通讯作者:曾杰* 张文华* 耿志刚*
单位:合肥微尺度物质科学国家研究中心
文末附曾杰教授课题组宣传和招聘信息
考虑到氨(NH3)在化肥工业中的广泛应用,它在我们的日常生活中起着举足轻重的作用。已经进行了许多努力来实现氨的高效人工合成。
近日,合肥微尺度物质科学国家研究中心曾杰教授、张文华副教授、和耿志刚副教授在国际顶级期刊Angew. Chem.上发表题为“Fe Single Atom on MoS2 Nanosheets for N2 Electroreduction into Ammonia”的研究工作。
在本文,作者报道了一种新型的Fe-MoS2催化剂,通过模拟天然固氮酶 将Fe原子分散在MoS2纳米片上在室温下促进N2电还原为NH3。Fe-MoS2纳米片的在-0.3 V (vs. RHE)时法拉第效率为18.8%,NH3的产率为8.63 μgNH3 mgcat.-1 h-1。
机理研究表明,通过用原子分散的Fe修饰MoS2中S的边缘位置,可以促进N2的电还原,并抑制竞争的析氢反应,从而使N2的电还原具有高的催化性能。这项工作将为N2电还原催化剂的设计提供新思路,并加深我们对于Mo基的催化剂上N2活化的理解。
该文章共同第一作者为Hongyang Su, Lanlan Chen, Yizhen Chen,曾杰教授、张文华副教授、和耿志刚副教授为本文共同通讯作者。
(c) Fe-MoS2纳米片的HAADF-STEM和STEM-EDX元素映射图。(c) 中HAADF-STEM图像中的比例尺代表10 nm。
(d) Fe-MoS2和MoS2纳米片的S 2p和(e) Fe 2p3/2 XPS(X射线光电子能谱)图。
(f) Fe-MoS2纳米片、Fe2O3和Fe箔的Fe-K边XANES(X射线吸收近边谱)图。
在不同外加电位下的Fe-MoS2和MoS2纳米片的(a) jNH3 (有效电流密度)
(b) FE(NH3法拉第效率)和(c) NH3产率。
(d) Fe-MoS2纳米片在-0.3 V vs RHE电位下六轮连续反应的FENH3(NH3法拉第效率)。
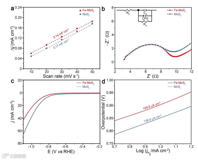
Fe-MoS2纳米片和MoS2纳米片催化剂的(a) 双电层电容,(b) 阻抗谱图,(c) Ar饱和电解质中Fe-MoS2和MoS2纳米片的LSV曲线。两条曲线的扫描速率均为10 mV s-1。
(d) Fe-MoS2和MoS2纳米片在Ar饱和电解质中的Tafel图。根据Tafel图中线性区的截距得到了HER的交换电流密度(j0)。
(a)Fe-MoS2上Mo边界的N2电还原流程图,其中数字分别代表(1)distal机理, (2)alternating机理,(3)hybrid机理。(a) 中的数字代表每种构型的Gibbs自由能。
(b) N2电还原三种不同反应机理的Gibbs自由能变化。
(c) Fe-MoS2和MoS2上析氢(HER)过程的Gibbs自由能。
(d) Fe-MoS2和MoS2针对N2电还原和析氢过程的热力学限制电位差异。不同颜色小球分别代表Fe(棕色), Mo(紫色), S(黄色), N(浅蓝色), O(红色), H(浅粉色)。
综上所述,作者通过在MoS2纳米片中引入原子级分散的Fe制备了Fe-MoS2纳米片,实验结果证明它是一种有效的N2电还原催化剂。在-0.3 V vs RHE条件下,Fe-MoS2纳米片的FENH3为18.8%,NH3的产率达到8.63 μgNH3mgcat.-1h-1。
机理研究表明,对于N2电还原过程,Fe-MoS2的PDS能垒为0.37 eV,低于MoS2的0.50 eV,表明Fe的加入有利于Fe-MoS2的N2电还原。
此外,析氢过程在Fe-MoS2上的势垒为0.15 eV,高于MoS2的0.03 eV,说明析氢过程得到了抑制。因此,在MoS2纳米片上引入原子分散的Fe抑制了竞争的HER,从而提高了N2电还原的催化选择性。本研究为合理设计新型高效Mo基催化剂,促进N2电还原,并为抑制其竞争的HER过程提供了指导。
文章链接:
Fe Single Atom on MoS2 Nanosheets for N2 Electroreduction into Ammonia
https://onlinelibrary.wiley.com/doi/10.1002/anie.202009217
曾杰教授分别于2002年、2008年于中国科学技术大学获学士、博士学位;2008至2011年于美国圣路易斯华盛顿大学从事博士后研究;2011至2012年于美国圣路易斯华盛顿大学任研究助理教授;2012年至今于中国科学技术大学合肥微尺度物质科学国家研究中心任教授、博士生导师。迄今为止,曾杰已在Nature Nanotechnol.、Nature Energy、Nature Commun.等高影响力学术期刊发表了117篇论文,总被引用7900余次。20篇论文单篇被引文过百次,H因子为45。曾杰教授已在Nature Nanotechnol. (2篇),Nature Energy (1篇),Chem (1篇),Nature Commun. (8篇),Chem. Rev. (1篇),JACS (11篇),Angew. Chem. Int. Ed. (18篇),Nano Lett. (18篇),Adv. Mater. (9篇) 等高影响力学术期刊发表了150篇论文,h-Index为53,被SCI引用10000余次。出版书籍三部,申请美国专利4项,申请中国专利40项。部分研究成果被Nature Mater. 杂志、Angew. Chem. Int. Ed. 杂志、C&EN News、Materials Views 等国际科学媒体广泛报道,并多次被CCTV、《人民日报》、《人民日报(海外版)》、《光明日报》、《科技日报》等多家国内主流媒体关注。
随着对环境意识的增强和对有限资源认识的加深,为了减少对石油化工能源等不可再生资源的依赖,寻求并开发清洁、廉价、便捷、有效的能源供给和储存方式已经成为能源产业首当其冲的任务。这其中,设计和制备廉价且高效的催化剂不论是在能源领域的科学研究还是在产业化进程中都至关重要。本课题组旨在研究选择性高效转化碳基小分子(如CO、CO2和CH4)制备液体燃料和高附加值化工品。本课题组从材料和机理两个方面开展研究工作。
-
在原子尺度精准设计催化剂表界面活性位点,并调控其配位原子结构和电子结构。该方面工作涉及:构筑单原子、金属间化合物等具有特定原子和组分分布的催化剂;通过配位环境和表面应力调控强关联体系催化剂的能级劈裂、轨道杂化、自旋简并、自旋-轨道耦合等电子结构。
-
在原子分子尺度探索碳基小分子活化转化过程中的关键过程和调控机制。主要关注催化反应过程中的活性相转变、催化反应路径、表面重构、反应物和中间产物的吸附过程、产物的脱附过程、溢流、表面等离激元共振等。该方面工作涉及在原位反应条件下对催化剂表界面和反应中间体进行高时空分辨和高灵敏表征,以及催化反应的理论模拟和动力学研究。
详情请见课题组主页:http://catalysis.ustc.edu.cn/
具有博士学位,在碳一催化、工业催化等领域有扎实的研究基础。应聘特任研究员原则上应具有两年或以上的博士后经历。
积极帮助出站博士后联系申请高等院校及研究所的工作,或推荐国际一流著名院校进一步深造。博士后期间工作成绩特别突出者,将破格留校晋升。帮助特任研究员晋任副教授或特任教授。
地址:安徽省合肥市金寨路96号中国科学技术大学东区微尺度理化大楼16-005室
邮编:230026
说明
🔹本文内容若存在版权问题,请联系我们及时处理。
🔹欢迎广大读者对本文进行转发宣传。
🔹《科学材料站》会不断提升自身水平,为读者分享更加优质的材料咨询,欢迎关注我们。
投稿请联系contact@scimaterials.cn
点击“在看”分享你的观点