大数跨境

刘利彬教授AFM:离子跳跃迁移使得两性离子水凝胶在-40°C低温下具有高导电性

刘利彬教授AFM:离子跳跃迁移使得两性离子水凝胶在-40°C低温下具有高导电性 科学材料站
2021-01-31
2
导读:该工作中制备了一种新型的两性离子聚合物水凝胶(polySH)电解质。聚合物链上的阴离子和阳离子基团促进LiCl的解离。


文章信息

离子跳跃迁移使得两性离子水凝胶在-40°C低温下具有高导电性
第一作者:杨健波
通讯作者:刘利彬*
单位:齐鲁工业大学(山东省科学院)

研究背景

随着全球能源需求的增加,对高效储能设备的发展提出了更高的要求。超级电容器(SC)作为一种新型的储能器件,由于其充放电时间快、使用寿命长而备受关注。液态和固态在内的电解质是SC必不可少的部。
与液态电解质相比,固态电解质电导率低是储能器件高性能的主要缺点。水凝胶电解质作为一种新型的固态电解质,由于其较高的室温电导率,在储能设备中得到了广泛的应用。然而,在0℃时,水凝胶电解质的导电性将大大降低,因为水凝胶网络中的水溶剂将不可避免地在低温下冻结。对极低零下温度环境的耐受性差,限制了水凝胶固态SC的应用。因此,如何在不降低水凝胶低温柔韧性的前提下获得高电导率是一个重要的挑战。

文章简介

近日,齐鲁工业大学(山东省科学院)刘利彬教授在国际知名期刊Advanced Functional Materials上发表题为“Antifreezing Zwitterionic Hydrogel Electrolyte with High Conductivity of 12.6 mS cm−1 at −40 °C through Hydrated Lithium Ion Hopping Migration”的研究工作。
本文制备了一种新型两性离子聚合物水凝胶(polySH)电解质。聚合物链上的阴、阳离子基团促进了LiCl的解离。防冻电解质在-40°C的低温下保持良好的柔韧性和导电性,具有12.6 mS cm-1的优良导电率。
文章进一步提出了水合锂离子通过两性离子基团的直接跳跃迁移机理。由于其优异的低温性能,在离子导体和超级电容器(SC)的低温应用中具有优异的性能。polySH电解质基SC在60℃时表现出178 mF cm-2的高比电容,在−30℃时表现出134 mF cm-2的高比电容,并且在10000次循环后保持初始电容的81%和71%。水凝胶电解质的整体优势将为离子导体和储能设备的实际应用提供一定的参考。

本文要点

要点一:防冻水凝胶的制备及离子跳跃式迁移
图1 a)防冻polySH水凝胶及其网络结构示意图。b)DFT计算polySH电解质中不同成分之间的相互作用。c)polySH和polyHEA电解质中盐离子的MSD。d)不含盐的polySH水凝胶中两性基团之间的静电相互作用,以及e)在polySH电解质中建议的Li+迁移机理,其中水合的Li+跳跃通过-SO3-位。

图2 a)polySH,polyHEA和PVA电解质的离子电导率。b)具有不同LiCl含量的polySH电解质的粘弹性。不同盐浓度的聚SH电解质中c)-SO3-和d)-N+(CH3)2的拉曼光谱。
本文设计了两性离子单体SBMA和含氧官能团单体HEA制备两性离子水凝胶电解质。同时存在于SBMA上的阴, 阳离子基团被认为是Li+和Cl-的结合位点,有利于锂盐的解离。
此外,还认为Li+在电场作用下会在两性基团中跳跃和迁移。DFT计算表明,Li+更倾向于与SO3-位结合,离子在SBMA中的扩散速率远高于HEA。其他表征技术,如流变测试和拉曼模拟也证实了这一推测。

要点二:锂离子的高水化作用导致水凝胶电解质优异的抗冻性
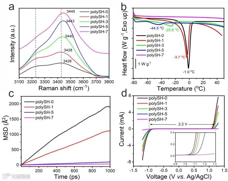
图3 polySH电解质防冻性能的实验验证。
由于Li+的水化程度较高,Li+的迁移也与Li+(H2O)n的水化结构有关,这也有助于提高polySH电解质的抗冻性。由于Li-H2O之间的相互作用,拉曼光谱中的水分子峰发生了相应的变化。
DSC分析表明,不同的LiCl含量使水凝胶具有不同的冰点。MSD模拟表明,LiCl的含量对水分子的扩散速率有影响,抑制水分子的活性改变了电解质的电化学窗口。

要点三:水凝胶电解质低温下良好的导电性和柔韧性
图4 a)在不同温度下,polySH电解质的离子电导率。b、c)聚SH-7电解质在不同温度下力学性能。d)连接到LED灯的polySH-7电解质的电路照片。e)polySH-7电解质在不同温度下的电阻响应。f)在低温的恒定拉伸和释放循环下,polySH-7电解质的电阻响应。
LiCl的添加极大地影响了电解质体系中水分子与两性离子聚合物链之间的相互作用,并使polySH电解质在低温下具有出色的柔韧性和高离子电导率,最高可达12.6 mS cm-1。这种出色的低温性能使得水凝胶在低温离子导体的应用中也有一定的前景。

要点四:零度以下防冻和柔性SC的开发  
图5 基于polySH的SC在不同温度下的电化学性能。
由于水凝胶电解质优异的低温性能和保水性,应用在SC中时也表现了良好的宽温度电化学性能。SC在60°C时表现出178 mF cm-2的高比电容,在−30°C时表现出134 mF cm-2的高比电容,并在10000个循环下分别保留了初始电容的81%和71%。而且低温并未对SC造成不可逆的损害,在多次冻融循环后仍然能够正常工作。

图6 在各种应变下基于polySH的SC的电化学性能
除具有防冻性能外,固态SC还具有灵活性,可以避免在实际应用中损坏,从而延长使用寿命。SC无论是在面对大角度扭曲还是重压等大应变时,均保持了良好的电化学性能。
这一方面来源于水凝胶电解质的柔韧性,另一方面来源于水凝胶较好的粘附性,保证了电容器整体的结构完整性。在进行串并联后,SC的电压和放电时间均相应增大,展现了实际应用的潜力。

文章链接

Antifreezing Zwitterionic Hydrogel Electrolyte with High Conductivity of 12.6 mS cm−1 at −40 °C through Hydrated Lithium Ion Hopping Migration
https://doi.org/10.1002/adfm.202009438

通讯作者介绍

刘利彬 教授.
韩国延世大学化学专业博士,先后在韩国首尔国立大学、美国佐治亚理工学院、香港理工大学做研究工作,长期从事高性能固态电解质和特殊润湿性生物质材料的研究与开发,目前已承担国家自然科学基金、山东省自然科学基金和山东省重点研发计划多项,以第一作者或通讯作者身份在Nature Commun, Adv. Funct. Mater., J. Mater. Chem. A, ACS Appl. Mater. Inter., Chem. Eng. J., J. Power Source等国际权威期刊发表论文40余篇,ESI高被引论文3篇;授权国家发明专利10余项,专利转让4项;获得山东省自然科学二等奖(第一位)(2020年)、第十一届济南市青年科技奖(2016年)、山东省高校科学技术一等奖(第一位)(2016年),2019年入选山东省科普专家人才库工程技术类专家、2020年聘为山东省知识产权公共服务平台智库专家。


添加官方微信 进群交流

SCI二氧化碳互助群

SCI催化材料交流群

备注【姓名-机构-研究方向】

说明

🔹本文内容若存在版权问题,请联系我们及时处理。

🔹欢迎广大读者对本文进行转发宣传。

🔹《科学材料站》会不断提升自身水平,为读者分享更加优质的材料咨询,欢迎关注我们。

投稿请联系contact@scimaterials.cn

致谢

感谢本文作者对该报道的大力支持。

【声明】内容源于网络
0
0
科学材料站
内容 0
粉丝 0
科学材料站
总阅读0
粉丝0
内容0