点击科学材料站,关注我们
研究背景
文章简介
要点解析
图1. 基于接触起电和静电击穿原理的自驱动运动矢量传感器
图1示例了自驱动运动矢量传感器的结构和工作原理。
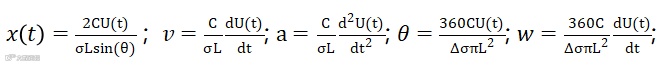
图2.平动矢量传感器的性能
图2展示了平动矢量传感器的性能。
图3.转动矢量传感器(R-TVS)
图3显示了转动矢量传感器在监测机器人关节运动方面的应用。R-TVS由转子和定子两部分组成,具体结构如图3B。
图4.自驱动方向传感器(T-TVS)
T-TVS可根据LED灯的指示判断运动的方向,不仅可指示东、南、西、北四个单一的方向,还可以指示东南、西北、东北和西南方向。指示灯在黑暗中还可用于照明,既提供了方向指示,还提供了照明功能。
图5. 自驱动智能轨迹识别系统
图5.展示了基于T-TVS结构的自驱动智能识别系统
结论
投稿请联系contact@scimaterials.cn
点击“在看”分享你的观点![]()

