
研究背景
坐拥极高的理论比容量(3860 mAh/g)和最低还原电势 (-3.04 V vs. 标准氢电极)两大优势的锂金属负极是下一代高能量密度锂电池的首选负极材料。其中,Li-LMO(锂过渡金属氧化物)电池的能量密度可超过440 Wh/kg。而锂硫电池和锂空电池的能量密度更是达到惊人的650 Wh/kg及950 Wh/kg,傲视群雄。但锂金属电池在锂离子脱嵌过程中会遭受不可控的锂枝晶生长及严重的体积膨胀。这不仅造成了大量的不可逆锂消耗,同时存在极严重的安全隐患,导致锂金属电池在实际应用过程中举步维艰,如履薄冰。通过3D材料搭载锂金属不仅可以使锂金属成核均匀、生长致密,同时还能构筑稳定的Li/电解液界面层,利用材料高比表面积和多孔特性抑制电极材料形变,从而改善锂金属负极各类性能,因此备受关注。然而,如何将3D载体和金属锂有效复合,面临众多技术挑战。通过热灌注的方式将熔融态的锂金属注入各种亲锂基质形成3D复合锂金属负极这种策略近期也备受关注,相较于传统的电沉积,该方法可以使锂沉积更为致密,保证高的体积能量密度和紧密的界面层从而降低界面阻抗,但对于其中的润湿性机理认知并不深刻,仍有较多存疑。
本综述旨在通过对表面张力及拉普拉斯压力的探讨深入研究影响材料润湿性的主要因素。回顾近期具有代表性的3D复合锂金属负极材料的构筑方法,分析其潜在机理,对比热灌注方法的优缺点,总结复合材料面临的挑战。希望能在归纳和展望的基础上为今后的高能锂金属负极研究指引方向。
成果简介
长期以来,锂金属负极备受人们青睐,但锂枝晶及体积膨胀带来的安全隐患不容小觑。以框架材料作为主体,将锂金属以热灌注的方式搭载于其中形成3D复合材料是解决这类问题的一大核心策略。近日,华中农业大学的叶欢副研究员及澳大利亚卧龙岗大学郭再萍教授在Advanced Science上发表了题为“Recent Progress in Designing Stable Composite Lithium Anodes with Improved Wettability”的综述。该综述探讨了熔融锂金属液流在基质中的润湿性机理,并在此基础上总结、提出了各类改善锂金属复合负极润湿性的策略,使其不仅能适用于常规液态电解液,更能在固态电解质中大放异彩,以期为高能锂金属电池指引潜在的研究方向。
图文导读
1.润湿性机理研究
1.1. 表面张力
润湿性是材料表面的重要特性,在热灌注策略制备复合锂金属负极中起着重要的作用。通常认为润湿性主要与决定材料表面能的表面物质成分相关。

图1.表面能及表面张力图示
(a) 表面能的定义;
(b) 温度对表面张力的影响;
(c) 杂原子掺杂对表面张力的影响,黄色球代表杂原子;
(d) 不同角度下的毛细现象示意图。
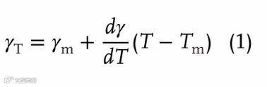
如图1a所示,表面能的定义将为单位面积内的内部粒子移动至表面所需要的能量。由于大多数金属有着稳定的金属-金属键,因此其表面能通常较高。液态金属的高表面张力迫使其在材料表面呈球状,难以在基质中分散。由于表面张力与内部相邻粒子间的相互作用成正比,降低金属键键能便可以提高物质的表面润湿性。大多数金属的原子间距在高温下会扩大,原子间的相互作用减弱,从而促进了粒子由内部向表面的跃迁(图1b)。因此提高温度可以有效地改善熔融锂金属的润湿性。温度与表面张力的关系如表达式1所示:

其中ϒT为温度T下的表面张力,ϒm为熔点下Tm的表面张力。
杂原子掺杂是另一种调控熔融金属润湿性的便捷方法,这是由于杂原子与Li原子之间的键能要小于Li金属键键能,引入痕量的杂原子可以减小内部原子的相互作用从而降低表面张力(图1c)。
1.2. 拉普拉斯压力
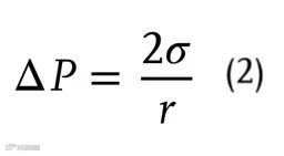
由材料表面微观结构引起的拉普拉斯压力(ΔP)是另一项可以改变熔融锂金属润湿性的驱动力。拉普拉斯压力(ΔP)与毛细作用半径(r)及液态Li的表面张力(s)的关系如表达式2所示:

由该表达式可以看出,半径r越小,拉普拉斯压力越大,因而纳米通道通常会具有更大的毛细压力。
2.常规电解液中的复合锂金属负极
锂金属的润湿性指的是处于熔点下(180.5℃),具有低表面张力的熔融锂液滴在基底上的铺展能力。基于前文提及的机理,提高温度和杂原子掺杂是两种改善锂金属润湿性的有效手段。
2.1. 锂金属液滴的特性

图2. 温度对锂金属润湿性的影响及应用
(a) 温度对锂金属润湿性的影响;
(b) Li-Ni复合负极材料的制备示意图;
(c) Li-Cu@Ni复合负极材料的制备示意图。
Cui及合作者在6种超疏锂的基底(不锈钢、钛、钼、镍、氟化锂和碳箔)上研究不同温度下液态锂金属的润湿性。结果表明,液态锂金属与基底的接触角随着温度的升高而减小。如图2a所示,在215℃下,6种基底的疏锂性相近,其接触角均大于120°。随着温度的不断升高,基底将由疏锂性向亲锂性发生转变。Zhang等人在400℃下实现了熔融锂金属向超疏锂镍箔的灌注(图2b)。尽管这类研究为构筑稳定锂金属负极提供了简单高效的制备思路,但锂金属的高反应活性和低闪点的有机溶剂在高温下仍存在不少隐患。

图3. 锂金属掺杂的研究
(a) 在180至300℃区间,周期表中与熔融锂金属形成Li-X反应的吉布斯自由能ΔrG;
(b) 掺入不同比例的Sn形成的Li-Sn合金在Al基底上的润湿性研究;
(c) 将LixM包覆于石墨烯片层形成三明治集流体结构的示意图。
此外,基于形成Li-X(X表示杂原子)混合物的合金策略也有着诸多进展。从热力学角度出发,能否自发形成Li-X合金可通过反应吉布斯自由能ΔG的正负进行判断(图3a)。表中ΔrG为负值对应的元素更倾向与Li形成合金,从而提高熔融锂金属的润湿性。Hu及合作者研究了不同掺杂浓度的Li-Sn合金的润湿性,如图3b所示,随着Sn掺杂量的提高,Li-Sn合金在Al基底上的铺展性随之提升。然而通过掺杂手段改善锂金属润湿性也有着不少弊端,为了提高润湿性通常需要引入较多的掺杂剂,这会使得锂金属电池的能量密度大打折扣。因此探索廉价元素的痕量掺杂是接下来研究的重点,如何权衡掺杂带来的润湿性提升与能量密度损失也是研究人员面临的一大挑战。
2.2. 基底特性
2.2.1 表面微/纳米结构
调控集流体的表面微/纳米结构同样是提高锂金属润湿性的有效措施。微/纳米通道可以提供充足的毛细压力驱使液体由底部转移至顶部。因而有着垂直微/纳米通道或裂缝构造的集流体是熔融锂金属的良好载体。

图4. 以碳纤维材料作为基底搭载锂金属
(a) 将Li/Na注入具有纳米裂痕构造的碳支架的过程示意图;
(b) 在含有大量金属纳米颗粒的碳纤维上灌注锂金属的过程示意图;
(c) 利用Li和rGO制备层状Li-rGO复合薄膜的示意图;
(d) 手风琴状的氧化石墨烯阵列(rAGA)-Li与Li箔的稳定性、安全性及防水性对比;
(e) Li/Na–Ti3C2TX–rGO复合负极材料的制备及对应的润湿过程。
碳纤维由于具有高比表面积,高机械强度,质轻及自支撑等特性,是极具前景的储能器件材料。但常规的碳纤维材料与Li的亲和性极差,无法直接作为载体与Li进行复合。Lee等人在500℃下制备出具有众多纳米裂痕结构的碳纤维材料,大量纳米裂缝带来的巨大毛细力使得熔融锂金属可以快速地进入碳纤维支架中(如图4a)。Cao等人报道了无需支架的多孔Li/Na–Ti3C2TX–rGO薄膜,可在10s内完成熔融锂金属的灌注过程(图4d)。综上,调控载体基质的微观结构被证实是一种改善锂金属润湿性的有效手段,但表面改性的技术通常需要涉及复杂、耗时且昂贵的激光烧蚀、磁控溅射和高温处理等。此外,目前对润湿性机理的研究大多归结于微/纳米通道的毛细作用,其更深层次的机理仍有待发掘探讨。

图5. 碳基材料的表面调控
(a) 经过锂插层后石墨薄片间的锂嵌入/脱出过程示意图;
(b) 锂原子与Cu,石墨烯及各类N掺杂石墨烯的结合能对比;
(c) N-P掺杂石墨烯的差分电荷密度;
(d) 锂在氨处理前后介孔碳层表面生长过程的DFT计算;
(d) Li@MIECS复合负极的制备过程示意图。
2.2.2 表面组成
通过调控碳基材料固有的表面特性可以对材料的润湿性进行合理改善。如图5a所示,Guo及合作者报道了将锂预沉积在碳主体上的纳米材料,其中碳材料由带负电的排列成球形的弯曲石墨片层组成,该方法通过增强碳材料表面的电负性保证了C与Li+间稳定的键合作用。Zhang及合作者利用DFT证实经过N和P掺杂的碳材料可以显著提高与Li的结合能并改善碳纤维的润湿性(图5c)。锂金属的润湿性与基底的表面组成高度相关,人为引入官能团或掺杂其他元素是目前改善锂金属润湿性的主流方法。一些本身带有官能位点(如MXenes)及生物聚合物材料将是制备低成本改性碳材料的首选前驱体。
2.2.3 表面包覆

图6. 表面包覆研究
(a) Li包覆聚酰亚胺的制备过程示意图;
(b) 碳化木中进行热灌注的示意图;
(c) 锂金属负极在硅包覆前后的对比图;
(d) 层状Li–CF/Ag复合物的制备及结构表征。
相较于直接对材料表面进行改性,材料的表面包覆同样可以改善润湿性。表面包覆所需的温度更为温和,操作更为安全且通常只需极少量的添加剂。Cui及合作者报道经过ZnO修饰的聚酰亚胺材料对液态锂金属有着优异的吸附能力(图6a)。内部排列着整齐通道且多孔的碳化木材料同样可以和液态锂金属进行良好的结合,在纳米ZnO薄层修饰后,碳化木可以搭载液态锂金属形成Li/C复合负极材料(图6b)。目前,表面包覆手段仍严重受限于材料结构的稳定性,合金化/去合金化过程中的体积膨胀收缩对于表面包覆层而言是一项严峻的考验。因此实现包覆层与基质间紧密的相互作用将有助于包覆手段的进一步发展与应用。
3. 全固态电池中的复合锂金属负极
相较于有机电解液,固态电解质(SSE)有着更宽的电化学窗口(0-5V),更优异的热稳定性,更高的机械强度及不易燃特性。常见的固态电解质包括聚合物电解质,聚合物-无机复合电解质及无机电解质等。其中,无机电解质有着更优异的离子电导率和极高的杨氏模量,可以在很大程度上提升锂金属电池的安全性。
3.1. 缓冲层的引入

图7. 界面缓冲层对性能的改善
(a) 锂合金缓冲层对界面的改善作用示意图;
(b) Li/SSE/Li对称电池中,有无Au缓冲层的阻抗谱测试;
(c) Li/SSE/Li对称电池中,有无Au缓冲层的恒电流测试。
如图7a所示,当锂金属与固体电解质(SSE)直接组装成对称电池时,Li与SSE固-固界面间的适配性极差,造成极大的界面阻抗,不可控的锂枝晶生长及容量的迅速衰减。在电解质与电极间加入Cu缓冲层后,阻抗可降至之前的十分之一(如图7b),并且可以一定程度上抑制锂枝晶的生长,避免造成内部短路(如图7c)。
3.2. 熔融锂金属的掺杂

图8. 锂金属掺杂研究
(a) Li-Mg合金相图;
(b) Li-Na合金相图;
(c) 在石榴石电解质上进行Li-C复合物的注液过程示意图;
(d) Li-C3N4复合材料制备过程及界面接触测试。
在熔融锂金属中掺杂其他元素同样可以在固态电解质体系中起到改善润湿性的作用。如图8a及8b所示,Li和Mg/Na可以在较温和的条件下形成合金,并显著改善熔融态锂金属在固态电解质表面的铺展性。除了掺杂金属元素外,Li与非金属元素形成的复合材料也大有可为。Li与C3N4形成的复合物能牢固地与SSE进行结合从,而大大降低界面阻抗,建立快速的离子转移通道。
3.2. 固态电解质(SSEs)的包覆研究

图9. SSEs的包覆效应
(a) Li/SSE界面示意图;
(b) Li/SSE界面的SEM表征;
(c) 未进行Al2O3包覆的Li|LLCZN|Li 对称电池的EIS测试;
(d) Al2O3包覆前后Li|LLCZN|Li 对称电池的长循环稳定性对比;
(e) 混合导电层(MCL)保护的Li/LLZTO的界面示意图;
(f) 无MCL保护Li/LLZTO界面的SEM表征;
(g) MCL保护Li/LLZTO界面的SEM表征;
(h) Li/LLZTO/Li和Li/LLZTO-MCL/Li电池的临界电流密度测试;
(i) Li/LLZTO/Li和Li/LLZTO-MCL/Li电池的长循环稳定性对比。
在固态电解质表面引入包覆层被证实是另一种改善锂金属润湿性的有效方法,ZnO, Al2O3, C, Si, Al等材料均可以包覆于固态电解质表面使其由疏锂特性转变为亲锂特性。如图9a所示,Al2O3的包覆改善了石榴石状电解质的润湿性,使得熔融金属锂和固态电解质能够紧密接触,并减轻了循环过程中表面出现的裂痕(图9b),使得对称电池在长循环过程中不会出现较大的电压极化(图9d)。此外,由Cu3N包覆的电解质不仅展现出优异的离子电导率,分散度良好的纳米Cu颗粒还能促使锂的沉积更为均匀(图9e),从而使对称电池稳定循环1000 h(图9h, i)。
图10. 富锂合金及混杂微量聚合物电解质研究
(a) Li-Mg合金材料中的Li脱嵌行为;
(b) 熔融锂金属在未经泡沫铜处理的石榴石上的润湿性研究;
(c) 多孔致密的双层Li-EES结构制备示意图;
(d) 浸润类液型PEG-LiTFSI电解质的3D Li-rGO结构示意图;
(e) 聚合物电解质(TTE)中3D Li/CF复合负极的Li脱嵌行为。
由于金属锂负极在长循环过程中不断经历体积膨胀/收缩过程,导致电极材料与固态电解质失去电接触,并且存在安全隐患。因此单一地提高材料润湿性并不能完全解决问题。Hu及合作者提出将锂箔电极替换为富锂合金(如Li-Mg合金)可以有效抑制材料体积膨胀并保证两相界面稳定接触(图10a)。由于锂离子在固相中传输速率较慢,往往伴随着电压极化及容量衰减,因此在体系中加入少量液体或凝胶电解液可以弥补这些缺陷。Cui等人将含有LiTFSI锂盐的聚乙烯凝胶(PEG)注入层状的还原氧化石墨烯(rGO)主体中制备出Li复合电极。黏性低分子量的PEG可以增加电极片与电解质的接触面积,从而保证电极材料的润湿性,提高电池循环性能(图10d)。
总结展望
近年来,锂金属电池的发展如火如荼,研究人员臻于至善,力求兼顾高安全性和长循环寿命。以热灌注的方式将熔融金属锂封装于亲锂主体中被证实是行之有效且极具应用前景的主流策略。本综述从金属锂的润湿性出发,基于表面张力及毛细压力两大固有特性阐释了改善润湿性的主要机理。基于此,研究人员提出升高温度和杂原子掺杂可以显著提高金属锂在基底上的铺展性,从而实现电极与电解质间的紧密接触。此外,缓冲层的引入,主体材料的包覆及聚合物电解质的微量掺杂等方法都卓有成效。然而,对于润湿性的机理更深入研究、对于主体基质材料的选择及更简便、低成本制备方法如电场诱导技术的探索都是今后研究的重点。在对机理深入理解及制备表征技术不断革新的基础上,安全稳定兼具高能量密度的锂电池的全面应用指日可待。
文献信息
Recent Progress in Designing Stable Composite Lithium Anodes with Improved Wettability (Advanced Science, 2020, DOI: 10.1002/advs.202002212)
文献链接:
https://onlinelibrary.wiley.com/doi/10.1002/advs.202002212
添加官方微信 进群交流
SCI二氧化碳互助群
SCI催化材料交流群
备注【姓名-机构-研究方向】
投稿请联系contact@scimaterials.cn

