催化者,国之大计也!
催化在工业生产、能源转化等领域发挥着不可取代的作用。一个高效的催化剂可极大促进化学反应的进行。例如,众所周知,合成氨工业这一主题已连续多次获得诺贝尔化学奖,而每一次关于合成氨工艺的重大进展都与催化剂息息相关。因此,了解最新催化领域的前沿研究热点显得尤为重要。
晶面工程优化MOF的光催化活性!

金属和金属氧化物纳米晶体的不同晶面往往表现出不同的催化活性,已有大量相关的文献对此进行报道,然而,关于这种特性在金属有机框架(MOF)体系的表达却少有文献报道。
鉴于此,天津理工大学的鲁统部、钟地长等人以Ni(NO3)2·6H2O、H2BDC等为原料制备MOF/MOL(金属有机层),首次证明了Ni-MOL通过暴露(100)晶面,即Ni-MOL-100,与暴露(010)晶面的Ni-MOL-010与大块Ni-MOF相比,Ni-MOL-100具有更高的光催化CO2还原产CO活性。

DFT计算结果表明,依赖晶相的催化性能可以归因于其具有不同的MOLs表面结构。在(100)面上,相邻的、具有适当间距(3.50 Å)的两个Ni位点可通过协同催化,极大地促进了CO2的还原反应。

Tailoring Crystal Facets of Metal-Organic Layers to Enhance Photocatalytic Activity for CO2 Reduction,Angewandte Chemie International Edition,2020.
https://onlinelibrary.wiley.com/doi/abs/10.1002/anie.202011068
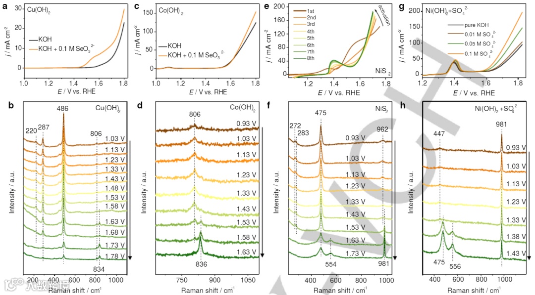
过渡金属硫族化合物(TMCs)可作为一种高效的析氧反应(OER)预电催化剂,在OER条件下其可原位电化学活化,生成具有OER活性的金属氢氧化物。然而,在原位电化学氧化和严重浸出后,硫元素在整个电催化组分中所扮演的机制到目前为止还没有完全阐明。
有鉴于此,天津大学的张兵等人提出了表面吸附硫族化合物对OER活性起着重要的促进作用。以NiSe2为例,原位拉曼光谱显示Se-Se氧化生成为亚硒酸盐(SeO32-),再进一步氧化为硒酸盐(SeO42-)。通过结合严重的Se浸出和生成强信号的SeO42-,作者认为SeO42-可在电催化剂表面富集并促进OER。

首先以NiSe2作为研究模型,在1M KOH溶液下进行测试OER活性,结果表明随着扫描次数的增加,NiSe2逐渐得到活化,从而提高了OER性能。对反应前后的催化剂进行结构表征,证实了反应后Ni的氧化态提高,同时Se的原子含量大幅度降低,且出现了新的SeOx峰,证实了Se在OER过程中发生浸出和氧化。原位拉曼光谱表征进一步证实了随着电位的升高,NiSe2中的Se先氧化成亚硒酸盐,再氧化成硒酸盐。

考虑到在活化的电催化剂中有少量Se和SeO42-的强拉曼信号,作者假定表面SeO42-在OER性能中起着至关重要的作用。正如预期的那样,在Ni(OH)2的电解质中添加SeO32-,无论是额外添加还是自氧化,都可显著增强OER活性。

此外,硒酸盐对Cu(OH)2和Co(OH)2的OER活性也有类似促进作用。同时,通过对NiS2和Ni(OH)2与硫酸盐的原位拉曼光谱分析,表面吸附的硫酸盐也表现出类似的效果。

Unveiling the Promotion of Surface-Adsorbed Chalcogenate on the Electrocatalytic Oxygen Evolution Reaction,Angewandte Chemie International Edition,2020.
https://onlinelibrary.wiley.com/doi/abs/10.1002/anie.202011097
构筑3D超结构电极,同时实现ORR、OER、HER三功能催化活性!

超结构由于其在化学和材料科学方面的潜在应用而引起了研究人员的极大兴趣。在这里,京都大学的徐强等人首次提出了以多孔泡沫镍为模板,制备了负载超细CoPx纳米颗粒的碳纳米片超结构电极。二维Co-MOF纳米片(Co-MNS)在泡沫镍上均匀生长,然后通过对MOF介导的串联热解(碳化/磷化),所得到的超结构呈现出多孔的三维互联网络结构,其网络上有排列良好的二维碳纳米薄片,其中有紧密固定的CoPx纳米颗粒。

在这种策略下,由于强的配位作用,含N的二维Co-MOF纳米片可以极大地限制金属纳米颗粒的生长,并有助于产生小尺寸的金属磷化物。

由此产生的超结构(CoPx@CNS)可直接用作催化的自支撑电极,展示出对析氧反应(OER)、析氢反应(HER)和氧还原反应(ORR)的高效催化活性,在电解水和锌-空气电池中取得了优异的性能。在电解水装置中,使用该超结构电极作为阴、阳极材料时,在电流密度为10 mA/cm2下仅需电解电压1.63 V。

MOF‐Mediated Fabrication of Porous 3-D Superstructure of Carbon Nanosheets Decorated with Ultrafine Cobalt Phosphide Nanoparticles for Efficient Electrocatalysis,Angewandte Chemie International Edition,2020.
https://onlinelibrary.wiley.com/doi/abs/10.1002/anie.202011347
新型单原子Ag配位构型,具有可媲美Pt的光催化HER活性!

单原子催化剂(SAC)由于具有最大的金属原子利用率而引起了研究人员极大的关注。然而,到目前为止,为获得具有高金属负载量、高催化活性以及良好稳定性的SAC仍具有挑战性。
鉴于此,南昌航空大学的邹建平等人提出了一种新的策略,可用于开发一种具有独特配位结构的、高活性和稳定的、负载单原子Ag的氮化碳催化剂(Ag‐N2C2/CN)。通过AC-HAADF-STEM、扩展X射线吸收光谱表征,证实了Ag的原子级分散以及Ag‐N2C2配位结构。


实验和DFT计算进一步验证了独特的Ag-N2C2配位结构可以有效降低HER能垒,同时扩大光的吸收范围,改善CN的电荷转移。结果表明,Ag-N2C2/CN催化剂比Ag-N4/CN具有更优异的光催化HER活性,甚至优于负载Pt纳米颗粒的CN (PtNP/CN)。

Silver Single Atom in Carbon Nitride Catalyst for Highly Efficient Photocatalytic Hydrogen Evolution,Angewandte Chemie International Edition,2020.
https://onlinelibrary.wiley.com/doi/10.1002/anie.202011495
过渡金属磷化物与MOF复合,用于高效光催化制氢!

金属有机骨架(MOFs)已被证明是一种优良的光催化平台。然而,为了抑制电子-空穴复合,一般不可避免要使用Pt助催化剂,尤其是在光催化制取H2中,从而极大地限制了这类材料的实际应用。
鉴于此,中国科学技术大学的江海龙等人首次将单分散、小尺寸且不含贵金属的过渡金属磷化物(TMPs,例如Ni2P、Ni12P5)引入到常规的MOF,UiO-66-NH2中,可用于光催化制取氢气。与原始MOF及其物理混合物相比,TMPs@MOF复合材料显著提高了H2产率。

作者首先合成了微小的单分散TMPs (Ni2P, Ni12P5)以及Pt NPs,它们的大小相似(~ 10nm),并将其引入到UiO-66-NH2中,分别得到Ni2P@UiO-66-NH2, Ni12P5@UiO-66-NH2以及Pt@UiO-66-NH2。

值得注意的是,TMPs极大地提高了光催化产氢性能,Ni2P NPs表现出比Pt NPs更高的产氢率。热力学和动力学研究表明,TMPs与Pt具有相似的性质,可以极大地加速电荷从链路到簇的转移,并促进电荷分离,同时有效降低生成H2的活化能。

Incorporating Transition Metal Phosphides into Metal‐Organic Frameworks for Enhanced Photocatalysis,Angewandte Chemie International Edition,2020.
https://onlinelibrary.wiley.com/doi/10.1002/anie.202011614

