大数跨境

武汉理工大学|木士春教授JMCA: 同步提高三维多孔碳网络的石墨化和表面积作锂/钠离子电池的高容量负极材料

武汉理工大学|木士春教授JMCA: 同步提高三维多孔碳网络的石墨化和表面积作锂/钠离子电池的高容量负极材料 科学材料站
2020-12-16
1
导读:该工作利用纳米二氧化硅作为模板剂和催化剂同步合成具有高石墨化程度和比表面积的三维多孔碳质材料(porous-NPC),并作为锂/钠离子电池的负极。


文章信息

同步提高三维多孔碳网络的石墨化和表面积作锂/钠离子电池的高容量负极材料
第一作者:刘海咪
通讯作者:木士春
单位:武汉理工大学,广东省佛山仙湖实验室

研究背景

硬碳由于其丰富的资源,稳定性和无毒性而被广泛研究应用于锂\钠离子电池的负极,但是其可逆容量,倍率能力和初始库仑效率不高。为了克服这些缺点,常用的有效手段是引入轻质杂原子(例如N,P,S,B等),提高石墨化程度,或设计独特的结构(例如微球,纳米线,纳米纤维,多孔结构等)。
这是因为碳质材料的轻质杂原子掺杂可以扩展碳层的层间距并改善碳材料的浸润性;提高碳质材料的石墨化程度可以增加材料的导电性和电化学稳定性;此外,将多孔结构引入碳材料中以提高锂\钠离子电池的循环容量和速率能力。
通常,通过提高退火温度来改善碳质材料的石墨化程度,但是这不仅不符合节能要求,而且也会降低碳质材料的孔隙率和比表面积。因此,如何在不提高退火温度的前提下同步实现碳质材料的高石墨化度和高比表面积仍然是一个巨大的挑战。

文章简介

近日,武汉理工大学木士春研究团队Journal of Materials Chemistry A(影响因子:11.301)上发表题为“Synchronously improved graphitization and surface area in 3D porous carbon network as high capacity anode material for lithium/sodium-ion batteries”的研究工作。
该工作利用纳米二氧化硅作为模板剂和催化剂同步合成具有高石墨化程度和比表面积的三维多孔碳质材料(porous-NPC),并作为锂/钠离子电池的负极。其中,纳米二氧化硅作为模板剂时主要起到造孔的作用,在,而当作为催化剂时可催化增加碳质材料的石墨化度。
电化学测试结果表明,该负极材料具有显著的可逆容量,在电流密度为1 A g-1时,锂离子电池的可逆容量为1038 mAh g-1,钠离子电池的可逆容量为238 mAh g-1;当电流密度为5 A g-1时,锂/钠离子电池的长循环性能都很稳定,而且在10 A g-1的大电流下,锂/钠离子电池具有优良的倍率性能。
该文章第一作者为武汉理工大学硕士研究生刘海咪,武汉理工大学木士春教授为本文通讯作者。

本文要点

要点一:纳米二氧化硅同时作为模板剂和催化剂合成porous-NPC及其结构
图1 (a): porous-NPC的合成机理图。(b): porous-NPC的SEM图像。(c): NPC的SEM图像。(d), (e): porous-NPC的TEM图像。(f): porous-NPC相关元素的mapping图。
图1(a)示例了porous-NPC的合成过程。在植酸和苯胺的存在下,引入纳米二氧化硅(SiO2)为模板剂和催化剂,合成了porous-NPC。其中植酸和苯胺分别作为P源和N源。
图1b显示了porous-NPC的SEM图像,证实了其具有大量通道的多孔结构。图1d和e是porous-NPC的TEM图像,碳层层间距约0.417 nm,增大的层间间距是主要N, P掺杂导致的。EDX mapping图像表明了C, O, N及P元素呈均匀分布。

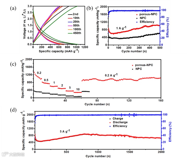
要点二:当用作锂离子电池负极材料时,porous-NPC电极具有优异的电化学性能
图2 (a):在不同循环圈数下的充放电曲线。(b): 在1 A g-1电流密度下的长循环性能。(c): 在不同电流密度下的倍率性能。(d): 在5 A g-1电流密度下的长循环性能。
电化学测试结果表明,porous-NPC用作锂离子电池负极材料时,在1 A g-1的电流密度下,在循环450圈后,可逆容量能从第50圈时的574 mAh g-1增加到1038 mAh g-1,库伦效率达到99%以上。
Porous-NPC具有优异的倍率性能,当电流密度回到0.2 A g-1时,可逆容量高达973 mAh g-1。在5 A g-1的电流密度下也表现出优异的长循环性能。

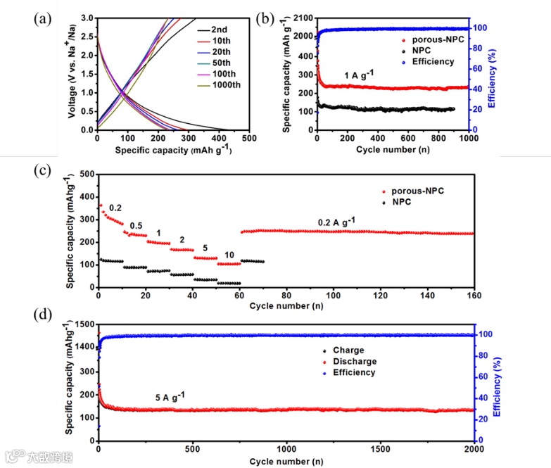
要点三:当用作钠离子电池负极材料时,porous-NPC电极亦具有优异的电化学性能
图3 (a):在不同循环圈数下的充放电曲线。(b): 在1 A g-1电流密度下的长循环性能。(c): 在不同电流密度下的倍率性能。(d): 在5 A g-1电流密度下的长循环性能。
电化学测试结果表明,porous-NPC用作锂离子电池负极材料时,在1 A g-1的电流密度下,在循环50圈后库伦效率超过98%,可逆容量超过230 mAh g-1
而且,Porous-NPC还具有优异的倍率性能,当电流密度回到0.2 A g-1时,可逆容量高达251 mAh g-1。在5 A g-1的电流密度下也表现出优异的长循环性能。

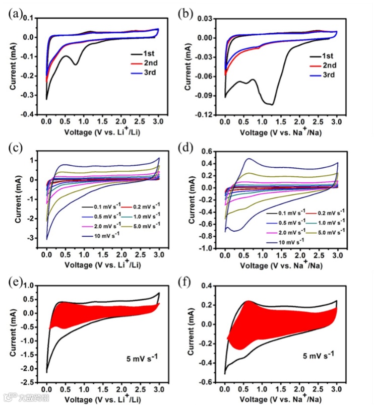
要点四:当用作锂/钠离子电池时,porous-NPC电极的动力学分析
图4 (a): 锂离子电池在0.1 mV s-1扫速下的CV 曲线。(b): 钠离子电池在0.1 mV s-1扫速下的CV 曲线。(c): 锂离子电池在不同扫速下的CV曲线。(d): 钠离子电池在不同扫速下的CV曲线。(e): 锂离子电池在5 mV s-1扫速下的伏安响应曲线。(f): 钠离子电池在5 mV s-1扫速下的伏安响应曲线。
电化学测试结果表明,porous-NPC用作锂离子电池负极材料时,在0.7 V 出现明显的氧化峰;porous-NPC用作钠离子电池负极材料时,在1.0 V出现明显的氧化峰。由于大的比表面积,锂/钠离子电池的容量主要来自于表面赝电容过程。

结论

综上所述,我们利用双功能二氧化硅(SiO2)作为碳质材料的成孔剂和石墨化催化剂,同步实现了兼具高石墨化和表面积的多孔N/P掺杂碳质材料(porous-NPC)。
得到的porous-NPC在锂/钠离子电池中均表现出优异的长循环性能和倍率性能。porous-NPC电极的高石墨化度、大比表面积和N、P共掺杂,以及三者的协同作用,赋予锂离子电池更高的电化学性能。同时,大比表面积、N/P共掺杂和增大的碳层层间距亦能提高porous-NPC电极的钠离子电池电化学性能。因此,同时具有较高石墨化度和较大比表面积的N、P共掺杂多孔碳质材料将在高功率和高能量方面具有广阔的应用前景。

文章链接

Synchronously improved graphitization and surface area in 3D porous carbon network as high capacity anode material for lithium/sodium-ion batteries
https://doi.org/10.1039/D0TA10179F

通讯作者介绍

木士春,武汉理工大学首席教授。
其团队长期致力于碳基纳米材料、质子交换膜燃电池和电解水催化剂的应用基础研究。目前,以第一作者或通讯作者在Adv Mater、J Am Chem Soc、Angew Chem Int Ed、Energ Environ Sci、Adv Energy Mater、Adv Funct Mater、Adv Sci、ACS Nano、Nano Energy、ACS Catal、ACS Energy Lett等国内外权威期刊上发表200余篇高质量SCI研究论文。


添加官方微信 进群交流

SCI二氧化碳互助群

SCI催化材料交流群

备注【姓名-机构-研究方向】

说明

🔹本文内容若存在版权问题,请联系我们及时处理。

🔹欢迎广大读者对本文进行转发宣传。

🔹《科学材料站》会不断提升自身水平,为读者分享更加优质的材料咨询,欢迎关注我们。

投稿请联系contact@scimaterials.cn

致谢

感谢本文作者对该报道的大力支持。

【声明】内容源于网络
0
0
科学材料站
内容 9163
粉丝 0
科学材料站
总阅读9.0k
粉丝0
内容9.2k