
Version of record online: 20 April 2020
武汉理工大学
表面工程技术可以解决在转化/合金化反应中体积变化大以及易粉化的循环不稳定问题。然而,由于结构的不稳定性,大多数表面涂层在电化学循环中仍然是脆弱及不稳定的。本文提出了一种简便的低温熔化方法,在各种氧化物电极材料上制备出均匀的超薄金属有机骨架(MOF)壳。然后采用梯度热处理工艺,形成均匀超薄的N掺杂碳(NC)壳。这项工作为碳基纳米结构的设计和构建提供了一种新的途径,在能源领域具有巨大的应用潜力。
【背景简介】
1.转化/合金化电极材料的挑战
表面工程,即在电极材料表面涂覆一薄层保护材料,已成为改善锂离子电池电化学性能的一种有效方法。这种表面涂层具有许多潜在的优点,如提高了导电性和离子导电性,改善材料的完整性和可控的SEI形成等。其中一个潜在的应用是开发高转化和合金化反应型电极材料,以构建高容量和稳定循环的锂离子电池。由于循环过程中体积变化大,转化/合金化反应电极容易粉碎,导致容量迅速损失。
在任何转化/合金化反应电极工业化应用之前,都需要一个坚固可靠的材料支持。表面涂层通常很薄,具有高度无序的非晶结构,机械稳定性很低,因此在电化学循环中不稳定。为了能够使用基于转化/合金化反应的材料,必须大幅度增加附加材料和保护材料(如碳、Al2O3等)的数量。但这将导致容量和结构复杂性降低,从而在循环过程中可能会出现问题。目前仍然缺乏可靠的,薄表面涂层以及能够根据转化/合金化反应有效地修饰电极材料。
2.MOFs材料及其挑战
MOFs是一类新型的多孔晶体材料,由金属离子和有机连接物通过配位键形成。MOFs具有孔隙率高、比表面积大、结构多样等特点,具有广阔的应用前景。近年来,许多研究工作集中在研究MOF作为MOF衍生碳基金属氧化物复合材料制备的前驱体或模板。
尽管这些MOF衍生和碳基金属氧化物材料取得了进展,它们的形态特征和化学成分相对单一,且高度依赖于本征MOF晶体。为了进一步赋予MOF衍生材料以新的功能,人们已经做出了巨大的努力来开发有效的策略,以构建MOF与其他功能材料的复合材料。其中,以功能性纳米材料为核、MOF为壳的核壳结构引起了广泛的关注。至今,传统的MOF涂层复合材料的制备方法都是在溶液中进行的,其中包括有机连接剂和核心材料表面金属离子的结合。例如,Long等人。利用金属酚醛网络薄膜桥接ZIF-8和核材料,在甲醇溶液中构建核壳复合材料。
尽管取得了很大进展,但这些合成方法都需要表面改性,涉及大量的溶剂和许多耗时的步骤,如产品的分离和表面功能化。同时,要精确控制核材料与MOF层之间的界面反应,从而形成均匀的MOF壳仍然是一个难题。因此,为了开发一种简便、高产率、无溶剂和通用的方法来实现在大多数金属前驱体上,特别是在键合能较高的金属前驱体上,均匀的MOF涂层是能源应用的一个紧迫而不可避免的挑战。

图1. 锂化前后对比
【文章介绍】
近日,武汉理工大学麦立强教授,吴劲松教授和李琪副教授等人在国际知名期刊Nano Energy (2018 IF: 15.548)上发表题为“Stabilizing conversion reaction electrodes by MOF derived N doped carbon shell for highly reversible lithium storage”的研究文章。Fang Liu为本文第一作者。
作者采用梯度热处理工艺,开发了一种简便的低温熔融法,制备了均匀超薄的MOF壳源氮掺杂碳约束Zn2SiO4纳米线(Zn2SiO4@NC)。合成方法包括两个步骤:1)固液反应在Zn2SiO4纳米线表面定向生长均匀超薄的MOF壳;2)通过碳化由MOF壳向碳壳转变。
由于液态熔融有机配体的存在,该工艺不仅不含溶剂,而且反应动力学快速。该合成方法适用于Zn2TiO4和ZnWO4等三元锌基氧化物,作为锂离子电池(LIB)负极材料,Zn2SiO4@NC纳米线具有比纯Zn2SiO4纳米线更好的循环稳定性和速率性能。通过原位透射电子显微镜(TEM)证实了Zn2SiO4在锂化过程中发生了转化和合金化反应,Zn2SiO4@NC纳米线具有比纯Zn2SiO4纳米线更小的自由基膨胀系数和更快的反应动力学。

图2.(a)Zn2SiO4 @ NC纳米线的形成过程示意图。Zn2SiO4纳米线,Zn2SiO4 @ ZIF-8纳米线,Zn2SiO4 @ NC纳米线的TEM图像(b–d)和XRD图(e–g)

图3. Zn2SiO4 @ ZIF-8纳米线的SEM图像(a)和TEM图像(b,c)。(d)Zn2SiO4 @ ZIF-8,ZIF-8和Zn2SiO4的FTIR光谱。(e,f)Zn2SiO4 @ ZIF和Zn2SiO4的BET和BJH曲线。

图4. Zn2SiO4 @ NC纳米线的表征。(a)SEM图像。(b–e)TEM图像。(f)SAED模式。(g–l)TEM图像和相应的元素映射。

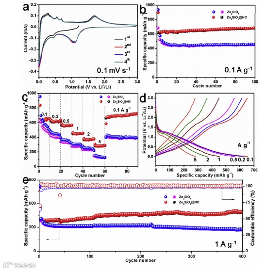
图5. Zn2SiO4纳米线和Zn2SiO4 @ NC纳米线的锂存储性能。(a)Zn2SiO4 @ NC纳米线的前四个CV曲线,电势范围为0.01至3.0 V,扫描速率为0.1 mV s-1。(b)在电流密度为0.1 A g-1时的循环性能。(c)在0.1至5 A g-1的各种电流密度下的速率性能。(d)不同电流密度下Zn2SiO4 @ NC纳米线的相应充电和放电电压曲线。(e)在1 A g-1的高电流密度下的长期循环性能。

图6. Zn2SiO4和Zn2SiO4 @ NC纳米线的形貌和微观结构演变。在TEM内部设计了一种纳米电池,以Zn2SiO4 / Zn2SiO4 @ NC为阴极,锂金属为阳极,并在锂金属表面上生长的Li2O作为固体电解质。当施加-10 V的偏压时,触发锂化过程。(a–d)Zn2SiO4的动态电子衍射图。(e–h)锂化反应过程中Zn2SiO4纳米线的形态演变。(i–l)锂化反应过程中Zn2SiO4 @ NC纳米线的形态演变。

文章链接
老师介绍:
麦立强 教授
现任国际刊物Science Letters资深主编,Wiley出版集团旗下Adv. Electronic Mater.国际编委,Adv. Mater.客座编辑,国际期刊Nano Research以及Science China Materials编委,Acc. Chem. Res.、Joule国际编委,《功能材料》编委,中国材料研究学会纳米材料与器件分会理事,Nature Commun.、Chem. Rev.、PNAS、Adv. Mater.、J. Am. Chem. Soc.、Nano Lett.等期刊审稿人或仲裁审稿人。主持国家杰出青年科学基金、国家重大科学研究计划课题、国家国际科技合作专项、国家自然科学基金重点项目等30余项。
吴劲松 教授
材料复合新技术国家重点实验室;纳微结构研究中心教授。主要研究方向为运用电子显微学办法,在原子尺度上观察和研究新功能材料的结构及其对性能的影响。
版权声明:
1) 本文仅代表原作者观点,不代表本平台立场,请批判性阅读。
2) 本文内容若存在版权问题,请联系我们及时处理。
3) 如作者对该文章有误解误读,请联系我们进行修改,欢迎各位老师进行批评指正。
4) 本文版权归科学材料站公众号所有,翻版必究。


