点击科学材料站,关注我们
TiO2多功能包覆层提高SiOx@TiO2@C复合物负极材料的性能
作者:肖哲熙,于春辉,林贤清,陈晓,张晨曦,姜海容,张如范
通讯作者:魏飞*
研究背景
发展高性能电极材料用以满足下一代锂离子电池(LIBs)对于高能量密度方面的需求已经成为了世界范围内的焦点问题。硅因其最高的理论容量(~4200 mAh g-1)及较合适的工作电压(~0.4 V)被认为是最有潜力的一类负极材料。然而,巨大的体积膨胀(~400 %)、与电解液发生严重的副反应极大阻碍了硅负极的商业化进程。一氧化硅作(SiOx)为硅负极的改进材料,与硅相比化学性质大幅度改善,并具有更低的体积膨胀率(~160 %),成为了替代硅负极的优选材料。
然而,SiOx材料在实际应用中主要有两个关键问题需要解决。一是体积膨胀不可忽视,导致电接触变差及颗粒粉化。另一方面是电极与电解液界面在工作电压下的非电化学稳定性会导致固体电解质(SEI)膜的不可控生长,造成的高电子离子传输阻力显著影响循环及倍率性能。在多种解决策略中,界面工程已被用于多种电极材料中并证明是一种有效提高整体性能的方法。表面包覆是一种简单有效的提高电极/电解质界面稳定性的途径,碳在近些年被认为是有效的包覆层,但其不够高的离子传输性限制了整体性能的进一步提升,因此与其他包覆材料结合构造复合包覆可能是一种有前景的策略。锐钛矿型二氧化钛(TiO2 )具备低膨胀率、高机械稳定性,同时脱嵌锂时具有高电子离子传输性,优良的电化学可逆性等性质使其展现出作为良好复合包覆组分的巨大潜力。如果能将TiO2相包覆于SiOx表面,再辅以C作为导电网络,形成类钛酸锂电池的界面层,可能获得性能更好的负极材料。
如果要实现TiO2与C的多层包覆,保证包覆均匀性是这类结构的关键问题。同时,因为界面稳定性往往与副反应直接关联,包覆对于副反应的影响还缺乏认识并需要进一步的研究。进一步地,动力电池的安全性的问题至关重要,SiOx基材料的热行为还未有较为系统地报道。TiO2包覆对于SiOx基材料安全性的影响也有待更深入的考察。
文章简介
近日,清华大学魏飞教授课题组在国际顶级期刊Nano Energy (影响因子:16.602) 上发表题为“TiO2 as a multifunction coating layer to enhance the electrochemical performance of SiOx@TiO2@C composite as anode material”的研究工作。
该工作通过前驱体转化结合流化床化学气相沉积(CVD)成功制备了双层纳米包覆结构SiOx@TiO2@C复合物。具备高效传热传质特性的流化床CVD包覆能够保证包覆均匀性和良好石墨化程度,并避免比表面积不可控生长。高结晶度锐钛矿相TiO2层可以提高电极界面稳定性同时缓解体积膨胀,同时TiO2层可以极大地减弱界面副反应并显著改善电池的循环稳定性与离子扩散。包覆TiO2层对于复合物热稳定性行为也有本质性改善。
该文章第一作者为清华大学2020届博士毕业生肖哲熙,魏飞教授为本文通讯作者。
要点解析
图1.
图1展示了SiOx@TiO2@C复合物的制备流程,并对于其结构做了相关微观表征,展现了最终产物SiOx@TiO2@C的双层包覆结构。
图1a展示了SiOx@TiO2@C复合物的典型制备流程。原始SiOx颗粒通过前驱体转化反应变为中间产物SiOx@TiO2,再将中间产物导入流化床反应器中,经历CVD过程完成碳包覆,得到最终产物SiOx@TiO2@C复合物。
图1b和图1c反映了包覆前后的颗粒形貌变化。
图1d显示了整体复合物呈现较好的分散状态。
图1e和图1f展示了清晰的双层包覆结构,并具有高结晶度,中间层和外层的厚度分别为10 nm和5 nm。
对应的EDS扫描图片如图1g所示,内部的SiOx核被由Ti和C组成的双层包覆。HRTEM和对应的EDS扫描图片确认了双层包覆结构的形成。
图2.SiOx@TiO2@C的不同元素XPS谱
表1.
图2展示了SiOx@TiO2@C复合物的表面成分及元素化学状态。图2a中在458.5 eV和464.2 eV所出现的特征峰对应Ti 2p3/2和Ti 2p1/2两种化学状态,显示了TiO2相的成功引入。
图2b中三种状态的氧特征峰(529.3 eV,530.1 eV,532.3 eV)分别对应于Ti-O、O-H、Si-O,显示了Ti-OH和Si-O键的存在。
图2c中两种碳特征峰分别对应C-C键(284.6 eV)和C=O键(285.5 eV),表明碳层的存在及界面上存在碳氧键合。
图2d中表面存在四种化学状态的硅,分别为处于98.9 eV的Si(0) 、102.1 eV的Si(+2) 、 102.8 eV的Si(+3) 、103.6 eV的Si(+4) 。如表1所示,Si(0)的含量只有1.8%,表明双层包覆较完整,未有明显的游离态Si裸露在表面。
图3.
图3展示了不同阶段样品的宏观表征对比。从图3a的XRD谱图中,通过晶相解析,锐钛矿相TiO2的特征峰出现在最后的SiOx@TiO2@C谱图中,进一步确认了TiO2晶相的存在。
图3b中的Raman谱图,确认了碳层的存在,同时也反映了石墨化程度的高低。较低的D峰和G峰强度比值(ID/IG=1.0)显示了较好的石墨化程度,表明高质量的碳层可以给复合物提供较好的导电网络,利于电子在电化学反应中的传导。
图3c中TG曲线对于复合物中的不同组分含量进行了确认。通过不同气氛下的测试,TiO2的含量在4%,碳层的含量为15.8%。
图3d中显示了在N2气氛下测定的气体吸附等温线,进行BET处理后得到SiOx、SiOx@TiO2、SiOx@TiO2@C的比表面积分别为2.34,2.87,2.98 m2 g-1。可以发现经过前驱体转化及CVD包覆过程后,比表面积未有明显增大,一直保持3 m2 g-1以下,表明包覆层致密。致密的包覆有利于阻止电解液侵蚀,提高首次库伦效率。
图4.
图4展示了SiOx@TiO2@C优异的电化学性能。从图4a中的循环性能对比来看,SiOx@TiO2@C电极具有1624.7 mAh g-1的首次容量, 在循环600圈后还具有1197.8 mAh g-1的可逆容量,明显高于SiOx@C和SiOx。在首次库伦效率方面,SiOx@TiO2@C的ICE达到81.2%,高于SiOx@C的75.1%和SiOx的49%。
在循环过程中,与其他二者显示出的较快速衰减不同,SiOx@TiO2@C显示出更优良的循环性同时首次库伦效率有明显提升。致密均匀的包覆层可以有效缓冲内部应力对于整体结构的冲击,提升整体循环稳定性。低比表面积能够有效阻止电解液与内部活性物质接触,降低Li+的过度消耗,同时TiO2层的引入能够提升界面稳定性,两者共同使得ICE有显著的提高。
图4b中循环过程容量-电压曲线也证明了SiOx@TiO2@C电极的高循环稳定性。
图4c和图4d中显示了在倍率性能上,由于TiO2的引入,SiOx@TiO2@C电极的倍率性能有显著提升,尤其在高倍率下更为明显。在5 A g-1和10 A g-1的高电流密度下,SiOx@TiO2@C电极能够放出1146. 6 mAh g-1和949.7 mAh g-1的容量,显著高于其他二者。当电流回复到初始0.1 A g-1时,容量恢复率高达99.4%,显示了电极的高电化学可逆性。倍率性能尤其是在大电流下的放电能力提升,可以归因于高结晶的TiO2层引入可以为离子电子提供高速传导通道,同时显著提升界面稳定性。
图4e中全电池测试显示SiOx@TiO2@C与商业化正极材料NCM811具有良好的匹配性,首次库伦效率超过90%,首次面容量密度高达2.6 mAh cm-2,循环100圈后仍有约2 mAh cm-2的较高面容量密度水平。上述电化学测试结果显示了SiOx@TiO2@C具备优异的半电池及全电池性能。
图5. 循环前后电极形貌对比
图5展示了循环前后电极的形貌对比。
图5a中可以明显看出SiOx电极仅循环50圈后电极就出现明显的结块及皲裂现象,表明电极经历了严重的结构破坏。而图5b中SiOx@TiO2@C电极经历600圈循环后,电极表面结块现象减轻,同时未有明显的开裂现象,表明经过长循环过程电极未经历明显破坏。通过对循环后的电池进行拆解,对于循环后活性物质进行TEM观测可以看出,不同层界限依旧清晰可辨,同时晶格较为完好未有显著变化,证明了整体结构未有显著破坏。
对于循环前后的电极厚度进行对比,如图5d和5e所示,循环前后的极片厚度变化率为16.7%,满足低于20%的实用要求。上述结果从另一角度印证了TiO2的引入可以显著提高界面稳定性,整体结构在长循环过程中具备高稳定性。
图6.
为了进一步理解SiOx@TiO2@C电极倍率性能尤其是在大电流下的放电能力提升,对于电极动力学性质和电荷储存机理做了更为深入的探究。通过电化学阻抗谱(EIS)和循环伏安曲线(CV)对于电化学反应做研究。
图6a显示的三种材料EIS谱图对比及对于Nyquist曲线进行了等效电路拟合,获得的电荷转移阻抗(Rct)部分的结果来看,SiOx@TiO2@C的Rct为57.6 Ω,显著低于其他二者,可以归因于TiO2的引入提升了界面稳定性。
进一步,我们对于EIS谱图中直线扩散部分数据进行了拟合,如图6b所示,利用得到的σ对于表观化学扩散系数进行了计算。
如图6c所示,SiOx@TiO2@C的表观化学扩散系数DLi+为1.60×10-12 cm2 s-1,与SiOx相比提高了超过60倍。这一结果表明TiO2的引入对于Li+的扩散有显著促进作用。对于表观化学扩散系数的显著提升,我们认为SiOx@TiO2@C由于TiO2的引入界面稳定性有明显提高,可以获得更加稳定更薄的SEI层,使得离子在这部分的扩散阻力显著降低,进而整体扩散阻力降低。
图6d中对于SiOx@TiO2@C电极做了不同扫速CV测试,对于还原过程和氧化过程中的峰值电流与扫速进行拟合,获得的还原过程和氧化过程动力学指数b分别为0.86和0.88,如图6e中所示。
接近0.9的b指数表明电极动力学过程主要为表面介导行为控制。对于不同扫速下电容贡献部分计算对比得到的结果如图6f所示,随着扫速的提升,电容贡献部分比例逐步提高,在1.0 mV s-1的扫速下,达到81.6%,进一步显示了表面介导行为在电极动力学中占主导地位。
上述对于电极动力学的表征分析表明TiO2层不仅可以提供高效传输通道加快离子电子传输,同时可以提升界面稳定性保证导电网络的完整性,改善电极整体动力学行为,很好地解释了倍率性能的提升。
图7.与电解液反应后的XRD谱图
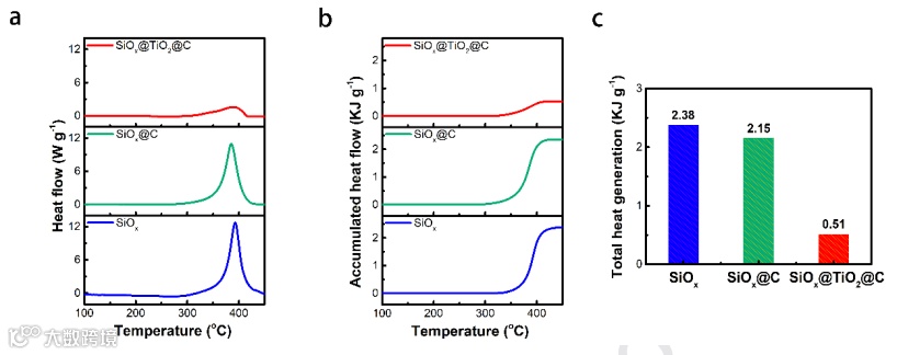
图8.
在发展高容量电极过程中,安全性是其中的一个关键指标,尤其是在实际电池体系中更为重要。我们利用DSC曲线来分析电极在电化学反应中的热行为。
在完全嵌锂态(100%SOC)下测定的DSC曲线如图8a所示,可以看到在350-400℃下出现明显的放热峰,峰强度达到12 W g-1,表明SiOx与电解液反应存在明显的热效应,对于发展SiOx基材料来说存在巨大的安全隐患。
包覆碳层后,放热峰强度减少幅度有限(10.8 W g-1),表明碳层包覆对于限制热效应作用不明显。而引入TiO2层后,SiOx@TiO2@C的放热峰强降低为1.6 W g-1,与未包覆时相比减小了6倍左右。
图8b和8c比较并计算了累计热流量,对于SiOx@TiO2@C,其放热量为0.51 KJ g-1,明显低于SiOx的2.38 KJ g-1和SiOx@C的2.15 KJ g-1。放热量降低了4倍,显示了SiOx@TiO2@C的安全性显著提升。
我们提出了整体安全性显著提升的可能原因,TiO2的引入使得界面稳定性提高, TiO2相自身也具备很好的热稳定性,同时,低比表面积限制了SEI的生长抑制了副反应,共同提高了整体安全性。上述结果表明锐钛矿相TiO2层对于热稳定性提升具有积极作用。
结论
投稿请联系contact@scimaterials.cn

点击“在看”分享你的观点![]()

