大数跨境

贺涛研究员、宋礼教授,JMCA:ZnS纳米片中不同空位缺陷的简易调控及高效太阳燃料制备

贺涛研究员、宋礼教授,JMCA:ZnS纳米片中不同空位缺陷的简易调控及高效太阳燃料制备 科学材料站
2021-03-17
1
导读:该工作通过改变退火气氛(氩气和空气),在ZnS纳米片中成功构筑了VS和VZn-VS-VZn两类空位缺陷,实现了高效制备太阳燃料


文章信息

ZnS纳米片中不同空位缺陷的简易调控及高效太阳燃料制备
第一作者:李盼,国家纳米科学中心,商丘师范学院
通讯作者1:贺涛,国家纳米科学中心,中国科学院大学
通讯作者2:宋礼,中国科学技术大学

研究背景

太阳燃料的高效制备有望同时缓解能源短缺和碳排放等问题,且具有污染小、反应条件温和、耗能低等优点,已成为国际学术界的研究热点。ZnS是一种重要的II-VI族过渡金属硫化物,由于具有光生载流子产生效率高、光生电子还原能力强等特点而备受关注。
同时,缺陷工程是调控半导体纳米催化剂光催化性能的重要手段,已引起了广泛关注。因为在无机半导体中能形成若干种不同类型的缺陷,所以如何简易地调控ZnS中不同类型的空位缺陷、并揭示其对太阳燃料生产的影响机制,是一个巨大的挑战。
此外,光催化CO2还原反应(CO2RR)和光解水析氢反应(HER)均可生成太阳燃料,但同时它们之间存在着相互竞争,因此,阐明各缺陷对CO2RR和HER选择性的影响也是一个极具挑战性的课题。

文章简介

基于此,来自国家纳米科学中心的贺涛研究员与中国科学技术大学的宋礼教授合作,在国际知名期刊Journal of Materials Chemistry A上发表题为“Facile modulation of different vacancies in ZnS nanoplates for efficient solar fuel production”的研究文章。
该工作通过改变退火气氛(氩气和空气),在ZnS纳米片中成功构筑了VS和VZn-VS-VZn两类空位缺陷,实现了高效制备太阳燃料
同时,深入系统地研究了这些缺陷对光生载流子分离、CO2的吸/脱附与活化、以及还原产物吸/脱附等的影响,并探索了其对CO2RR和HER选择性的影响机制。该工作对通过缺陷工程策略设计高效半导体基光催化剂具有重要的指导意义。

本文要点

要点一:ZnS中VS和VZn-VS-VZn两类缺陷的构筑及光催化性能
以ZnS(en)0.5为前驱体,分别在氩气和空气中进行热处理,得到的样品分别标记为ZnS-Ar和ZnS-Air。
图1(a)和(b)为所得样品的TEM图像,从中可以看出纳米片的形貌特征,而且两种热处理得到的纳米片具有相似的形貌和尺寸大小,从而保证了后续研究的合理性。
图1(c)和(d)选区电子衍射图案中排列整齐且明亮的衍射斑点表明两种ZnS纳米片均具有良好的单晶性,且在两种样品的HRTEM图像中均观察到了分别对应于ZnS的(002)、(101)和(100)晶面(图1(e) 和(f))。
图1. 分别在(a,c,e)氩气和(b,d,f)空气中退火得到的ZnS样品的TEM, SAED和HRTEM图。

根据图2的各种表征结果,ZnS-Ar纳米片的主要缺陷是VS,而ZnS-Air的主要缺陷是VZn-VS-VZn。
实验发现,两种样品光催化还原CO2的主要产物均为CO,同时伴有大量H2产生,从图3的光催化结果可以看出,ZnS-Ar比ZnS-Air表现出更高的光催化生成太阳燃料性能(CO2RR和HER)和生成CO的选择性。
图2. 所得ZnS样品的(a-b) EELS谱图, (c-d) EXAFS谱图, (e) ESR谱图, (f)正电子湮灭谱图。

图3. 光照4 h后ZnS样品的光催化还原结果。

要点二:缺陷对太阳燃料生成性能的影响
缺陷能影响ZnS纳米片的各种理化性质,如ZnS-Air纳米片的禁带宽度比ZnS-Ar更窄,进而影响其光催化性能。
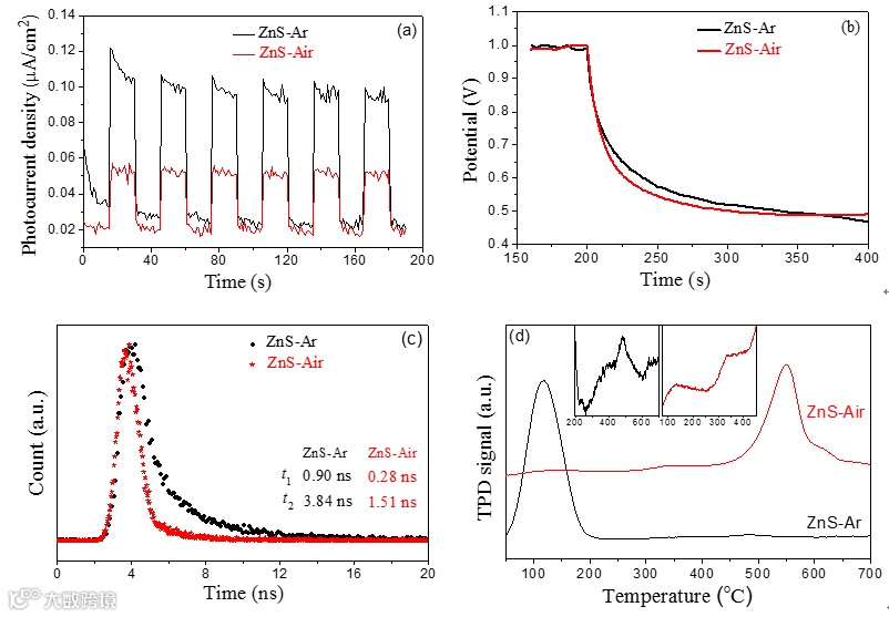
瞬态光电流谱、瞬态开路电压衰减曲线和时间分辨荧光光谱等结果(图4(a-c))均表明,ZnS-Ar纳米片比ZnS-Air具有更高的光生载流子分离效率,即相比于ZnS-Air纳米片中的主要缺陷VZn-VS-VZn,ZnS-Ar纳米片中的主要缺陷VS更有利于光生载流子的有效分离。
同时发现,由于不同空位缺陷的影响,ZnS-Ar纳米片的导带电位(−2.45 V)比ZnS-Air (−2.0 V)更负。因此,ZnS-Ar纳米片表现出比ZnS-Air更高的光催化性能。
图4. (a)瞬态光电流谱图, (b)瞬态开路电压衰减曲线, (c)时间分辨荧光光谱, (d) CO2程序升温脱附(TPD)曲线。

DFT理论计算结果(表1)表明,无论是对于反应物(CO2和H2O),还是产物(CO和H2),缺陷VZn–VS–VZn 均具有更高的吸附能,反应物吸附过强,不利于其活化和参与反应,而产物吸附过强,不利于其脱附,进而阻碍了后续催化反应的进行。
图4(d)的CO2程序升温脱附结果进一步证明了缺陷VZn-VS-VZn对反应物CO2的吸附远强于缺陷VS。这就从动力学上解释了ZnS-Ar纳米片具有更高光催化性能的原因。
表1. 反应物和生成物在两类缺陷上的吸附能(eV)

要点三:缺陷对CO2RR和HER竞争反应选择性的影响
由图3可知,相比于CO2RR,ZnS-Ar和ZnS-Air纳米片均表现出了更高的析氢活性,而且ZnS-Ar纳米片比ZnS-Air具有更高的CO生成选择性,这与反应物和产物在两类缺陷的吸脱附行为密切相关。
由DFT理论计算结果可知(表1),产物H2在两类缺陷的吸附均明显弱于CO在其上的吸附,这从动力学上解释了两种ZnS纳米片均具有更高的析氢活性。而CO2等温吸附结果表明,虽然ZnS-Ar纳米片的BET比表面积仅为ZnS-Air的2倍左右,但其CO2化学吸附量( 4.39 cm3 g−1)却远高于后者(0.65 cm3 g−1)。
特别地,原位红外测试结果(图5)也证明缺陷VS更有利于CO2的吸附与活化。这就解释了为什么ZnS-Ar纳米片具有更高的CO2RR活性。
图5. CO2光催化还原反应进行时分别在(a)ZnS-Air和(b)ZnS-Ar的in situ DRIFTS图。

另外,图6中HER和CO2RR的吉布斯自由能变化结果表明,以缺陷Vs为主的ZnS-Ar在热力学上更有利于CO的产生。因此,ZnS-Ar纳米片表现出更高的CO生成选择性(较低的HER选择性)。
图6. 在不同缺陷上HER (左) 和CO2RR (右) 吉布斯自由能的变化,(a) VS,(b) VZn-VS-VZn。

文章信息

Facile modulation of different vacancies in ZnS nanoplates for efficient solar fuel production
https://pubs.rsc.org/en/content/articlelanding/2021/TA/D0TA12400A#!divAbstract

通讯作者介绍

贺涛 研究员。
2002年在中国科学院化学所获得博士学位,之后分别在以色列魏兹曼科学院和美国莱斯大学从事博士后研究工作。2009年7月加入国家纳米科学中心,并于同年底入选中国科学院“项目百人计划”。长期从事能源与环境纳米催化的研究,特别是半导体纳米催化剂的精准制备与太阳燃料的高效制备,通过调控纳米催化剂的形貌、晶面、缺陷、以及掺杂、构筑异质结、与具有表面等离激元效应的贵金属纳米颗粒结合等,深入系统研究光电催化反应机理,以最终实现绿色、可持续的高效太阳燃料制备,近几年以通讯作者在Appl Catal B, J Mater Chem A和ACS AMI等学术期刊发表研究论文60余篇。

宋礼 教授。
 2006年于中国科学院物理研究所获凝聚态物理博士学位,师从解思深院士,之后在德国慕尼黑大学、美国莱斯大学和日本信州大学开展科学研究,历任洪堡学者、博士后和副教授。2012年加入中国科学技术大学国家同步辐射实验室,曾入选中科院百人计划、科技部中青年科技创新领军人才,担任中国物理学会同步辐射专业委员会委员、四刊联合青年编委,长期致力同步辐射技术及其应用研究。近5年以通讯作者在Nature Energy, Energy & Environmental Science, Advanced Materials等期刊发表SCI论文80余篇。迄今论文总引用20000余次,H因子71,入选科睿唯安全球高被引科学家。

第一作者介绍

李盼,商丘师范学院讲师。
2019年毕业于中国科学院大学(国家纳米科学中心)物理化学专业获理学博士学位,导师贺涛教授。研究方向为光催化还原CO2,以第一作者在Appl. Catal. B: Environ., J. Mater. Chem. A, ACS Appl. Mater. Interfaces, Chinese. J. Catal.等国际期刊上发表论文10篇。


添加官方微信 进群交流

SCI二氧化碳互助群

SCI催化材料交流群

备注【姓名-机构-研究方向】

说明

🔹本文内容若存在版权问题,请联系我们及时处理。

🔹欢迎广大读者对本文进行转发宣传。

🔹《科学材料站》会不断提升自身水平,为读者分享更加优质的材料咨询,欢迎关注我们。

投稿请联系contact@scimaterials.cn

致谢

感谢本文作者对该报道的大力支持。

CO2RR材料需求?点击"阅读原文"

【声明】内容源于网络
0
0
科学材料站
内容 0
粉丝 0
科学材料站
总阅读0
粉丝0
内容0