大数跨境

Applied Catalysis B:COF源氮掺杂碳锚定过渡金属离子用于高效CO2电化学还原

Applied Catalysis B:COF源氮掺杂碳锚定过渡金属离子用于高效CO2电化学还原 科学材料站
2021-01-30
0
导读:本文报道了一种基于共价有机框架化合物的通用过渡金属离子配位模体用于CO2电化学还原反应。


文章信息

一种基于共价有机框架的通用过渡金属离子配位模体用于高效CO2电化学还原
第一作者:赵勇
通讯作者:王彩云*,郝龙*,Gordon Wallace*
单位:伍伦贡大学,青岛农业大学,迪肯大学

研究背景

利用可再生的清洁电能将二氧化碳(CO2)还原为增值化学品(如一氧化碳CO)是一种减少CO2排放、缓解全球变暖的有效途径。开发高效稳定的催化剂是推动此技术得以工业化应用的关键。
在诸多催化剂中,过渡金属和氮共掺杂的碳系催化剂(M-N-C)由于材料成本低、CO催化选择性优异等特点近年来备受研究者的青睐。过渡金属中心的种类、配位环境及基体的导电性是影响催化活性的重要因素,其中不饱和配位(M-Nx)环境要比饱和配位(M-N4)环境对CO形成更加有利。
惰性氛围下高温煅烧金属离子和碳前驱体是制备M-N-C催化剂的普遍方法,然而,该方法不仅经常产生对CO2还原反应不利的金属纳米颗粒,而且不易于调控金属中心的局域配位环境。在相同的制备条件下,该方法经常将不同的金属物种(Fe, Co, Ni)转变为配位结构相似(如M-N4)的M-N-C催化剂,造成不同催化剂的性能产生巨大差异(Ni>Fe≫Co),从而无法发挥出每种金属中心的本征优异催化活性,尤其是对配位敏感的金属Co。
将过渡金属离子直接锚定到分子结构可控的有机多孔材料(如共价有机网络、氮化碳、氧化石墨烯等)是一种制备高选择性M-N-C催化剂的有效方法。然而,已报道的这类催化剂的电活性(即CO表观电流密度)仍极大地受到基底材料导电性差的限制;而且,目前对这种异相基体上的金属离子配位用于CO2电还原反应仍缺乏系统的研究。
探索有效的方法以协调金属中心物种、配位环境、基底导电性这三种因素并系统研究决定金属中心活性的基底结构因素,是制备高选择性、高活性M-N-C型CO2还原催化剂的关键。

文章简介

近日,来自澳大利亚伍伦贡大学的王彩云副教授、Gordon Wallace教授与青岛农业大学的郝龙教授合作,在国际学术期刊Applied Catalysis B: Environmental上发表题为“A Versatile Transition Metal Ion-Binding Motif Derived from Covalent Organic Framework for Efficient CO2 Electroreduction”的研究文章,报道了一种基于共价有机框架化合物的通用过渡金属离子配位模体用于CO2电化学还原反应。
该工作采用离子热处理的有机共价框架(前期工作:10.1021/jacs.8b08282; 10.1021/ja508693y)为含氮基底材料、然后在有机相进行金属离子配位的方法,制备了三种常见过渡金属的M-N-C催化剂(M = Co, Fe, Ni),三者均在中低过电位下展现出优异的CO2向CO转化的催化活性和选择性。
通过系统的结构性能分析,揭示了氮掺杂碳基底(孔分布及氮掺杂类型)在锚定过渡金属离子、形成配位不饱和M-Nx活性位点过程中的重要作用。
图1. 共价有机框架演变的氮掺杂碳配位不同过渡金属离子用于高效CO2电化学还原

本文要点

要点一:Co-mNCCOF催化剂的制备及结构表征
图2. 催化剂制备过程示意图和结构表征。(a)Co-mNCCOF催化剂的制备过程示意图,(b)扫描电子显微镜照片,(c)球差校正高角暗场透射电子显微镜照片,(d)能量散射谱元素分析,(e)Co2p局域XPS谱图,(f)N1s局域XPS谱及分峰谱图,(g)mNCCOF材料配位Co2+前后的N2吸脱附曲线及局域孔径分布图。
本文首先以文献中常见的性能较差的金属Co元素为例,合成了Co-mNCCOF催化剂。由透射电镜暗场照片以及元素分布结果可以看出材料表面均匀分布的独立金属位点;XPS分析显示Co金属的价态应该介于+2~+3之间,表明配位不饱和的Co-Nx结构;氮气吸附/脱附分析可以明显看出,金属钴离子是主要被配位稳定在3~5 nm尺寸的介孔中。

要点二:Co-mNCCOF催化剂CO2电催化还原性能
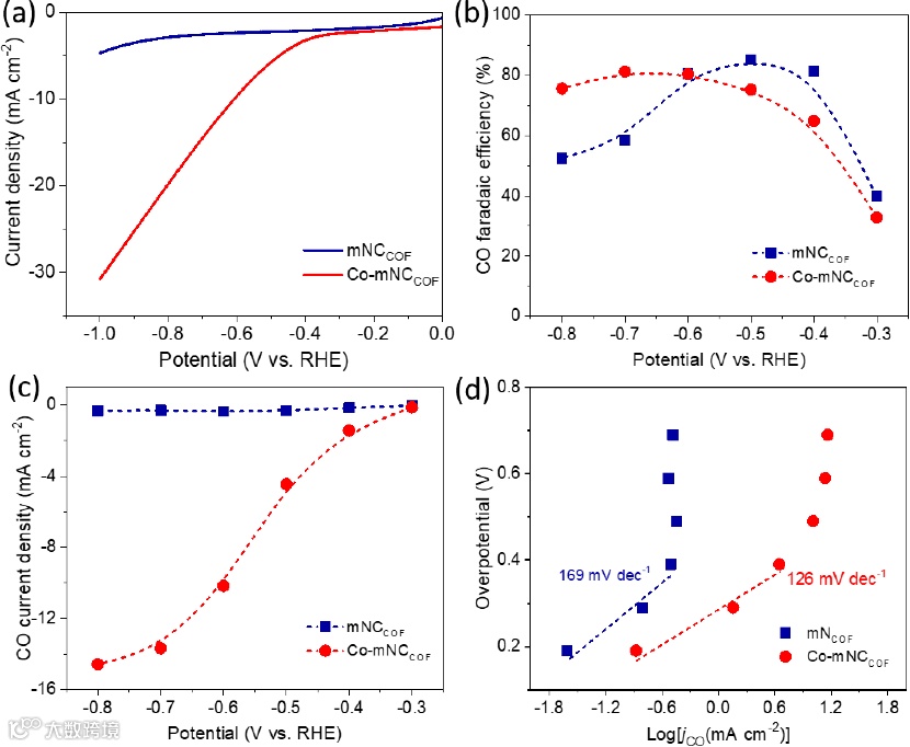
图3. Co-mNCCOF及mNCCOF催化剂在0.5M KHCO3溶液中的CO2电催化还原性能。(a)线性扫描曲线对比,(b)CO选择性对比,(c)CO分电流对比,(d)Tafel曲线对比。
相对于mNCCOF基底材料,配位了钴离子之后的Co-mNCCOF催化剂展现出明显降低的CO2活化阻碍,极大的提高了CO形成的表观电流密度,其CO的选择性也发生明显改变,在中高过电位(-0.6V ~ -0.8V)下尤为明显。

要点三:Fe-mNCCOF和Ni-mNCCOF催化剂的CO2电催化还原性能
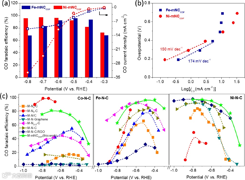
图4. Fe-mNCCOF及Ni-mNCCOF催化剂在0.5M KHCO3溶液中的CO2电催化还原性能(a)及Tafel分析(b),(c)本文三种催化剂与文献报道的用统一方法所制备的三种M-N-C催化剂的CO 选择性对比。
这种介孔氮掺杂碳基体也可以锚定Ni和Fe离子,同样形成配位不饱和的Ni-Nx或Fe-Nx催化中心,所制备的Fe-mNCCOF及Ni-mNCCOF催化剂也展现出优异的CO选择性和活性。
与文献报道的催化剂相比,本文方法所制备的三种M-N-C催化剂均在中低过电位下,各自表现出优异的CO2电催化还原性能,这与常见的催化活性顺序Ni-N-C > Fe-N-C ≫ Co-N-C形成鲜明对比,显示了该方法的高效性和统一性。

要点四:探究氮掺杂碳基体在锚定金属离子形成M-Nx位点中的作用
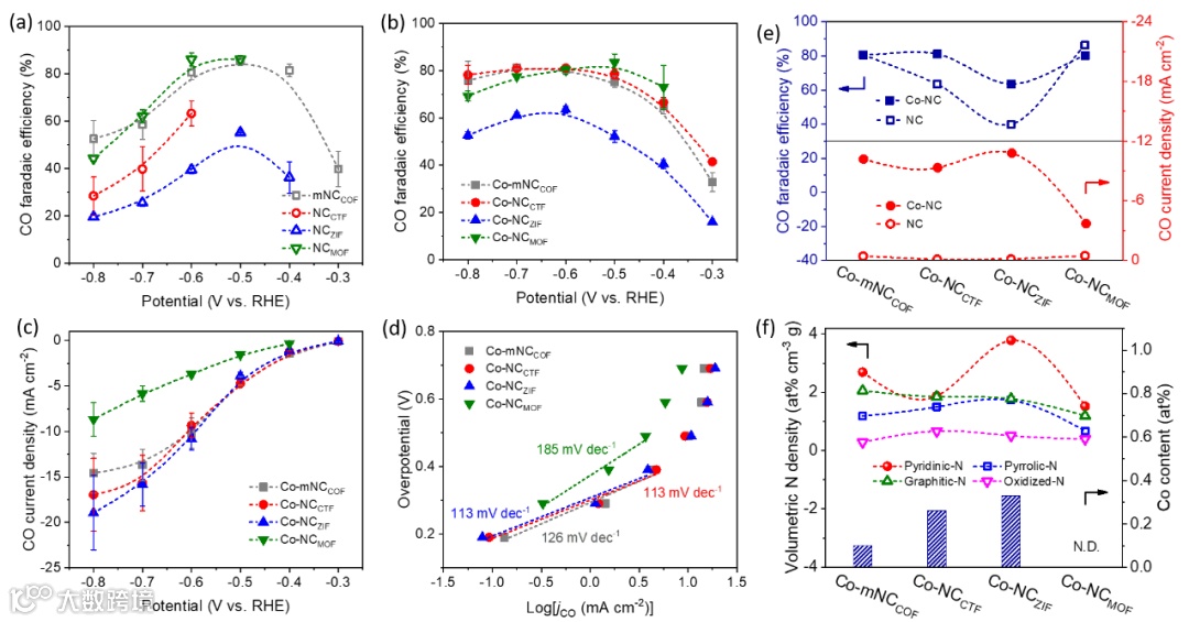
图5. (a-d)四种不同N-C基体及其对应Co-NC催化剂的CO2电催化还原性能:N-C基体的CO选择性(a),Co-NC的CO选择性(b)、分电流密度(c)以及Tafel曲线分析(d)。(e-f)四种不同Co-NC催化剂的催化活性与Co-N物种的关联分析:(e)Co-NC催化剂及其对应的NC基体在-0.6V电位下的CO选择性和分电流密度;(f)Co原子含量及不同N物种的体积密度的关联。
为了探索不同碳基底材料对于过渡金属离子(以Co2+为例)配位的影响,我们用同样的方法处理另外三种常见的含氮前驱体(即MOF, CTF, ZIF)以制备不同的N-C基体,进而制备三种不同的Co-N-C催化剂。这三种材料具有不同的比表面积、孔分布、氮掺杂类型、氮掺杂量、Co含量,因而在CO2还原中展现出不同的CO选择性和活性。
通过将这几种影响因素进行关联分析,可以看出:所形成的Co-N中心的催化选择性(FECO)与经常被认定为活性中心的吡啶N的密度并无明显的正相关性,而催化活性(CO电流密度)与基体材料中吡啶型N的体积密度和Co含量展现较强的正相关性,说明碳基底的孔结构和N掺杂类型对于过渡金属离子的配位锚定以及所形成M-N-C催化剂的催化活性具有显著影响。
另外,被配位锚定的Co原子含量与基体材料中的吡咯型N的体积密度具有很强的正相关性,这表明在碳基体材料表面配位嵌入的过程中,Co离子主要被稳定在同时含有吡咯型N和吡啶型N的介孔之中,形成有利于CO2电催化还原的配位不饱和Co-Nx结构。

文章链接

A Versatile Transition Metal Ion-Binding Motif Derived from Covalent Organic Framework for Efficient CO2 Electroreduction
https://www.sciencedirect.com/science/article/abs/pii/S0926337321000412

通讯作者介绍

王彩云, 副教授。
澳大利亚伍伦贡大学(University of Wollongong)智能高分子研究所(Intelligent Polymer Research Institute)副教授,1991年于山东师范大学获得理学学士学位,1994年于南开大学获得硕士学位,2004年于澳大利亚伍伦贡大学获得博士学位。目前已在Advanced Material, ACS Energy Letters, Advanced Energy Materials, Advanced Functional Materials, Chemistry of Materials等业内顶级期刊发表论文110余篇,总引用数超过4700次,H因子39。担任Engineered Science 编辑,Scientific Report和Chinese Chemistry Letters 编委,Angewandte Chemie, Advanced Materials, Advanced Energy Materials, Nano Energy等杂志审稿人。研究兴趣包括:导电聚合物和2D材料在可穿戴的、具有生物相容性的储能领域的研发,电催化CO2还原中的金属纳米结构和杂原子掺杂碳材料催化剂的研究等。

郝龙 教授.
青岛农业大学化学与药学院特聘教授,2010年于中国农业大学(理学院化学系)获学士学位,2015年于国家纳米科学中心纳米系统与多级次制造重点实验室获理学博士学位,2015年7月加入青岛农业大学化学与药学院、组建纳米功能材料课题组,研究兴趣包括:共价有机网络(COF)的合成及应用,结构可控碳材料的制备及功能化,能源存储及催化。目前已在国际著名学术期刊Journal of the American Chemical Society,Advanced Materials,Energy & Environmental Science等发表论文25 篇,总引用数超过1500次,H因子18,授权中国发明专利5项。担任Tetrahedron Letters、Journal of Alloys and Compounds、无机化学杂志审稿人。(课题组主页:http://hxyyxy.qau.edu.cn/channel/haolong)

Gordon Wallace  教授.
澳大利亚伍伦贡大学(University of Wollongong)卓越教授,智能高分子研究所(Intelligent Polymer Research Institute)所长,澳大利亚研究理事会电材料科学卓越中心(ACES)执行主任,澳大利亚国家制造研究所 (材料中心) 主任,细胞工程与印刷转化研究项目主任, 澳大利亚技术科学与工程学院、澳大利亚科学院院士,澳大利亚研究委员会(Australian Research Council)桂冠教授(Laureate Fellow)。主要从事能源与医疗领域新型材料的开发与研究并致力于将发现转化为实际应用,发表论文1100多篇,总引用超56500次,H因子102。


添加官方微信 进群交流

SCI二氧化碳互助群

SCI催化材料交流群

备注【姓名-机构-研究方向】

说明

🔹本文内容若存在版权问题,请联系我们及时处理。

🔹欢迎广大读者对本文进行转发宣传。

🔹《科学材料站》会不断提升自身水平,为读者分享更加优质的材料咨询,欢迎关注我们。

投稿请联系contact@scimaterials.cn

致谢

感谢本文作者对该报道的大力支持。

CO2RR材料需求?点击"阅读原文"

【声明】内容源于网络
0
0
科学材料站
内容 9163
粉丝 0
科学材料站
总阅读9.0k
粉丝0
内容9.2k