点击科学材料站,关注我们
第一作者:董玥
通讯作者:张苏,宋怀河
单位:北京化工大学,新疆大学
导读
近日,北京化工大学的宋怀河教授和新疆大学的张苏副教授等人在国际期刊Energy Storage Materials上发表题为“Modulating the Defects of Graphene Blocks by Ball-Milling for Ultrahigh Gravimetric and Volumetric Performance and Fast Sodium Storage”的文章,文章第一作者为北京化工大学董玥博士。本文提出了一种简单的球磨方法能够同时提高石墨烯的本征缺陷含量和堆积密度,进而提高材料的储钠质量和体积比容量,此外通过测试和计算,证明了本征缺陷结构的高储钠活性及其电容储钠行为。
关键词
致密炭;sp2团簇尺寸;层间距;缺陷结构;电容储钠行为;钠离子电容器
背景简介
1.储钠材料的研发重点
由于钠资源在储量、分布和成本上的优势,电化学储钠有望取代锂离子电池成为下一代储能系统。炭材料得益于其稳定的物理化学性质和良好的电化学性能,是理想的储钠负极材料之一。随着储能器件高能量和功率密度、轻量化、小型化的发展趋势,研发兼具高质量和高体积容量以及快速稳定储能性能的致密炭材料尤为关键。
2. 目前储钠碳材料的优势和存在的问题
石墨在醚类电解液中表现出较高的首次库伦效率以及良好的倍率和循环性能,此外石墨的高密度(1.5 g cm-3)还赋予其优异的体积性能。然而石墨依靠钠离子与溶剂的共插层过程储钠,活性位点数量有限,导致储钠容量较低,不能满足应用需求。为此研究者们设计了各种结构和性质的炭材料,并根据储钠机理将其分为扩散主导的块体炭材料(例如硬炭)和电容主导的纳米炭材料(例如炭纳米片)两大类。多数块体炭材料具有密度大、体积容量高的优势,但是缓慢的钠离子传输动力学以及无定形结构,导致块体炭材料的倍率性能不佳;纳米炭材料具有大的暴露比表面和丰富的离子传输通道,循环和倍率性能优异,但是纳米炭材料普遍存在密度低、体积性能差的问题。因此,研发兼具高质量容量、高体积容量、高倍率性能的储钠炭材料仍然存在很大挑战。
3. 高性能储钠碳材料研发的困难和挑战
核心内容
图1. 材料的形貌和结构对比:EG的(a)SEM,(b)TEM和(c)HRTEM照片;DGB的(d)SEM,(e)TEM和(f)HRTEM照片;(g)缺陷密度和sp2团簇尺寸随球磨时间的变化趋势;(h)EG和DGB的ESR谱图;(i)EG,DGB和石墨的XRD谱图。
图2. 材料的储钠性能研究:EG,DGB和石墨的(a)CV曲线和(b)恒流充放电曲线;(c)DGB在不同扫速下的CV曲线;(d)EG,DGB和石墨的倍率性能;(e)DGB与其他炭材料倍率性能对比图;(f)EG,DGB和石墨的阻抗谱图;(g)DGB循环性能测试;(h)DGB与各类炭材料综合性能对比图。
图3. 储钠行为和机理的研究:(a)石墨和(b)DGB在10 mV s-1扫速下的电容贡献比例;(c)电容贡献比随扫速的变化趋势;(d)b值随球磨时间的变化趋势;(e)完美石墨烯(左),S-W缺陷(中),单空位(右)结构的储钠模型。
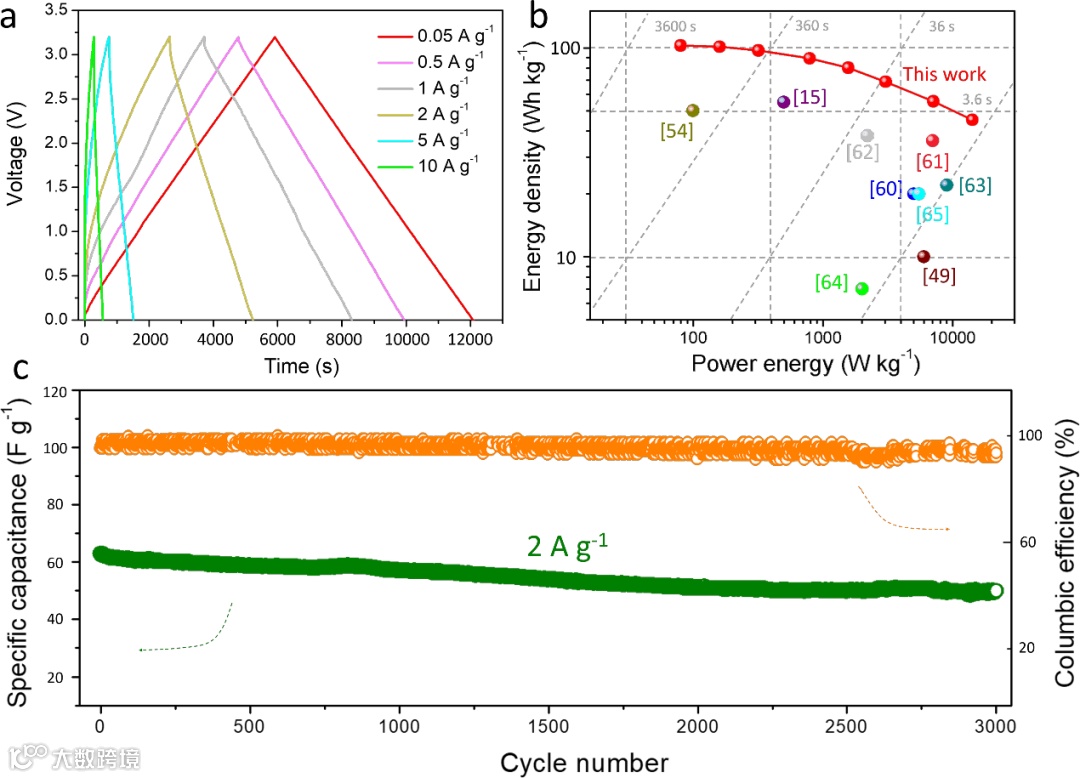
图4. 钠离子电容器的性能:(a)不同电流密度下的充放电曲线;(b)其他文献报道的锂/钠离子电容器能量和功率密度对比图;(c)循环性能测试。
文章链接:
Modulating the Defects of Graphene Blocks by Ball-Milling for Ultrahigh Gravimetric and Volumetric Performance and Fast Sodium Storage, Energy Storage Mater., 2020, DOI: 10.1016/j.ensm.2020.05.016.
投稿请联系contact@scimaterials.cn

