大数跨境

彭程/陈政/王建强ESM: 抑制高温熔盐的挥发与流动:纳米材料在高温熔盐储能领域中的新作用

彭程/陈政/王建强ESM: 抑制高温熔盐的挥发与流动:纳米材料在高温熔盐储能领域中的新作用 科学材料站
2020-11-25
2
导读:该文章针对高温液态熔盐电解质极易挥发和流动带来的电池稳定性差、安全性低的问题,提出了一种纳米级别固体氧化物添加剂的半固态熔盐电解质材料


文章信息

用于可充放电的高温熔盐铁-空气电池的半固态熔盐电解质
第一作者:张诗雨,杨云,程李威
通讯作者:彭程*,陈政*,王建强*
单位:中国科学院上海应用物理研究所,宁波诺丁汉大学

研究背景

高温熔盐电解质因其具有优异的电极动力学以及离子电导率的特性,能够为高温电池带来出色的容量和功率性能,在高温电化学储能装置,如液态金属电池和金属空电池中表现出了极大的应用潜力。
然而,高温下空气氛中熔盐具有极强的腐蚀性、挥发性和流动性,为电池的设计和组装带来了困难,严重影响了电池的安全性和稳定性,关于熔盐电解质的设计和优化是高温熔盐电池研究中急需解决的重要问题。相比于液态电解质容易泄露和挥发等问题,半固态电解质既能保证高的离子电导率,又具有低可燃性以及高机械强度等优势,在近些年有关于锂基和钠基电池的设计中得到了广泛的试验和探讨。
本篇观点展示了一种基于纳米级别的固体氧化物添加剂的新型半固态熔盐电解质(quasi-solid state,QSS),利用固体氧化物颗粒之间连接形成的网络骨架包裹液态熔盐电解质,形成了具有支撑性的电解质材料,实现了高温区半固态电解质的概念证明,探究了其在高温熔盐铁-空气电池(molten iron-air battery,MIB)中的应用潜力。同时研究了半固态熔盐电解质中固液相的作用机制以及电极与电解质界面处的电化学反应机制,这些研究将有助于建立一种更加简单有效的高温电池设计理念。

文章简介

近日,来自中国科学院上海应用物理研究所王建强研究员团队宁波诺丁汉大学的陈政教授合作,在国际知名期刊Energy Storage Materials上发表了题为“Quasi-solid-state electrolyte for rechargeable high-temperature molten salt iron-air battery”的文章。
该文章针对高温液态熔盐电解质极易挥发和流动带来的电池稳定性差、安全性低的问题,提出了一种纳米级别固体氧化物添加剂(YSZ颗粒添加在碳酸钠-碳酸钾的共晶熔盐中)的半固态熔盐电解质材料,证明了该电解质能够保持高离子电导率的同时。
通过固液相之间的相互作用有效抑制了电解质的挥发和流动,实现了高温段半固态电解质的概念证明,并完成了半固态电解质在可充放电的高温铁空电池中的性能测试和反应机制研究,实现了高库伦效率和能量效率的电池设计。
图1 半固态电解质的高温铁空电池研究示意图

本文要点

要点一:半固态电解质中固体颗粒与液态熔盐相互作用机制研究
从半固态熔盐电解质的TEM图中可以看出,熔融的NaK盐与YSZ纳米颗粒形成了核壳结构,高结晶度的YSZ颗粒被非晶态的NaK共晶盐包裹,表明了YSZ与熔盐之间的强相互作用。
图2 (a)QSS-MIB示意图,(b)QSS电解质TEM图,(c)QSS电解质的EDS数据(d,e,f)不同放大倍数下NaK混合盐与YSZ纳米颗粒之间的界面区域

热重测试结果表明,相对于纯液态NaK熔盐,添加了YSZ颗粒的QSS电解质,其在800℃下的失重被极大地削弱,侧面说明了QSS电解质的挥发性要小于NaK共晶熔盐,不同温度下的蒸气压数据证明了这一观点,对于纯液态熔盐,其蒸发所需的能量大小为74 kJ·mol-1,小于QSS电解质挥发所需的能量92 kJ·mol-1,QSS电解质的挥发相对于纯液态熔盐要更加困难。
原位拉曼光谱数据揭示了800℃下QSS电解质中YSZ颗粒与液态NaK熔盐界面的精细结构,相对于初始的YSZ颗粒仅显示出t-ZrO2相,QSS电解质中表现出了单斜相的ZrO2特征峰,说明800℃条件下ZrO2存在部分相转变的现象,XRD结果进步一证实了这一现象,这种相变可能发生在YSZ与NaK界面之间,由于NaK与YSZ之间的强相互作用导致ZrO2晶格中Y的部分流失,从而发生相转变的现象。
图3 (a)TG曲线对比,(b)QSS电解质、NaK熔盐、YSZ纳米粉体在800℃下的原位拉曼光谱,(c)不同温度下的QSS电解质与NaK共晶盐的蒸气压,(d)QSS电解质、NaK盐以及YSZ纳米粉体的XRD结果

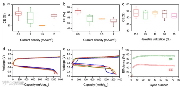
要点二:QSS电解质在高温铁空电池中的性能测试结果
以半固态熔盐作为电解质的高温铁空电池,其性能得到了显著的改善。在不同放电电流密度下,其库伦效率能够保持在90%以上,能量效率最高可达61.2%,循环次数可达80次,运行时间长达113h,在测试中,电池的能量密度可达380.3Wh·kg-1,基于铁质量的容量值高达1300 mAh·g-1,接近电池的理论比容量值。相对于前期的液态熔盐电池性能参数来说,其循环稳定性和能量效率都得到了很大的提高。
图4 QSS-MIB性能数据

要点三:负极反应机理研究
循环充放电之后QSS电解质的SEM结果表明,Fe在靠近负极端高度聚集,并非分布在整个电解质中,负极与电解质之间界面明显,负极端的电化学反应呈现的是固-固-液界面反应,显著区别于传统的以碳酸锂熔盐作为电解质的纯液态熔盐电池。CV结果表明负极端发生的是Fe(0)与Fe(Ⅲ)之间的转换过程。利用穆斯堡尔谱和吸收谱表征证明了负极端的反应是单质Fe和氧化铁与NaK熔盐反应形成的FeO2-之间的电化学反应过程,电池的反应机理可归结如下:
图5 QSS-MIB负极研究,(a)循环后电解质SEM图像,(b)不同扫速下负极CV测试,(c)充电后与放电后负极穆斯堡尔曲线,(d)吸收谱数据

四:前瞻
高温熔盐电池因其成本低、电化学反应活性高所带来的高能量密度、高比容量值等一系列优势,在未来的大规模储能领域具有极大的应用前景。然而,由于熔融盐的固有问题,如挥发、腐蚀、流动,极大地限制了有关高温熔盐电池的研究和发展。半固态电解质的引入为高温熔盐电池的结构设计和组装带来了便利。而在后续的研究中,有关于电极反应机制的深入理解和优化是实现高温熔盐电池性能突破的关键。

文章链接

Quasi-solid-state electrolyte for rechargeable high-temperature molten salt iron-air battery
https://doi.org/10.1016/j.ensm.2020.11.014

通讯作者介绍

王建强
2006年获复旦大学理学博士学位,同年获德国洪堡奖学金,2006年-2009年在德国慕尼黑工业大学从事博士后研究,2010年至今在中国科学院上海应用物理研究所工作,研究员,博士生导师,长期从事反应堆用熔盐冷却剂和高温储热相关的熔盐物理化学和传蓄热技术、高温电解制氢、燃料电池和高温熔盐电池储能、同步辐射技术在能源材料与化学研究中的应用研究,主持国家级科研项目4个,省级科研项目个,院级科研项目1个,以第一作者和通讯作者的身份在Angew Chem Int Edit、Inorganic Chemistry等众多国内外期刊上发表数篇研究论文。


添加官方微信 进群交流

SCI二氧化碳互助群

SCI催化材料交流群

备注【姓名-机构-研究方向】

说明

🔹本文内容若存在版权问题,请联系我们及时处理。

🔹欢迎广大读者对本文进行转发宣传。

🔹《科学材料站》会不断提升自身水平,为读者分享更加优质的材料咨询,欢迎关注我们。

投稿请联系contact@scimaterials.cn

致谢

感谢本文作者对该报道的大力支持。

【声明】内容源于网络
0
0
科学材料站
内容 0
粉丝 0
科学材料站
总阅读0
粉丝0
内容0