文章信息
研究背景
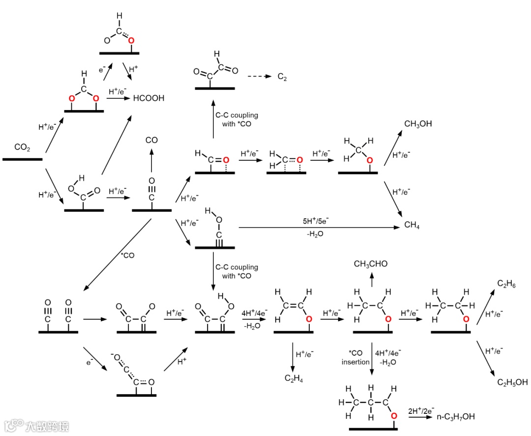
文章简介
本文要点
文章链接
通讯作者介绍
人才招募
-
已/即将获得材料类、物理类、化学类、化工类硕士学位或名校杰出本科毕业生 -
有理论计算研究背景,或 -
有丰富的纳米材料合成表征和电催化反应的研究背景,对电催化的发展有独到的见解和研究思路,或 -
有丰富的电池研究背景,且对某一电池领域有深入的了解;
-
并以第一作者在知名期刊上发表过学术论文;
-
英语成绩达到阿德莱德大学入学标准 -
雅思成绩:
平均6.5,其中听(6.0)说(6.0)读(6.0)写(6.0)或 -
托福ibt:
总分79,其中听(13)说(18)读(13)写(21) -
有多种奖学金可选(每年~28000 澳元无需付税) -
项目经费直接支持的奖学金 -
澳大利亚国家奖学金 -
阿德莱德大学奖学金 -
CSC(中国国家留学基金委奖学金)
学校和研究平台简介
添加官方微信 进群交流
SCI二氧化碳互助群
SCI催化材料交流群
备注【姓名-机构-研究方向】
投稿请联系contact@scimaterials.cn
CO2RR材料需求?点击"阅读原文"

