点击科学材料站,关注我们
导读
图1.
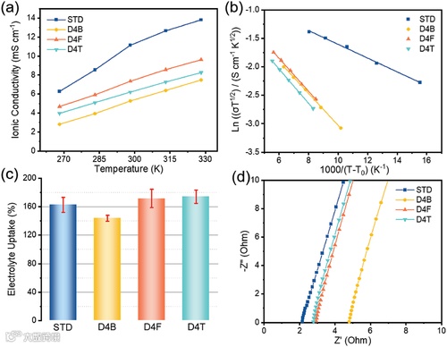
受工业应用中低浓度电解质(LCE)低成本的启发,本文提出了采用0.1M二氟磷酸锂(LiDFP)和0.4M LiBOB/LiFSI/LiTFSI的双盐LCE,以在锂金属负极上形成稳定的导电界面。降低锂盐的含量必然会降低电解液的电导率。考虑到LiFSI和LiTFSI对PE隔膜的润湿性较好,用含这两种盐的电解液对隔膜进行润湿后,电导率下降较小。
背景简介
核心内容
图二.
投稿请联系contact@scimaterials.cn
点击“在看”分享你的观点![]()

