-Capacity profiles of LCO/Li–Sb–Sn full cell.
f) Volumetric energy density of LCO/Li–Sb–Sn pouch cell. And the inset is the digital photo of pouch cell (2.5 cm × 2.8 cm).
文章链接
https://www.sciencedirect.com/science/article/abs/pii/S2211285520303724#!
老师简介
版权声明
1) 本文仅代表原作者观点,不代表本平台立场,请批判性阅读。
2) 本文内容若存在版权问题,请联系我们及时处理。
3) 如作者对该文章有误解误读,请联系我们进行修改,欢迎各位老师进行批评指正。
4) 本文版权归科学材料站公众号所有,翻版必究。
投稿请联系contact@scimaterials.cn

