大数跨境

暨南大学孟辉教授CEJ:让氨基酸呵护锌离子电池正极材料的肌肤

暨南大学孟辉教授CEJ:让氨基酸呵护锌离子电池正极材料的肌肤 科学材料站
2020-11-23
0
导读:本文以MoS2作为正极材料的研究模型,介绍了一种用谷氨酸对其进行表面修饰(Glu-MoS2),以触发界面极化从而加速表面水合锌离子脱水的方法


文章信息

谷氨酸诱发界面极化加速锌离子电池中水合锌离子的脱水
共同第一作者:金彦齐,陈鸿展
通讯作者:金彦烁,史继富,孟辉
单位:暨南大学

研究背景

水系锌离子电池(ZIBs)的负极为金属锌,电解液常为富含Zn2+的中性或近中性水溶液,是一种高安全性、低成本的高容量能源储存装置,被认为是构筑大型储能装置和柔性器件的关键技术。
水溶液不仅赋予了锌离子电池极高的安全性,水合锌离子的结构也有助于缓解锌离子和正极材料之间的静电排斥力。然而,水合锌离子的尺寸远大于正极材料内的隧道尺寸,意味着若要使锌离子从溶液进入到正极材料中,就必须让其脱水以减小尺寸。因此,水合锌离子脱水过程([Zn(H2O)6]2+→6H2O+Zn2+)中的巨大能垒成为了阻碍锌离子电池的发展的“拦路虎”。这会造成正极材料储锌容量下降,也就是电池的能量密度下降。总之,当下锌离子电池研究的挑战就是:如何让锌离子尽可能充分地被嵌入到正极材料中。
研究人员尝试通过开发新型隧道尺寸更大的正极材料以及调节现有正极材料的结构等方法来解决此难题。然而众多研究表明,新材料开发和晶体结构调控的困难性,以及材料结构的稳定性使锌离子电池的发展仍然受到很大的阻碍,科研人员还需要开发出更多优化锌离子电池的方法。

文章简介

近日,暨南大学孟辉教授课题组在国际著名期刊Chemical Engineering Journal(影响因子:10.652)上发表题为“Interfacial polarization triggered by glutamate accelerates dehydration of hydrated zinc ions for zinc-ion batteries”的学术论文。
本文以MoS2作为正极材料的研究模型,介绍了一种用谷氨酸对其进行表面修饰(Glu-MoS2),以触发界面极化从而加速表面水合锌离子脱水的方法。该方法可以大幅提升锌离子电池正极材料的储锌容量和能量密度,操作简单、成本低廉,使锌离子电池更具实用化。

本文要点

要点一:谷氨酸在MoS2上发生极性吸附
本文利用MoS2纳米片对谷氨酸分子进行吸附得到Glu-MoS2,通过红外图像和拉曼图像的位移可以证明谷氨酸分子吸附在MoS2纳米片上。进一步分析拉曼图像中谷氨酸分子吸附对MoS2的振动模式的影响,可得出结论:谷氨酸在MoS2的极性边缘上发生极性吸附。
图一 (a)MoS2,Glu-MoS2和谷氨酸的红外图像。(b)MoS2和Glu-MoS2的拉曼光谱。(c)谷氨酸极性吸附在MoS2的表面。


要点二:谷氨酸修饰后的MoS2(Glu-MoS2)表现出更优秀的亲水性能
谷氨酸修饰后MoS2(Glu-MoS2)纳米片具有更好的亲水性,归因于Glu-MoS2与水之间的接触界面从“ MoS2-H2O”的弱键升级为“ MoS2-谷氨酸-H2O”的强键,从而提高了亲水性。值得注意的是,Glu-MoS2与1M ZnSO4溶液的接触角接近0°,具有很强的润湿性,这可以确保电解液和正极材料形成良好的接触。
图二(a)MoS2和Glu-MoS2的与水的接触角测试。(b)MoS2和Glu-MoS2与水的界面张力示意图。(c)MoS2分别与水和1M ZnSO4溶液的接触角测试。(d)Zn2+发生水合作用的示意图。(e)Glu-MoS2与1M ZnSO4溶液的接触角测试。(f)水合锌离子与Glu-MoS2相互作用的示意图。

要点三:谷氨酸加速水合锌离子脱水的机理
在电化学中,电极表面上双电层的强度足以激活反应物并削弱其化学键。因此水合锌离子内靠近正极的H2O与锌离子之间的相互作用会被减弱。但是,该减弱作用仍不能完全除去水合锌离子的水。谷氨酸的引入则为水合锌离子中的水分子提供了吸附位点。当水合锌离子通过谷氨酸层时,将与水合锌离子中的氧结合, 同时双电层电场还会削弱Zn2+与H2O之间的成键从而促进水合锌离子的脱水。
图三 (a)形成双电层时,吸附在MoS2上的谷氨酸的极性方向转变的示意图。(b)MoS2上的谷氨酸在双电层中的微观示意图。(c)使用Glu-MoS2的锌离子电池中Zn2+的水合,迁移和脱水的示意图。(d)谷氨酸分子协助锌离子脱水的漫画示意图。

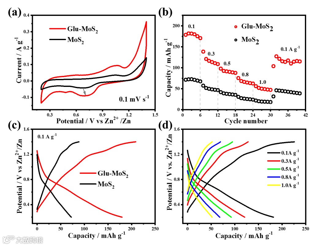
要点四:Glu-MoS2的电化学性能
电化学性能测试可以看出,Glu-MoS2与MoS2相比,在不同电压下的电流密度均增加,在每种电流密度下的比容量也均显着增加,尤其是在0.1A g-1时的比容量从72 mAh g-1增加到182 mAh g-1,这证明了谷氨酸可以提高容量。值得注意的是,Glu-MoS2在第32圈的比容量不如第1圈的,这归因于MoS2本身的稳定性较差。
图四(a)Glu-MoS2和MoS2的CV曲线。(b)Glu-MoS2和MoS2在各电流密度下的循环稳定性。(c)Glu-MoS2和MoS2在0.1 A g-1时的充放电极化曲线。(d)Glu-MoS2在各电流密度下的充放电极化曲线。

要点五:Glu-MoS2充放电时会发生从2H相到1T相的高度可逆转变
Glu-MoS2在充放电阶段经历了从2H到1T相的可逆相变,这可以增加MoS2的电导率。我们猜测,当2H-MoS2中嵌入的锌离子数量足够多时。将自发发生相变。此外,一些工作中提到1T-MoS2中的S具有更好的亲水性,这也会进一步降低水合锌离子脱水的活化能从而提高电池性能。
图五(a)Glu-MoS2在100 mA g-1时的充放电极化曲线。(b)Glu-MoS2在不同充放电深度下的拉曼光谱。(c)MoS2在100 mA g-1时的充放电极化曲线。(d)MoS2在不同充放电深度下的拉曼光谱。

结论

由于谷氨酸表面修饰并没有改变材料本身的结构,因此该方法对其他正极材料也具有很大的适配性,这一点是难能可贵的。基于上述观点,这种利用氨基酸对材料进行表面修饰的方法具有广泛的通用性,不仅简单、成本低,而且可以有效提高电池的性能。因此,我们认为该策略将对ZIBs的未来的发展方向具有指导意义。

文章链接

Interfacial polarization triggered by glutamate accelerates dehydration of hydrated zinc ions for zinc-ion batteries
https://doi.org/10.1016/j.cej.2020.127704

通讯作者介绍

孟辉,暨南大学理工学院教授。
中山大学材料物理与化学专业博士。先后在加拿大国家科学研究院、美国布鲁克海文国家实验室从事研究工作。先后任教于华南理工大学和中山大学。获得2013年国家自然科学奖二等奖、2011年广东省自然科学奖一等奖、2013年广州市珠江科技新星、2014年暨南杰青、2016年中国分析测试协会科学技术奖一等奖。主要研究方向包括:新能源与环保材料和器件。

史继富,暨南大学理工学院教授。
先后入选广东省特支计划 “科技创新青年拔尖人才”、 中国科学院青年促进会会员、“珠江科技新星”,荣获唐山市科技进步一等奖、首届中科院柏克创新人才-青年人才奖等。主持国家自然科学基金两项、中科院区域重点课题一项(560万)、广东省工程技术中心后资助项目及粤港合作项目等十几项科研项目。

金彦烁 博士
于2018年作为引进人才加入暨南大学,入职两年来以第一作者和通讯作者发表一区论文6 篇,其中1篇发表在能源领域顶级期刊ACS Energy Letters(IF:19.003)。共指导本科生以第一作者发表一区论文 3篇,并获得 “挑战杯”广东省赛三等奖、广东省材料创新大赛无机非金属材料赛区一等奖等奖项。

课题组介绍

http://muchong.com/t-13052822-1


添加官方微信 进群交流

SCI二氧化碳互助群

SCI催化材料交流群

备注【姓名-机构-研究方向】

说明

🔹本文内容若存在版权问题,请联系我们及时处理。

🔹欢迎广大读者对本文进行转发宣传。

🔹《科学材料站》会不断提升自身水平,为读者分享更加优质的材料咨询,欢迎关注我们。

投稿请联系contact@scimaterials.cn

致谢

感谢本文作者对该报道的大力支持。

【声明】内容源于网络
0
0
科学材料站
内容 0
粉丝 0
科学材料站
总阅读0
粉丝0
内容0