点击科学材料站,关注我们
具有-OH和-COOH基团的序列定义的类肽作为粘合剂,可减少锂离子电池硅纳米颗粒的破裂
第一作者:张千玉
通讯作者:张久俊,陈春龙,王严杰
单位:上海大学,美国西北太平洋国家实验室/美国华盛顿大学,东莞理工学院
研究背景
作为LIB负极材料,Si在电池充放电过程中反复进行锂的插入/抽出过程中,经常会发生体积变化大(300%)的情况,从而导致严重的颗粒粉碎,电接触损耗,固体电解质中间相的不可控制的增长(SEI),并随后导致电池性能下降。为了解决这些问题,已开发出各种天然和合成聚合物作为粘合剂,以延长硅负极的循环寿命。
与天然聚合物粘合剂相比,合成聚合物粘合剂具有一些优势,例如结构优化的设计和功能调整的能力,以实现高性能的硅电极。所获得的导电和自修复的聚合物粘合剂可以增强硅电极的机械强度和电完整性。
硅树脂(Si)是一种具有极高理论容量的负极材料。但是,与重复的锂化和去锂化过程相关的严重体积变化会妨碍Si负极的机械/电气完整性,因此会缩短电池的循环寿命。
文章简介
近日,上海大学张久俊院士、美国西北太平洋国家实验室/华盛顿大学陈春龙教授等在国际顶级期刊Advanced Science (影响因子:15.840) 上发表题为“Sequence‐Defined Peptoids with -OH and -COOH Groups As Binders to Reduce Cracks of Si Nanoparticles of Lithium‐Ion Batteries”的研究工作。
该工作为了解决这个问题,设计和制造了序列定义的类肽,其具有两个定制的官能团“ -OH”和“ -COOH”,作为LIB硅负极的可交联聚合物粘合剂。实验结果表明,由于减少了Si纳米颗粒的裂纹,这种类肽结合的Si负极的容量和稳定性都可以得到显着提高。
尤其是,与文献中其他已报道的粘合剂相比,硅负极中的15-mer类肽粘合剂在1.0 A g-1的强度下经过500次循环后可产生更高的可逆容量(约3110 mAh g-1)。
根据密度泛函理论(DFT)计算,拟肽侧链上存在的官能团有助于形成Si-O结合效率和坚固性,然后保持Si负极的完整性。序列设计的聚合物可以作为了解粘合剂和硅负极材料之间相互作用的新平台,并促进高性能电池的实现。
要点解析
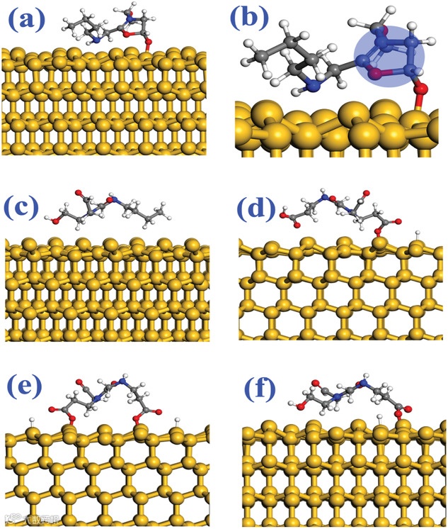
图1. Si-(111)表面上三个分子的吸附构型
图2.
图3. 分别在循环前使用A)CMC,B)P1和C)P2作为粘合剂的纳米Si负极的横截面SEM图像
结论
在这项工作中,成功设计和制造了序列定义的类肽作为具有两个经过定制和优化的官能团“-OH”和“-COOH”的可交联聚合物粘合剂,并将其用作锂离子电池(LIB)硅基负极的粘合剂。SEM图像证明在类肽中-OH和-COOH基团的存在可以有效地减少LIB的充电/放电过程中Si纳米颗粒的裂纹。这是因为这种类肽(P1)可以通过-OH和-COOH基团的优化设计牢固地锚定在纳米Si表面上。
XRD和XPS结果表明,与CMC和P2相比,基于P1的Si负极经过长期循环后没有明显的裂纹,这表明P1可以为Si负极提供更好的结构和化学稳定性。根据电化学测量,结合P1的Si负极在1.0 A g-1的电流密度下,在500个循环中可提供3110 mAh g-1的最高可逆容量,表明使用P1-作为粘合剂可以诱导改善稳定性,保持Si纳米颗粒的完整性,并增强电化学性能。
为了基本理解,进行了密度泛函理论(DFT)计算,结果表明,当使用精确控制的数量和间距的OH基团来编程拟肽时,这些官能团在类肽的侧链不仅可以促进Si O结合效率和牢固性的形成,而且可以保持Si负极的完整性,从而导致聚合物与Si之间的活性相互作用增强,从而增强电化学性能。这项工作应为开发用于LIBs中高容量Si电极的更有效的聚合物粘合剂提供有效而简便的指导原则。
投稿请联系contact@scimaterials.cn
点击“在看”分享你的观点![]()

