大数跨境

KAUST AFM: MXene@COF 二维纳米片的共价组装与在锂电的应用

KAUST AFM: MXene@COF 二维纳米片的共价组装与在锂电的应用 科学材料站
2021-04-21
2
导读:该文章指出,通过将二维共价有机框架(COF)共价生长在导电的超薄二维MXene纳米片上,实现了一种新型的二维有机/无机异质纳米片结构。


文章信息

共价组装二维MXene@COF异质结实现稳定性锂金属负极
第一作者:Dong Guo (郭冬)
通讯作者:Zhiping Lai (赖志平) 教授
单位:沙特阿卜杜拉国王科技大学

研究背景

锂金属具有高比容量,低电位的特定,被视为锂电池中最有前途的负极材料。然而,锂枝晶的生长严重影响了锂金属负极的稳定性和电池的安全性。本文展示了一类二维异质结构组成的三维锂金属宿主材料,在实现无枝晶的锂金属沉积方面展示了独特的优势。

文章简介

基于此,来自沙特阿拉伯国王科技大学(KAUST)的赖志平教授团队,在国际知名期刊Advanced Functional Materials上发表题为“Covalent Assembly of Two-Dimensional COF-on-MXene Heterostructures Enables Fast Charging Lithium Hosts”的文章。
该文章指出,通过将二维共价有机框架(COF)共价生长在导电的超薄二维MXene纳米片上,实现了一种新型的二维有机/无机异质纳米片结构。实验表明,这种大量的纳米级的二维COF上孔道,在调控锂离子在整个电极上的均匀的传递起到重要作用。
同时,MXene的高电子导电性提升了锂离子在整个电极上的沉积动力学,避免了电荷积累。并且,理论计算结合动力学分析表明,COF 孔道内的C=N基团在放电过程中经历了一定程度的锂化。这种在锂沉积之前的锂化,使整个多孔纳米片具有良好的亲锂性,从而实现了极低的锂成核过电位。

本文要点

要点一:基于MXene的二维界面多孔的MXene@COF纳米片的合成。
本文首次报道了在二维导电MXene上共价生长二维COF的可能性。首先利用水解反应,对MXene 表面氨基化。随后通过调控席夫碱反应,实现了COF-LZU1在MXene上的均匀生长。
图1. MXene@COF异质结构的合成示意图和相关纳米片的形貌表征。

图2. (a-d)MXene@COF异质结构的结构及物性表征。(e-f) 由MXene@COF异质结构形成的三维Li宿主的孔结构表征。

要点二:探索了MXene@COF中锂离子传输和沉积的动力学机制
引入的COF孔道对电极上的锂离子实现了分子水平上的均匀分布,这对无枝晶锂沉积具有决定性作用。同时,理论计算和循环后的电极表征分析表明,生长在MXene表面上的COF孔道在锂沉积过程中有一定的锂化作用。这一过程实现了更低的成核过电位,从而实现了在大电流密度下,避免了锂离子的电荷积累,从而实现了快充而又无锂枝晶的生长。
图3. (a-d)锂离子在3D MXene@COF上的沉积动力学行为分析。(e-h)锂离子在不同宿主材料中沉积形貌的对比。

通过电化学分析表明,锂离子在MXene@COF纳米片上的沉积具有极小的成核过电位和沉积过电位。这两个较小的电位证实了锂离子在这种框架内的传输动力学优势,为无枝晶的锂沉积提供了重要支撑。
图4. (a-b)锂离子在MXene和COF纳米片上的传递路径计算分析。(c-f)锂离子在Cu (c-d)和MXene@COF上的沉积相场模拟。

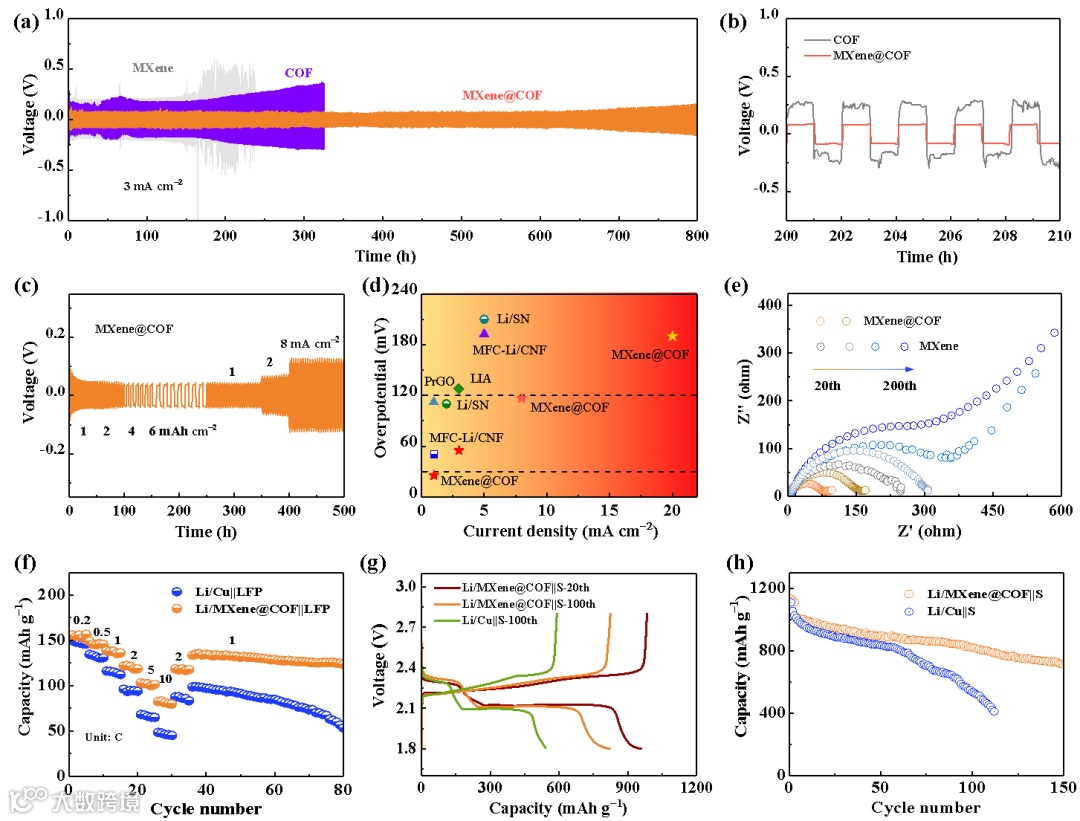
要点三:构建了基于Li/MXene@COF的优异的Li-S和Li-LFP锂金属全电池。
以镀Li的Li/MXene@COF为负极,以硫和磷酸铁锂分别为正极,实现了全电池的组装。两种全电池均表现出良好的循环稳定性。比如,Li/MXene@COF||S电池在有限的锂含量的条件下,可以稳定循环150圈,并且比容量维持在了750 mAh/g,表面构建稳定的锂负极对全电池的性能具有重要意义。
图5. (a-)Li/MXene@COF对称电池的循环性能表征。(f-h)以Li/MXene@COF作为负极组装的Li-S和Li-LFP全电池循环性能

文章链接

Covalent Assembly of Two-Dimensional COF-on-MXene Heterostructures Enables Fast Charging Lithium Hosts
https://onlinelibrary.wiley.com/doi/full/10.1002/adfm.202101194

通讯作者介绍

赖志平 教授。
2009年至今在沙特阿卜杜拉国王科技大学工作。研究工作涉及多孔材料和膜过程在分离,电化学能源转化等多个方向的应用。近年来发表高水平SCI论文多篇,包括Nature Nanotechnology, JACS, Advanced Materials, Energy&Environmental Science, Advanced Functional Materials, Nature Communications, Nano Energy, ACS Nano等等。现在拥有由research scientist, postdoc and PhD student 组成的近20余人的研究团队。


添加官方微信 进群交流

SCI二氧化碳互助群

SCI催化材料交流群

备注【姓名-机构-研究方向】

说明

🔹本文内容若存在版权问题,请联系我们及时处理。

🔹欢迎广大读者对本文进行转发宣传。

🔹《科学材料站》会不断提升自身水平,为读者分享更加优质的材料咨询,欢迎关注我们。

投稿请联系contact@scimaterials.cn

致谢

感谢本文作者对该报道的大力支持。

【声明】内容源于网络
0
0
科学材料站
内容 0
粉丝 0
科学材料站
总阅读0
粉丝0
内容0