大数跨境

唐青/陈中方JMCA: 双原子催化剂削弱线性关系,机器学习解释氧还原活性原因

唐青/陈中方JMCA: 双原子催化剂削弱线性关系,机器学习解释氧还原活性原因 科学材料站
2020-11-10
1
导读:本文通过DFT计算,发现了1种同核BACs和8种异核BACs具有高的ORR催化活性,并采用机器学习的方法预测了BACs的ORR活性,同时对活性原因进行了探讨。


文章信息

双原子催化剂削弱线性关系,机器学习解释氧还原活性原因
第一作者:邓朝芳  粟扬
通讯作者:唐青  陈中方
单位:重庆大学、重庆第二师范学院、美国波多黎各大学

文章亮点

1,利用活性描述符(*OH吸附能)构建了26种同核双原子催化剂(BACs)的ORR催化火山曲线。
2. 系统研究了55种异核BACs催化ORR的潜力,发现8种BACs具有高的氧还原催化活性。
3. 证明了异核BACs可以有效的削弱吸附物种存在的线性关系,从而实现高效的电催化氧还原,利用机器学习对BACs活性原因进行解释。


研究背景

质子交换膜燃料电池(PEMFC)是一种非常具有前景的能量转换装置,它可以直接将化学能转换成电能。然而,PEMFC的应用仍然存在很多挑战,其中,阴极动力学缓慢的氧还原反应就是制约其应用的主要瓶颈之一。寻找高活性的催化剂可以有效提高ORR的反应活性,目前,Pt及其合金仍然是主流的ORR催化剂,然而,金属Pt的储量低、稳定性差等问题阻碍了PEMFC的广泛应用,因此,开发更加高效稳定的电催化剂提高ORR活性十分迫切。
近年来,单原子催化剂(SACs)因其高的原子利用率和催化活性受到了广泛的关注。然而,它在ORR催化方面的性能仍然差强人意,这为设计新型的ORR电催化剂带来了新的机遇和挑战。值得注意的是近来实验和理论的研究都表明在SACs引入第二金属位点可以有效地调节和提升催化剂的性能,这也预示着双原子催化剂(BACs)在电催化反应种具有巨大的潜力。
例如,实验研究表明Co2N5二聚体活性位点比孤立的单个CoN4具有更高的ORR活性。此外,异核BACs也被证实具有优异的ORR性能,例如,分散在氮掺杂石墨烯基底上的CoNi二聚体表现出高的ORR和OER双功能催化活性。此外,理论研究也表明BACs在催化方面具有巨大的潜能。例如,氮还原反应中,BACs可以同时提高反应的选择性和活性,在CO氧化反应中,异核双原子催化剂Fe1Cu1@C2N被预测比相应的同核双原子催化剂具有更高的催化活性。这些研究表明同核和异核BACs都具有作为高效的ORR催化剂的潜能,异核BACs甚至活性更好。
到目前为止,BACs的催化氧还原反应还处于一个初步探索的阶段,深层次的活性原因和可能的结构-活性关系仍然不明确。然而,周期表中过渡金属原子众多,这些过渡金属原子所组成的同核与异核二聚体数量将非常庞大,那么,通过实验合成所有可能的组合来系统研究BACs几乎是不可能的。为了解决这个问题,迫切需要建立一种可行的策略来快速识别高性能的ORR催化剂,缩小理论研究与实验合成之间的差距。

成果简介

近日,重庆第二师范学院的邓朝芳博士(第一作者),重庆大学的唐青研究员(通讯作者)、美国波多黎各大学的陈中方教授(通讯作者)等人合作,通过密度泛函理论(DFT)计算,发现了1种同核BACs和8种异核BACs具有高的ORR催化活性,并采用机器学习的方法预测了BACs的ORR活性,同时对活性原因进行了探讨。

图1. BACs结构(a),构建双原子催化剂的过渡金属(b),ORR路径示意图.

采用N掺杂石墨烯(NC)作为载体,载体上的N原子与金属原子结合性强,有利于锚定金属双原子。该研究采用3d,4d和5d过渡金属原子作为BACs金属中心(除了高毒性/放射性的Tc,,Cd和 Hg)。
在酸性条件下,研究了26种同核BACs(M2/NC)和55种异核BACs(M1M2/NC)的ORR活性。他们发现异核M1M2/NC可以有效的削弱金属表面存在的线性关系,实现高效的电催化氧还原。最后该工作利用机器学习预测了所研究BACs的ORR活性,解释了BACs高活性的原因,为BACs在ORR或其它电催化反应中提供有效的指导。

本文要点

要点一  同核BACs的催化活性
在同核BACs上,氧还原的理论极限电极电位(与活性中心金属原子外层的电子数目有关:随着外层电子数的增多,极限电极电位先增大后减小。通过计算活性中心的d-band中心,随着外层电子数的增多,金属中心的d-band呈减小趋势,与氧物种的作用也逐步减弱,只有与氧物种具有适宜作用的BACs才能表现出高的极限电极电位。
以最具有潜力Co2/NC为例,探究了氧还原催化ORR的机理,通过所谓的“推-拉”机理氧气可以有效地被活化,从而激发后续反应,实现高ORR活性。
图2.  同核BACs催化ORR理论极限电极电位(a),O2 在Co2/NC 表面的吸附结构和电荷转移 (b),投影晶体哈密顿布居分析(c)。

要点二 异核BACs的催化活性
根据理论极限电极(和()之间的火山曲线关系,发现Co2/NC位于火山曲线顶点。火山曲线表明有11种金属中心( Fe, Mn, Ir, Ru, Rh, Co, Zn, Ni, Pt, Pd 和Cu)具有驱动ORR的潜能(接近或者大于0 V),采用这11种过渡金属,构建了55种异核BACs,发现有8种异核催化剂具有优异的ORR活性:四种Co基BACs (CoZn/NC (0.80 V), CoNi/NC (0.88 V), CoPd/NC (0.84 V), CoCu/NC (0.78 V)); 三种Rh-基 BACs (RhNi/NC (0.85 V), RhPd/NC (0.79 V), RhPt/NC (0.81 V)), 和 CuMn/NC (0.82 V)。
最后对催化剂的形成能进行了讨论,高活性的同核BACs(Co2/NC)和8种高活性的异核BACs都具有相当的热力学稳定性,其中CoNi/NC,CoZn/NC和 CoNi/NC实验上已经成功合成,其它高活性的BACs有望在实验上合成。
图3.  和之间的火山曲线关系(a),55种异核催化剂的极限电极电位,对高活性的8种BACs进行了标注。

图4. 催化剂的形成能.

要点三  ORR活性原因
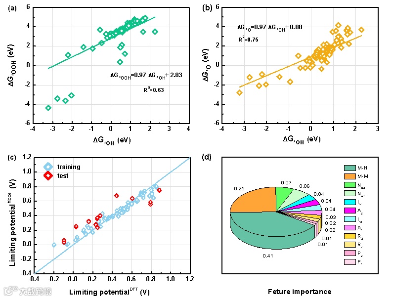
基于异核BACs上氧物种吸附吉布斯自由能()之间的关系,发现异核BACs可以有效的削弱物种之间的线性关系,因此可以突破线性关系对活性的限制,同时采用传统的单一描述符很难预测异核BACs的ORR活性。
该研究采用机器学习的方法,以金属二聚体之间的距离(M-M),金属与邻近N原子的平均距离(M-N),两个金属原子的半径(R1 和R2),外层电子数(Ne1和Ne2),Pauling电负性(P1 和 P2),第一电离能(I1 和I2)和电子亲和能(A1 和A2)作为特征集对11种同核BACs以及采用其构成的55种异核BACs的ORR活性进行了预测,预测的结果与DFT计算结果具有较高的符合性。
通过对输入特征值重要性进行分析确定M-N和M-M的重要性为0.41和0.25,是影响ORR活性最重要的因素,这合理的解释了Co基和Rh基异核BACs活性的差异,是由于引入第二种金属的不同导致催化剂结构的差异,结构的差异致活性存在一定的差异。
同时,外层电子数(Ne1和Ne2)对ORR活性同样具有一定的影响作用(重要性为0.13),由于双原子活性中心形成了金属-金属键,所以金属外层电子对吸附氧物种的贡献减弱。这也可以解释为什么Co和Rh仍然是高活性中心,因为适宜的外层电子数仍然具有一定的影响作用,而活性的进一步提高则需要引入第二种金属对催化剂结构进行调控来达到目的。
图5. DFT计算氧物种吸附吉布斯自由能之间的关系(a 和b) 机器学习预测的极限电极电位与DFT计算的极限电极电位(c) 基于随机森林计算的特征值重要性(d) 。

文章总结

综上所述,通过DFT计算,系统研究了26种同核M2/NC和55种异核M1M2/NC作为高效ORR的潜力。其中,Co2/NC和8种异核(CoZn/NC, CoNi/NC, CoPd/NC, CoCu/NC,RhNi/NC, RhPd/NC, RhPt/NC 和 CuMn/NC)为高活性的ORR催化剂。异核BACs可以有效的削弱氧物种吸附能之间的线性关系,从而实现更高的催化活性,最后采用机器学习的方法对催化活性进行了预测和解释。总之,该工作对设计新型高效的ORR双原子催化剂可以提供有效的理论依据。
Chaofang Deng et al, Understanding Activity Origin for Oxygen Reduction Reaction on Bi-Atom Catalysts by DFT Study and Machine-Learning. (Journal of Materials Chemistry A, 2020. DOI:10.1039/D0TA08004G)


添加官方微信 进群交流

SCI二氧化碳互助群

SCI催化材料交流群

备注【姓名-机构-研究方向】

说明

🔹本文内容若存在版权问题,请联系我们及时处理。

🔹欢迎广大读者对本文进行转发宣传。

🔹《科学材料站》会不断提升自身水平,为读者分享更加优质的材料咨询,欢迎关注我们。

投稿请联系contact@scimaterials.cn

致谢

感谢本文作者对该报道的大力支持。

催化剂材料需求?点击"阅读原文"

【声明】内容源于网络
0
0
科学材料站
内容 0
粉丝 0
科学材料站
总阅读0
粉丝0
内容0