大数跨境

张刘挺副教授、陈立新教授, CEJ:TiFe纳米颗粒与碳纳米管共掺实现MgH2优异储氢性能

张刘挺副教授、陈立新教授, CEJ:TiFe纳米颗粒与碳纳米管共掺实现MgH2优异储氢性能 科学材料站
2021-05-07
0
导读:该论文设计合成了TiFe纳米合金并研究了纳米TiFe对MgH2储氢性能的影响,此外通过与碳纳米管共掺缓解了MgH2储氢材料实际应用中循环吸放氢性能衰退的关键问题。


文章信息

TiFe纳米颗粒与碳纳米管共掺实现MgH2优异储氢性能
第一作者:陆雄
通讯作者:张刘挺*,陈立新*
单位:江苏科技大学,浙江大学

研究背景

氢化镁(MgH2)由于其具有理论储氢量高(7.6 wt%)和储量丰富的优点,在固态储氢领域备受关注。然而,MgH2具有较高的初始放氢温度(超过300 ℃)和缓慢的吸放氢动力学性能而无法满足实际储氢要求。
本文采用TiFe纳米颗粒与碳纳米管共掺实现MgH2优异储氢性能,可为未来MgH2的催化改性研究提供方向,有助于加速MgH2固态储氢领域的研究及实际应用。

研究背景

近日,来自江苏科技大学的张刘挺副教授与浙江大学的陈立新教授合作,在国际知名期刊Chemical Engineering Journal上发表题为“Achieving superior hydrogen storage properties of MgH2 by the effect of TiFe and carbon nanotubes”的研究论文。
该论文设计合成了TiFe纳米合金并研究了纳米TiFe对MgH2储氢性能的影响,此外通过与碳纳米管共掺缓解了MgH2储氢材料实际应用中循环吸放氢性能衰退的关键问题。
图1. TiFe纳米颗粒与碳纳米管改善MgH2储氢性能的作用机理。

本文要点

要点一:TiFe纳米颗粒的设计合成
研究人员通过氢化煅烧法合成TiFe合金,在此基础上添加表面活性剂进行湿化学球磨来降低TiFe颗粒的尺寸。通过XRD精修计算出产物中TiFe含量为92 %, TEM证明了TiFe颗粒尺寸约为500 nm。

要点二:MgH2/TiFe/CNTs复合材料的吸放氢热力学与动力学性能
MgH2/TiFe复合材料可以实现低温吸放氢,初始吸、放氢温度可分别低至25 ℃与175 ℃。此外, MgH2/TiFe可以在300 ℃ 10分钟内释放6.5 wt%的氢气,在125 ℃下一小时内的可逆储氢量达到了5.3 wt%,表现出快速的吸放氢动力学性能。然而热力学性能测试结果表明TiFe与碳纳米管无法有效降低MgH2的热力学稳定性。

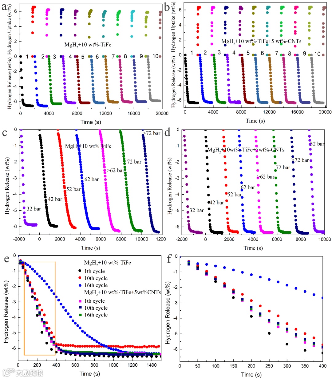
要点三:MgH2/TiFe/CNTs复合材料循环性能的提升
MgH2/TiFe复合材料随着吸放氢循环次数的增加,循环容量开始衰退;虽然增大吸氢压力可以使MgH2/TiFe复合材料循环容量回升,但无法改变其动力学性能的下降。
通过添加CNTs可以维持MgH2/TiFe复合材料的循环性能,在16次循环后,吸放氢速率和容量并没有明显的下降。
图2. MgH2/TiFe/CNTs复合材料循环性能曲线。

文章链接

Achieving superior hydrogen storage properties of MgH2 by the effect of TiFe and carbon nanotubes”
https://www.sciencedirect.com/science/article/pii/S1385894721016867

通讯作者介绍

张刘挺 副教授。
2011年本科毕业于浙江大学,博士师从浙江大学材料科学与工程学院陈立新教授。2016年加入江苏科技大学,现为能源与动力学院新能源科学与工程专业副教授。长期从事储能材料的研究和开发。目前担任《Rare Metals》、《稀有金属》期刊青年编委,以第一作者/通讯作者身份在Chemical Engineering Journal、Journal of Materials Chemistry A、Journal of Magnesium and Alloys、Applied Surface Science、Journal of Physical Chemistry C、International Journal of Hydrogen Energy、Journal of Alloys and Compounds、Rare Metals等学术刊物上发表30多篇研究论文,h-index=15。

陈立新 教授。
浙江大学教授、博士生导师,材料科学与工程学院副院长。兼任中国可再生能源学会常务理事、氢能专业委员会副主任委员,中国氢能标准化技术委员会委员,中国稀土学会理事,教育部高等学校材料类专业教学指导委员会副秘书长。入选教育部"新世纪优秀人才支持计划"。主要从事各种氢化物材料的基础研究以及氢化物固态储氢装置与技术、加氢站固态/高压储氢技术、燃料电池氢源系统、氢同位素分离与储存技术、内燃机氢-油混燃技术、新型电池材料等应用开发。先后主持完成国家重点研发计划、863计划、973计划、国家自然科学基金、浙江省科技重点专项等20余项研究项目(课题)。研究成果已获得28项授权发明专利和1项教育部科技进步一等奖,参与编写多项氢能技术国家标准,并在Nature  Energy, Nano  Energy, Journal of Materials Chemistry等重要期刊上发表300余篇学术论文。


添加官方微信 进群交流

SCI二氧化碳互助群

SCI催化材料交流群

备注【姓名-机构-研究方向】

说明

🔹本文内容若存在版权问题,请联系我们及时处理。

🔹欢迎广大读者对本文进行转发宣传。

🔹《科学材料站》会不断提升自身水平,为读者分享更加优质的材料咨询,欢迎关注我们。

投稿请联系contact@scimaterials.cn

致谢

感谢本文作者对该报道的大力支持。

【声明】内容源于网络
0
0
科学材料站
内容 0
粉丝 0
科学材料站
总阅读0
粉丝0
内容0