有机电极材料具有高性能、低成本、可持续、安全、环保的潜在优势,越来越受到电池研究者的青睐。其中,共轭羰基材料由于性能优秀、原料易得、结构多样,而被广泛应用于Li、Na、K、Mg、Zn等二次电池体系中。
然而在电池循环过程中,羰基小分子材料不可避免地在有机电解液中发生溶解,导致容量迅速衰减,循环寿命距离实际应用相差甚远。以往主要的解决策略包括三种:
2) 采用高级碳材料(多孔碳、碳纳米管、石墨烯等)进行复合以锚定小分子;
3) 采用离子选择性隔膜(LISICON、Nafion等)阻挡溶解组分的穿梭。
虽然这些方法可以不同程度地改善循环稳定性,但也同时带来诸如合成复杂、操作繁琐,成本高昂、牺牲能量密度等一系列缺点。溶解行为是有机电极材料和电解液的相互作用,但过去的研究往往忽视了电解液对电极材料溶解性和电化学性能重要甚至决定性的影响。
当前对于有机电极材料容量衰减的原因,往往简单地归咎于溶解问题,但对于具体的溶解性以及充放电过程中电极与电解液之间的作用机理了解甚少,需要进一步系统深入的研究。
近日,武汉大学宋智平课题组在国际知名期刊Energy Storage Materials (2019 IF=16.28)上发表题为“Stable cycling of small molecular organic electrode materials enabled by high concentration electrolytes”的研究工作。
该工作将“高浓度电解液”的简单策略应用于两种常见的小分子有机电极材料(SMOEMs)——萘四甲酸二酐(NTCDA)和苝四甲酸二酐(PTCDA), 显著改善了它们的循环稳定性。尤其是,PTCDA在3 M LiTFSI/DOL+DME电解液中实现了147 mAh g-1的可逆比容量,循环1000周后87%的容量保持率,以及99.99%的平均库伦效率,创造了SMOEMs循环性能的最好记录之一。
通过NTCDA和PTCDA在不同浓度LiTFSI/DOL+DME电解液(1,2,3和 4 M)中的对比研究,结论指出活性材料自身的晶体结构稳定性以及合适的电解液对于实现稳定循环都缺一不可。
基于各种非现场表征结果,作者发现了小分子有机电极的“溶解—再沉积”现象,并以NTCDA和PTCDA为代表建立了电极结构演变模型。该工作增强了研究者对SMOEMs循环稳定性的信心,加深了对溶解问题和容量衰减机理的理解,对于促进有机电极材料的实际应用具有重要意义。
要点一:高浓度醚类电解液显著改善NTCDA和PTCDA的循环稳定性
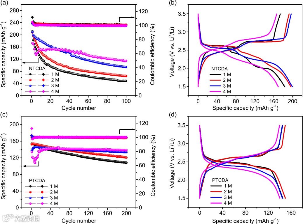
(a,b) NTCDA和(c,d)PTCDA在不同浓度LiTFSI/DOL+DME电解液(1,2,3和 4 M)中的循环性能和典型充放电曲线(50 mA g-1)。
从图1中可以发现,NTCDA和PTCDA的可逆比容量都接近理论值(200和137 mAh g-1),循环稳定性随着电解液浓度的提高发生显著改善。同时,电解液离子电导率的降低(从12.8到 0.2 mS cm-1)和粘度的增大(从2.4到77.0 cP)使两者的充放电曲线表现出一定的电压极化。
值得注意的是,在4 M电解液中,前面数周容量的快速衰减难以用活性物质的溶解来解释,更可能是由于活性材料晶体颗粒的粉化以及与集流体的脱离造成电子传导变差导致。其后容量的逐渐恢复可能是因为不断积累的微量溶解组分作为氧化还原媒介反而促进了反应动力学。
(a–c)NTCDA和(d–f)PTCDA的晶体结构和电化学反应机理。
图1显示,在相同电解液中,NTCDA的循环稳定性明显差于PTCDA,且无法通过仅提高电解液浓度的方式达到可接受的水平。对比图2中NTCDA和PTCDA的晶体结构可以发现, NTCDA分子呈人字形排列,PTCDA分子呈层状排列,后者的层间距(3.34 nm)小于前者(3.51 nm)。
这表明PTCDA分子由于具有更大的共轭稠环形成了更加稳定的晶体结构,是其获得理想循环性能的关键因素之一。
要点三:PTCDA在3 M电解液中的倍率性能和长循环性能
(b)3 M电解液中不同电流密度下的充放电曲线和(c)1 M和3 M电解液中的长循环性能(100 mA g-1)。
图1c,d和图3a显示,PTCDA在3 M和4 M电解液中的循环性能接近,但在4 M电解液中反应动力学非常迟缓。因此选择3 M作为最佳浓度与1 M电解液对比PTCDA在其中的长循环稳定性。
结果表明,在100 mA g-1电流密度下循环1000周后,PTCDA在1 M电解液中的容量保持率仅为27%,但在3 M电解液中达到87%,平均库伦效率更是高达99.99%。这是迄今为止对于SMOEMs而言最好的循环性能之一。
要点四:NTCDA和PTCDA电极在不同浓度电解液中溶解性的半定量分析
(a)充电态和放电态的NTCDA和PTCDA电极在不同浓度LiTFSI/DOL+DME电解液(1,2,3和 4 M)中静置不同时间(0.5,2,8和96 h)后的照片。
(b–e)96 h后浸泡液的紫外-可见吸收光谱(以对应浓度的空白电解液为参比,b图中浸泡液由于超出吸光度量程而被稀释10倍)。
图4a显示,所有充电态NTCDA和PTCDA的浸泡液均为无色,放电态NTCDA和PTCDA随着电解液浓度的增大显示蓝–绿和紫–橙的颜色变化,逐渐变浅直至在4 M电解液中完全无色。
图b显示,充电态NTCDA在可见光区无吸收,但在紫外区有明显吸收,说明虽然其浸泡液显示无色,但实际在包括4 M在内的所有电解液中都发生了溶解。
而充电态PTCDA的光谱(图d)显示其完全没有发生溶解。放电态NTCDA和PTCDA(图c,e)在紫外和可见光区均有吸收,并随着电解液浓度的增大而吸光度降低,直至在4 M电解液中接近于零。根据吸收峰强度粗略估算,相比1 M电解液,3 M电解液可以将放电态NTCDA和PTCDA的溶解度分别降低为原来的1/2和1/9,进一步验证了高浓度电解液对SMOEMs的溶解抑制作用。
要点五:NTCDA和PTCDA电极在充放电过程中的形貌变化
(a–f)NTCDA和(g–l)PTCDA粉末和不同循环周数下充电态电极的SEM图:
(b,h)初始电极;在1 M电解液中循环1周(c,i)和100周(d,j)后的电极;在3 M电解液中循环1周(e,k)和100周(f,l)后的电极。
图5显示,在1 M电解液中经过1周循环后,NTCDA和PTCDA电极的表面形成了规则的棒状晶体,与初始电极的不规则块状颗粒完全不同,说明二者都发生了“溶解–再沉积”行为。
合理的推测是,由于充电态活性物质的溶解性显著低于放电态,因此在放电过程中溶解的大量活性物质会在充电时再次结晶沉积。
即使在3 M电解液中,NTCDA经过1周循环后也能观察到由于活性物质流失而造成的孔洞,说明溶解现象仍十分严重(与图4表现一致)。
在3 M电解液中,即使循环100周后,PTCDA的电极形貌也没有发生显著变化,与其优异的循环稳定性表现一致。
要点六:小分子有机电极的结构演变模型和对溶解问题的新认识
NTCDA和PTCDA电极在1 M和3 M电解液中的结构演变模型(AM = active material)。
综合电化学性能和各种非现场表征数据,作者在图6中总结了NTCDA和PTCDA电极在1 M和3 M电解液中的结构演变模型,希望对于理解其它SMOEMs的电化学行为具有参考意义。
为了理解这个模型,作者提出了以下几点关于溶解问题的新认识:
1)无论是充电态还是放电态的NTCDA都会溶解,但PTCDA仅在放电态溶解,且溶解度要低得多;
2)溶解降低了活性材料的颗粒大小和结晶度,但溶解的活性物质可能会重新沉积在电极表面和内部;
3)反复的“溶解–再沉积”过程会导致电极中活性物质的流失和无定型化;
4)除了未溶解的部分外,已溶解的和再沉积的活性物质只要能够接触到电子和Li+,仍能贡献放电容量;
5)固态活性材料由于充放电过程中的晶体膨胀–收缩和粉化会导致失去与导电碳的接触,从而丧失电化学活性,但是溶解的活性物质可以作为氧化还原媒介将其重新活化;
6)在循环过程中,溶解的活性物质将在浓度梯度和电场的驱动下向电解液和负极扩散,并沉积或吸附在隔膜和锂金属表面;
7)活性材料自身的晶体结构稳定性和合适的电解质对于实现长期稳定循环都不可或缺,但没有必要要求并且难以实现SMOEMs的完全不溶。
在此工作中,作者仅通过提高电解液浓度的方法就实现了SMOEMs的长期稳定循环。PTCDA在3 M LiTFSI/DOL+DME电解液中循环1000周后仍能保持87%的比容量,以及99.99%的平均库伦效率,创造了SMOEMs循环性能的最好记录之一。对于充电态和放电态的NTCDA和PTCDA在不同浓度电解液(1,2,3和 4 M)中溶解性的系统研究,证明高浓度电解液可以有效地抑制SMOEMs的溶解,从而改善循环性能。基于电化学测试和各种非现场表征手段,作者发现了NTCDA和PTCDA的“溶解–再沉积”现象,并以二者为代表建立了小分子有机电极结构演变模型,提出了关于溶解问题的新认识。作者强调,活性材料固有的晶体结构稳定性以及合适的电解质对于实现长期稳定循环都不可或缺,但无需且难以要求SMOEMs的完全不溶。
Stable cycling of small molecular organic electrode materials enabled by high concentration electrolytes
https://www.sciencedirect.com/science/article/pii/S2405829720302543
蔡涛涛,武汉大学化学与分子科学学院2019级博士研究生
宋智平教授课题组长期专注于有机电极材料及其储能器件的开发,在此领域起步较早并在国内外具有一定的影响力。课题组致力于不断提高有机电极材料的电化学性能(能量密度、循环性能、库伦效率、倍率性能)和实用价值(合成简单、价格低廉),并积极拓展它们在各具特性的新兴二次电池体系(锂/钠/钾/镁/锌电池、固态电池、水系电池、柔性电池)中的应用。课题组至今已发表包括Angew. Chem. Int. Ed.和Energy Environ. Sci.在内的SCI论文30余篇,其中ESI高被引论文6篇,他引共2000余次。
课题组网址:http://zpsong.whu.edu.cn/
说明
🔹本文内容若存在版权问题,请联系我们及时处理。
🔹欢迎广大读者对本文进行转发宣传。
🔹《科学材料站》会不断提升自身水平,为读者分享更加优质的材料咨询,欢迎关注我们。
投稿请联系contact@scimaterials.cn
点击“在看”分享你的观点