点击科学材料站,关注我们
添加具有较弱互溶能力、较高LUMO能级的第三组分获得高效三元有机太阳能电池
作者:马睿杰1,刘焘1*,罗正辉1,高珂*,陈凯,张光烨*,高威,肖轶群,刘子麒,凡群平,陈于中,马力权*,孙会靓,蔡贵龙,杨涛,路新慧,王二刚,杨楚罗,任广禹,颜河*
单位:香港科技大学,华盛顿大学,西安交通大学,易柔光伏有限公司,香港城市大学,香港中文大学,查姆斯理工大学,武汉大学,阿威罗大学
背景简介
文章介绍
近日,香港科技大学颜河教授课题组联合其他课题组在国际顶级期刊ACS Energy Letters (影响因子:19.003) 上发表题为“Adding a third component with reduced miscibility and higher LUMO level enables efficient ternary organic solar cells”的研究工作。
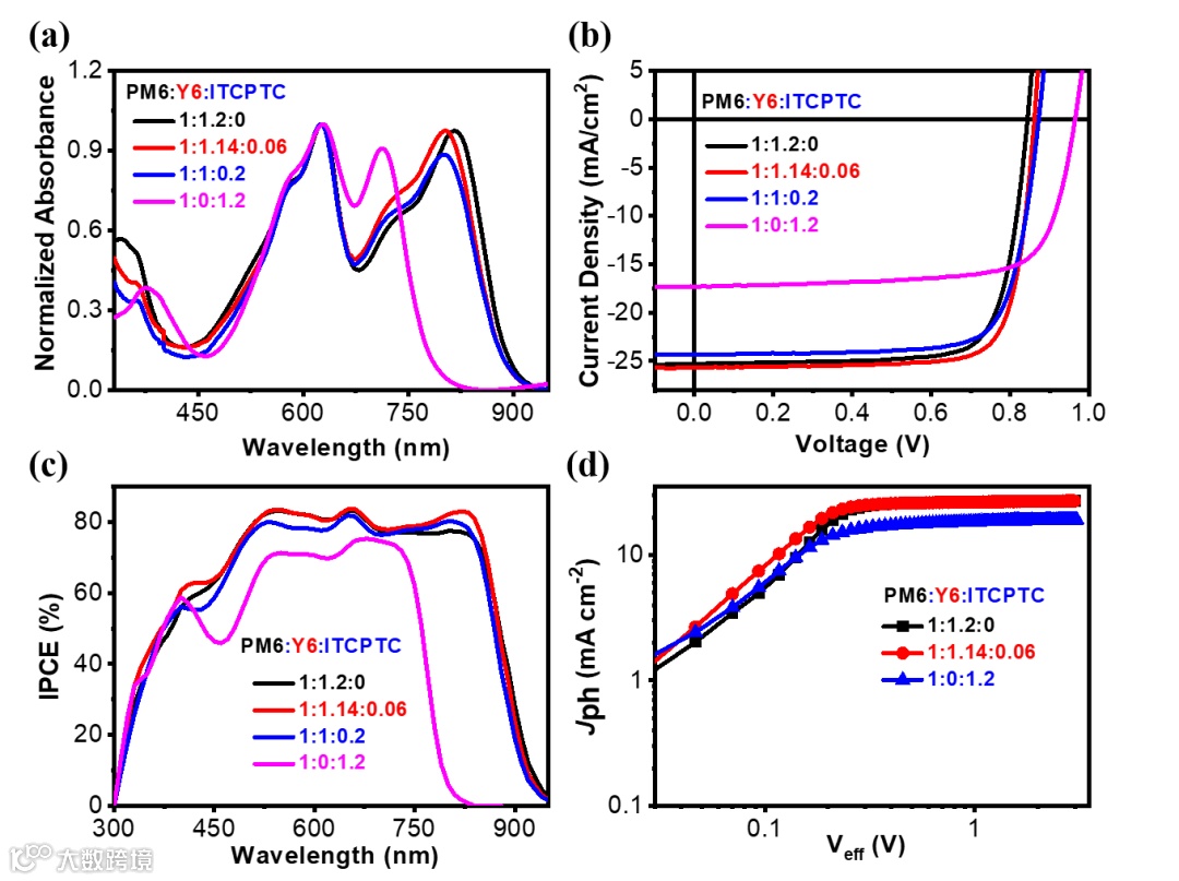
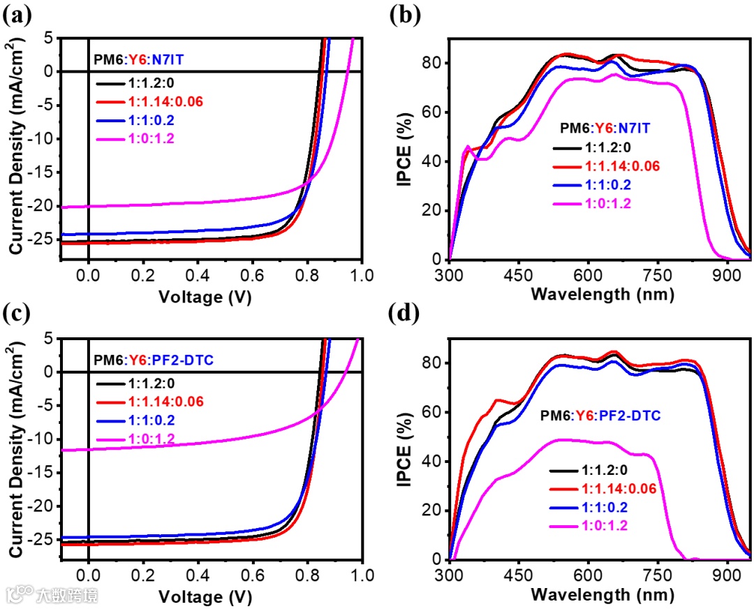
该工作通过向PM6:Y6二元体系中引入具有更高LUMO能级和更低互溶能力的不同种非富勒烯受体材料ITCPTC, N7IT和PF2-DTC,成功通过极少量添加的策略(约5%)取得了相较于二元体系(PCE=16.44%)更高的能量转换效率,其中含ITCPTC的三元体系PCE高达17.42%。
较高的LUMO能级可以提高体系的开路电压(VOC),较低的互溶能力使得材料的纯相尺度适度增大,因而提高了体系的短路电流(JSC)和填充因子(FF)。含N7IT和PF2-DTC的三元体系,也分别取得了不同程度的效率提高,16.96%和17.04%。该工作为制备高效有机太阳能电池提供了一个可能广泛适用的思路,对于领域发展具有重大意义。
该文章共同第一作者为香港科技大学博士生马睿杰,刘焘博士和罗正辉博士。香港科技大学颜河教授,刘焘博士,西雅图大学高珂博士和易柔光伏有限公司张光烨博士为文章共同通讯作者。
要点解析
图1.
图2.
图3.
|
|
|
|
|
|
|
|
|
|
|
|
|
|
|
|
|
|
|
|
|
|
|
|
|
|
|
|
|
|
通过测试薄膜表面的水接触角和乙二醇接触角,从而估算出材料的表面张力,最后得出材料之间的相互作用系数。PM6与Y6之间的相互作用系数最低,意味着二者互溶性极好,而ITCPTC与PM6之间的互溶性就明显较差,通过少量加入ITCPTC,给体材料PM6与受体之间的互溶性被削弱,导致相分离尺度适当增大,有利于减少薄膜中的激子复合,提高了期间的短路电流和填充因子。
图4.
结论
投稿请联系contact@scimaterials.cn
点击“在看”分享你的观点![]()

