大数跨境

东北师范大学|谢海明教授ESM:梯度变化的固态电解质相间层延长锂金属电池在碳酸酯类电解液中的循环寿命

东北师范大学|谢海明教授ESM:梯度变化的固态电解质相间层延长锂金属电池在碳酸酯类电解液中的循环寿命 科学材料站
2020-10-13
2
导读:该工作设计了一种在金属锂表面原位形成的聚合物-无机物梯度变化的SEI(PIG-SEI)膜,该人工SEI膜由富含PEGDA-co-VC的聚合物外层和富含LiF,Li3N和Cu的无机纳米颗粒内层组成。


文章信息

梯度变化的固态电解质相间层延长锂金属电池在碳酸酯类电解液中的循环寿命
第一作者:卢微
通讯作者:谢海明*, 刘玉龙*
单位:东北师范大学

研究背景

随着电动汽车和插电式混合动力汽车(EVs和PHEVs)市场的不断增长,对更高能量密度电池的需求变得越来越紧迫。具有高理论容量,低电化学势和极低理论密度的锂金属负极被看作下一代锂金属电池的理想负极材料。然而,金属锂与电解质之间的副反应导致形成锂枝晶和死锂,即使经过数十年的努力,这一问题仍未解决。因此,在完全解决其电化学稳定性问题之前,锂金属电池的商业化只是一种幻想。
众所周知,在与有机电解液和锂盐反应之后,金属锂的表面上会形成固态电解质中间相层(SEI)。不幸的是,形成的多孔SEI在反复进行金属锂剥离/沉积过程后很容易破裂,电解液会在破裂的地方继续与暴露出来的新鲜锂发生副反应,导致电解液的不断消耗,而锂金属表面最终被苔藓状或针状的锂枝晶或死锂覆盖,严重的会刺穿隔膜导致电池短路发热起火。由于SEI层的击穿/修复,造成电解液的不断消耗,严重降低了锂金属电池的循环寿命。

文章简介

近日,东北师范大学谢海明教授课题组在国际知名期刊Energy Storage Materials (影响因子:16.28) 上发表题为“Elongating the Cycle Life of Lithium metal Batteries in Carbonate Electrolyte with Gradient Solid Electrolyte Interphase Layer”的研究工作。
该工作设计了一种在金属锂表面原位形成的聚合物-无机物梯度变化的SEI(PIG-SEI)膜,该人工SEI膜由富含PEGDA-co-VC的聚合物外层和富含LiF,Li3N和Cu的无机纳米颗粒内层组成。由PIG-SEI保护的金属锂负极不仅可以改善PIG-SEI膜与金属锂之间的界面接触以及SEI层的锂离子电导率,还可以提高柔韧性和机械强度。
精心设计的PIG-SEI膜可以有效的减少电极液与金属锂的副反应发生,抑制了锂枝晶和死锂的形成,均匀的SEI膜和高锂离子电导率可以调控金属锂在电池循环过程中均匀沉积,最终延长了锂金属电池的循环稳定性。
图一:梯度变化的聚合物-无机物复合固态电解质膜保护的金属锂的结构示意图

本文要点

要点一:原位合成的方法使得形成的PIG-SEI膜均匀致密且与金属锂紧密接触
本文重点关注于关注人造SEI膜和Li金属之间的界面接触,通过简单的原位聚合在金属锂表面形成一层与锂紧密接触的聚合物-无机物复合人工SEI膜,所得到人工SEI膜具有一定的梯度变化结构和良好的均匀一体性。
通过一系列的测试手段证明了PIG-SEI保护的锂负极化学组成与微观结构具有均匀一致性,并且有望有效抑制Li金属与电解质之间的副反应、调控金属锂表面的锂离子均匀沉积。
图二:PIG-SEI的扫描电镜和透射电镜图。

要点二:在少量碳酸酯类电解液添加条件下,锂对称电池保持长循环稳定性。
其次,本文结果证明了通过在金属锂表面上构建梯度变化的SEI层来抑制锂枝晶生长并减少电解质与锂金属之间的副反应的创新策略。在5.0 μL mAh-1的碳酸酯类电解液添加量条件下,锂对称电池仍然能保持长循环稳定性,表明PIG-SEI层可以有效抑制电解液的消耗和锂枝晶的形成。
图三:PIG-SEI保护的金属锂对称电池的电化学性能和循环后的金属锂的扫描电镜和原子力显微镜表征。

要点三:PIG-SEI膜的界面调控作用。
这种PIG-SEI人工SEI对金属锂界面的调控,使金属锂均匀稳定沉积,减少了锂枝晶和死锂的形成。除了原位形成的PIG-SEI与金属锂接触紧密之外,由于在外层富含无机粒子可以打乱聚合物的有序度,内层又富含锂化的聚合物链段和Li3N可以提供连续的锂离子传输通道,从而有效提高了整个PIG-SEI膜的锂离子电导率;并且内部富含具有高表面能和高机械模量的LiF无机粒子,从而有效的抑制了锂枝晶的形成;最后外部有机聚合物层可以提供良好的柔韧性和均匀性,从而缓冲金属锂在循环过程中的体积变化。
图四:PIG-SEI保护的金属锂在循环过程中的形态变化示意图。

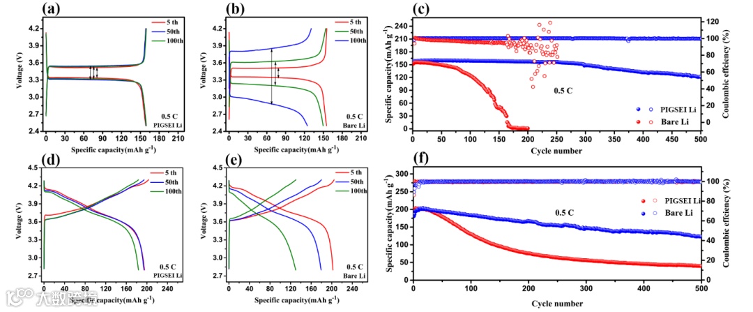
要点四:基于PIG-SEI保护的锂金属电池的电化学性能。
得益于这种均匀的聚合物无机物复合人工SEI的保护,使用这种PIG-SEI保护的金属锂组装的Li || LiFePO4电池和Li || LiNi0.8Co0.1Mn0.1O2电池在少量滴加碳酸酯类电解液条件下(Li || LiFePO4 : 14.3 µL mAh-1, Li || LiNi0.8Co0.1Mn0.1O2 : 14.4 µL mAh-1)均表现出优异的循环稳定性。
图五:Li || LiFePO4电池和Li || LiNi0.8Co0.1Mn0.1O2电池的电化学表征。

结论

在本工作中,针对金属锂负极的与电解液发生副反应和锂枝晶等问题,构筑了一种具有梯度变化结构的聚合物-无机物复合人工SEI膜。该人工SEI膜可以有效的抑制电极液的副反应和锂枝晶的形成,同时展现了良好的的电化学性能。这种PIG-SEI的结构设计可以为下一代高能量密度锂金属电池的金属锂改性提供新的思路。

文章链接

Elongating the Cycle Life of Lithium metal Batteries in Carbonate Electrolyte with Gradient Solid Electrolyte Interphase Layer
https://doi.org/10.1016/j.ensm.2020.09.017

通讯作者介绍

谢海明,现任东北师范大学化学学院功能材料化学研究所教授
动力电池国家地方联合工程实验室主任。十三五国家重点研发计划新能源车专家组专家;物理化学学科带头人PI;化学学院教授委员会委员;吉林省长白山学者,教育部新世纪优秀人才,吉林省首批学科领军教授,首批东师仿吾青年学者,首批东师学者,全国优秀博士毕业学位论文提名奖,获得2014年吉林省战略性新兴产业先进集体,2011年长春市五一劳动奖状,2011年吉林省最佳经济技术创新能手称号。
多年来潜心研究锂离子电池、锂硫电池、锂空电池以及各类电池新型材料,包括磷酸亚铁锂材料、磷酸钒锂、钛酸锂、耐高温隔膜、不燃电解液、磷酸铁锂动力电池、超低温锂离子动力电池等;近年来同加拿大魁北克水电研究院、法国巴黎第六大学等科学家合作开发高安全高能量密度的全固态锂电池,在锂离子动力电池及其材料领域具有较深的研究;多年来一直以产学研方式同企业紧密合作,先后建立了“辽源市鸿图锂电隔膜科技股份有限公司”、“吉林中聚新能源股份有限公司”、“营口航盛科技实业有限公司”、 “长春劲能科技集团股份有限公司”,带动了我国新能源车的快速发展。近年来在Adv. Mater.,Adv. Energy Mater., Mater. Sci. Eng. R, Nano Energy,Energy Storage Mater., J. Mater. Chem. A, ACS Appl. Mater. Interfaces, J. Power Sources等期刊发表论文五十余篇、申请专利二十余项,申请科研项目经费三千余万元。

刘玉龙,副教授,硕士生导师
目前就职于东北师范大学化学学院。隶属于东北师范大学动力电池国家地方联合工程实验室,主要从事锂离子电池和固态锂电池的研究。2013年获得中南大学硕士学位后进入加拿大西安大略大学孙学良院士课题组从事锂电池相关研究。2018年博士毕业后,留组继续从事博士后研究工作。研究合作单位包括加拿大庄信万丰公司(前著名的Phostech公司,具有LiFePO4化学结构和碳包覆的全球专利所有权)和中国国联动力电池研究中心(隶属于北京有色金属研究总院,动力电池国家队), 以及加拿大唯一固态电池研发初创公司(GLABAT Solid-state Battery Inc.,由孙学良院士领衔的科学技术团队)。目前已经在Nature communication,Adv. Mater.,Nano Energy,AEM, ESM, ACS energy letters等高水平期刊发表专业论文多篇。

第一作者介绍

卢微,东北师范大学在读博士生
导师为谢海明教授。研究方向主要为液态与固态锂电池中的金属锂负极的开发与设计。目前以第一作者在Energy Storage Mater., J. Alloys Compd.期刊上发表论文。


添加官方微信 进群交流

SCI二氧化碳互助群

SCI催化材料交流群

备注【姓名-机构-研究方向】

说明

🔹本文内容若存在版权问题,请联系我们及时处理。

🔹欢迎广大读者对本文进行转发宣传。

🔹《科学材料站》会不断提升自身水平,为读者分享更加优质的材料咨询,欢迎关注我们。

投稿请联系contact@scimaterials.cn

致谢

感谢本文作者对该报道的大力支持。

【声明】内容源于网络
0
0
科学材料站
内容 0
粉丝 0
科学材料站
总阅读0
粉丝0
内容0