大数跨境

李玉涛博士、John Goodenough教授 JACS突破:界面化学提高固态聚合物电解质锂金属电池的极限电流

李玉涛博士、John Goodenough教授 JACS突破:界面化学提高固态聚合物电解质锂金属电池的极限电流 科学材料站
2021-05-05
0
导读:本文报道了一种廉价有效的低含量添加剂Mg(ClO4)2,调控聚合物电解质中可移动锂离子浓度同时改善聚合物与金属锂的界面化学


文章信息

界面化学提高固态聚合物电解质锂金属电池的极限电流
第一作者:徐比翼
通讯作者:李玉涛,John B. Goodenough
单位:美国德克萨斯大学奥斯汀分校

研究背景

聚合物固态电解质相比传统的液态电解液具有更好的热稳定性,并且相比陶瓷电解质更易于大规模生产,因此被认为是非常有吸引力的下一代电解质材料。但是,越来越多的研究表明,聚合物固态电解质室温锂离子电导率不高,电解质与电极材料界面层锂离子传导均匀性差,导致锂枝晶在低充电电流下( 0.3 mA cm-2)能快速生长,并刺穿复合膜造成电池短路,阻碍其实际应用。
该文章报道了一种用于增加聚合物电解质中可移动锂离子浓度、解决PEO基聚合物固态电解质与电池各个组件(正极、负极)之间界面的稳定性和提高聚合物固态电解质锂金属电池极限电流的廉价添加剂,同时指出了此类界面化学的关键因素和解决思路。

文章简介

近日,来自美国德克萨斯大学奥斯汀分校 的李玉涛博士和John B. Goodenough教授在国际知名期刊J. Am. Chem. Soc. 上发表题为“Interfacial Chemistry Enables Stable Cycling of All-Solid-State Li Metal Batteries at High Current Densities”的研究文章。
作者报道了一种廉价有效的低含量添加剂Mg(ClO4)2,调控聚合物电解质中可移动锂离子浓度同时改善聚合物与金属锂的界面化学,提高聚合物固态电解质锂金属电池极限电流到 1.6 mA cm-2。
文章还对构建界面SEI层的化学性质进行了讨论。本文为未来全固态金属锂电池的界面改性提供了方向,有助于加速聚合物固态电解质领域的研究及实际应用。
图1 提高聚合物电解质中可移动锂离子浓度以及降低界面不稳定性的解决方案

本文要点

要点一:提高聚合物电解质中可移动锂离子浓度
常见的PEO基聚合物固态电解质的室温电导率到在10-5 Scm-1以下、电池的内阻过大、容量衰减快,目前很难引用在全固态锂电池中。
为了解决上述问题,最常见的手段是在PEO基聚合物固态电解质增加塑化填料与添加剂。本研究引用廉价可溶的Mg(ClO4)2, 通过二价Mg2+离子的配位特性增加PEO非晶化体积,提高可快速迁移锂离子载体的浓度。
通过固态魔角旋转(MAS)核磁共振(NMR)和分子动力学(MD)模拟计算发现,Mg2+离子更容易与PEO和TFSI-中的氧原子配位且在PEO基体中几乎不迁移,此特性能同时提高PEO链段的电子结构和聚合物中可快速迁移的锂离子浓度,提高聚合物电解质的室温锂离子电导率。
图2 Mg(ClO4)2对PEO-LiTFSI聚合物化学环境的调控

要点二:聚合物固态电解质与电池各个组件(正极、负极)之间界面的稳定性
PEO-LiTFSI电解质在高活性金属锂负极表面的脱氢与分解反应,生成的高电阻的SEI层,导致了离子扩散率的降低和阻抗的增加,从而进一步加重锂金属电池界面不稳定性。
本研究利用金属锂与 Mg(ClO4)2 反应,在电解质/金属锂负极界面原位生成具有低电子电导的Li2MgCl4/LiF层,其中Li2MgCl4是报道于1980年的高锂离子电导率的卤化物固体电解质,具有比常见LiF层更低的锂离子扩散能垒,能有效抑制界面处锂枝晶的生长。
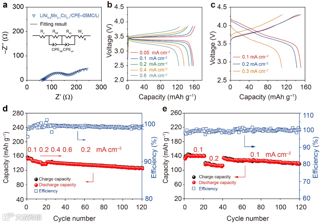
可将该聚合物电解质 金属锂电池的极限电流提高到 1.6 mA cm-2,在0.5 mAh cm-2容量下工作80小时以上。在全固态锂金属电池中,特别是活性NMC811表面包覆与改性后电解质之间的副反应得到有效缓解。
相比于商业聚合物电解质,添加有Mg(ClO4)2 的PEO-LiTFSI聚合物锂金属电池的总电阻、首效、容量保持率、电压分布及库伦效率均有大幅提升。
图3 聚合物电解质与金属锂电极循环性能与界面重建

图4 聚合物电解质金属锂电池的电化学性能

文章链接

Interfacial Chemistry Enables Stable Cycling of All-Solid-State Li Metal Batteries at High Current Densities
https://pubs.acs.org/doi/10.1021/jacs.1c00752

通讯作者介绍

李玉涛 博士。
德克萨斯大学奥斯汀分校John Goodenough教授课题组研究助理。长期从事新型固态电解质材料的设计、全固态电池界面解析与调控研究和开发。

John B. Goodenough 教授。
美国德克萨斯大学奥斯汀分校教授,美国科学院院士、美国工程院院士,锂离子电池正极材料钴酸锂、锰酸锂和磷酸铁锂的发明人。2019年10月9日,获得诺贝尔化学奖。Goodenough教授团队当前主要研究聚焦合成新型陶瓷材料与碱金属全固态电池相关的工作,并进行化学和结构表征,以及电池在高温、高压环境下的性能评估。

第一作者介绍

徐比翼,德克萨斯大学奥斯汀分校John B. Goodenough教授组博后。
主要从事固态电解质材料的开发、电解质/电极材料界面稳定性分析与调控等相关方向的研究。


添加官方微信 进群交流

SCI二氧化碳互助群

SCI催化材料交流群

备注【姓名-机构-研究方向】

说明

🔹本文内容若存在版权问题,请联系我们及时处理。

🔹欢迎广大读者对本文进行转发宣传。

🔹《科学材料站》会不断提升自身水平,为读者分享更加优质的材料咨询,欢迎关注我们。

投稿请联系contact@scimaterials.cn

致谢

感谢本文作者对该报道的大力支持。


【声明】内容源于网络
0
0
科学材料站
内容 9163
粉丝 0
科学材料站
总阅读9.0k
粉丝0
内容9.2k