大数跨境

中科院宁波材料所姚霞银团队AM: 具有良好界面相容性的10 μm高强度固体聚合物电解质助力柔性全固态锂金属电池

中科院宁波材料所姚霞银团队AM: 具有良好界面相容性的10 μm高强度固体聚合物电解质助力柔性全固态锂金属电池 科学材料站
2021-05-24
0
导读:该论文设计了一种用于柔性全固态锂金属电池的超薄、高强度、界面相容性良好的固体聚合物电解质。其中7μm的聚乙烯(PE)隔膜被选为支撑体,为固体电解质提供强有力的机械性能

文章信息

具有良好界面相容性的10 μm高强度固体聚合物电解质助力柔性全固态锂金属电池
第一作者:王脂胭
通讯作者:姚霞银
单位:中国科学院宁波材料技术与工程研究所,中国科学院大学

研究背景

全固态锂金属电池具有优异的循环性能和倍率性能,是最有前途的下一代储能器件之一。其中,固体聚合物电解质因其柔韧性好、成本低、易于加工和放大等优点,被认为是最有前途的全固态锂电池材料之一。
原位热固化引发的纯聚合物电解质一般具有较高的离子电导率和较好的电化学性能,但其机械性能、厚度和界面稳定性等方面存在较大的不足。引入一种具有优良机械性能的超薄聚合物是一种很有前途的策略,因为它可以在不牺牲聚合物电解质柔韧性的前提下提高聚合物电解质的电化学和机械性能,但是电极间的界面相容性还有待进一步提高。

文章简介

基于此,中科院宁波材料所姚霞银研究员(通讯作者)课题组在国际顶级期刊Advanced Materials上发表题为“10 μm-Thick High-Strength Solid Polymer Electrolytes with Excellent Interface Compatibility for Flexible All-Solid-State Lithium-Metal Batteries”的研究论文。
本文设计了一种适用于柔性全固态锂金属电池具有良好界面相容性的超薄、高强度、固体聚合物电解质。其中,一个7μm聚乙烯(PE)隔膜作为支撑体,为固体电解质提供了较强的机械性能;多孔的聚甲基丙烯酸甲酯-聚苯乙烯(PMMA-PS)界面层通过倒相法被紧密附着在聚乙烯隔膜的两侧,有效地提高界面稳定性;以无溶剂聚乙二醇甲醚丙烯酸酯(PEGMEA)和锂盐为填料,通过原位热固化的方法被填充在改性聚乙烯隔膜内部,形成快速而连续的锂离子传输通道。
固体聚合物电解质的厚度为10μm、 抗拉强度为103 MPa,室温离子电导率高达34.84 mS。采用该固体电解质装配的Li//Li对称电池在0.1 mA cm-2的电流密度下可稳定循环1500 h以上。在60℃下,LiFePO4//Li软包电池可以在1 C的倍率下稳定循环1000次以上,放电比容量从148.9 mAh g-1到113.7 mAh g-1,容量保持率为76.4%。此外,组装的LiCoO2//Li软包电池可以在0.1 C和0.2 C的倍率下各稳定循环100次。

本文要点

要点一:固体聚合电解质优异的机械性能
通过测试隔膜和电解的应力-应变曲线,探讨了其力学性能。随着PMMA-PS界面层的引入,隔膜的应力由纯PE的173.2 MPa降低到m-PE的126.7 MPa,伸长率由43.8%提高到116.4%。将PEGMEA-LiTFSI直接引入纯PE中固化后,PPL的应力急剧下降至66.5 MPa,延伸率提高不到10%。将PEGMEA-LiTFSI引入m-PE固化后,m-PPL的应力保持在103.0 MPa伸长率达到142.3%。
m-PE和m-PPL的拉伸强度略有下降,但伸长率著提高,这是由于PE膜、PMMA-PS层和PEGMEA-LiTFSI电解质的协同作用和良好的界面附着力总体而言m-PPL在高拉伸强度和伸长率方面表现出了优异的力学性能,能够有效地抑制锂树枝晶的生长,保证了m-PPL电解质在全固态锂金属电池中的应用。
a) m-PPL制备工艺示意图;m-PE的b)表面和c)横截面SEM图;d) PEGMEA前驱体和不同固体聚合物电解质的FT-IR图;m-PPL的e)表面和f)横截面SEM图;g)不同隔膜和固体聚合物电解质的应力-应变曲线。

要点二:固体聚合物电解质的电化学性能以及对锂稳定性
m-PPL电解质的室温离子电导率高达34.84ms,电化学稳定窗口为5.2V组装的Li/m-PPL/Li对称电池的极限电流密度为0.45 mA cm-2,在0.1 mA cm-2的电流密度下可以稳定循环1500小时,这是由于PMMA-PS界面层的加入改善了电解质与电极的界面相容性,这表明锂离子在m-PPL电解质中具有可逆循环稳定性。
a)不同温度下PPL和m-PPL的Arrhenius图;b) PPL和m-PPL的LSV曲线;c) Li/PPL/Li和Li/m-PPL/Li对称电池在60 oC下的恒电流充放电测试曲线,电流密度步进式增加;d) PPL和e) m-PPL组装的Li//Li对称电池在电流密度为0.1 mA cm−2时的恒电流充放电测试曲线。

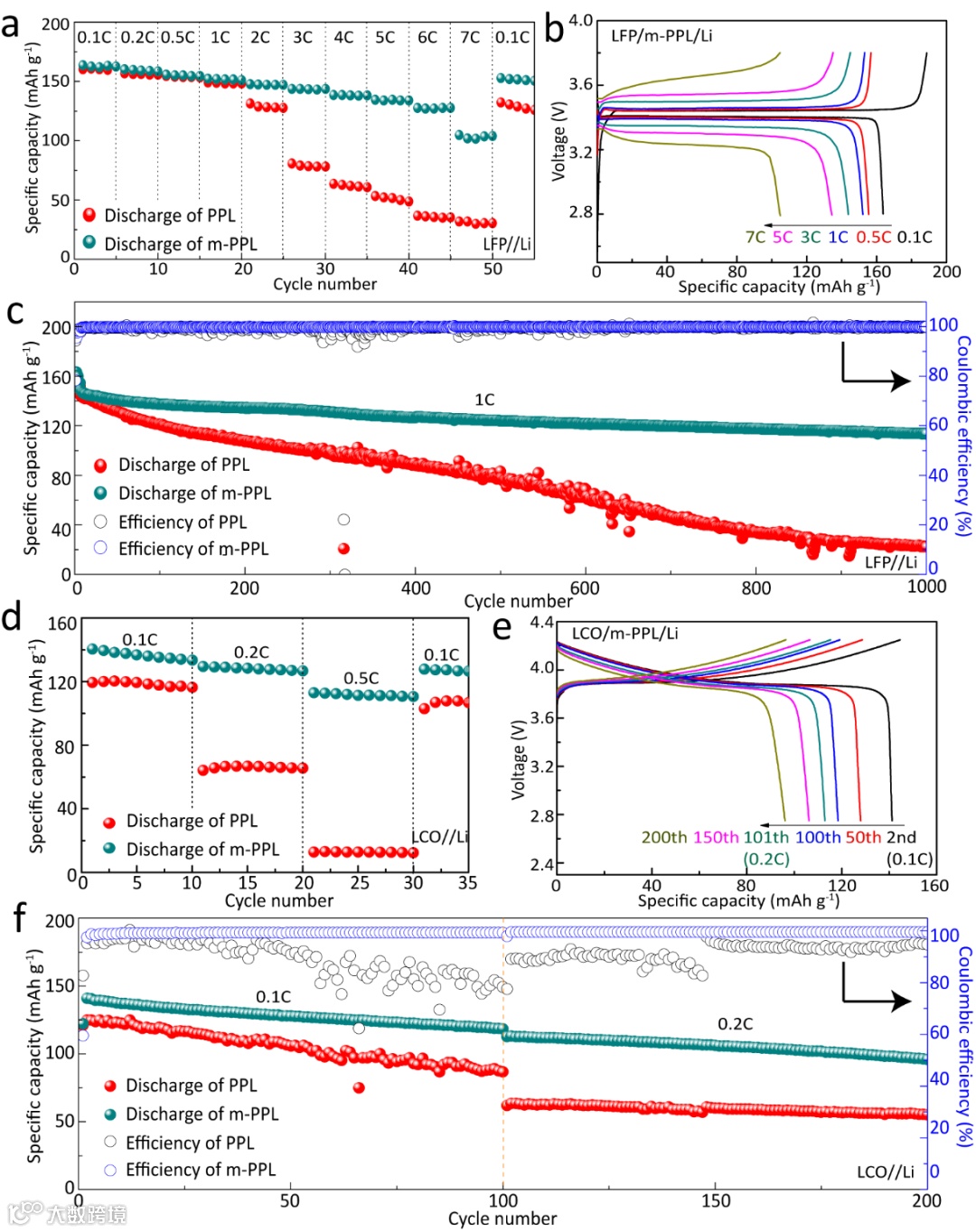
要点三:LiFePO4//Li和LiCoO2//Li全固态锂金属电池的性能
以LiFePO4和高LiCoO2为正极组装全固态锂金属电池。如图3所示,m-PPL组装的LiFePO4//Li和LiCoO2//Li全固态锂金属电池具有高的容量保持率和更高的放电比容量。
LiFePO4/m-PPL/Li全固态电池在1C倍率下循环1000次后,比容量由148.9 mAh g-1到113.7 mAh g-1,容量保持率为76.4%。此外,LiCoO2/m-PPL/Li软电池在0.1 和0.2倍率下均能稳定循环100次。两种电池在长循环库仑效率接近100%,表明m-PPL固体聚电解质具有优异界面稳定性和电化学性能。
a) LiFePO4/PPL/Li和LiFePO4/m-PPL/Li软包电池在不同电流密度下的倍率性能;b) LiFePO4/m-PPL/Li软包电池在60 oC下不同电流密度时的充放电曲线;c) LiFePO4/PPL/Li和LiFePO4/m-PPL/Li软包电池在1 C时的长循环性能和库伦效率(60 oC);d) LiCoO2//Li软包电池在不同电流密度下的倍率性能;e) 60 oC 时LiCoO2/m-PPL/Li软包电池不同循环圈数的充放电曲线;f) LiCoO2//Li软包电池在60°C时0.1 C和0.2 C各循环100圈的长循环性能图。

要点四:LiFePO4/m-PPL/Li软包电池的柔性及安全性能分析
最后,我们对LiFePO4/m-PPL/Li软电池的柔性和安全性能进行了探究性测试m-PPL极限弯曲后,可以发现PMMA-PS界面层仍然牢固地附着在PE的两侧,显示出m-PPL优异的柔韧性,这一点在随后的电池充放电测试LED照明试验中得到了进一步的证实。
另外,由于m-PPL电解液采用无溶剂化原位热固化方法,其装配的软包电池在经过3次切割后,剩余的小部分电池仍然能维持LED灯的点亮,极大的证明了其在固态锂金属电池中的潜在应用性。
a)卷曲状态的m-PE隔膜的SEM图,内嵌图为标记部分的放大图像;b) LFP/m-PPL/Li电池在0.1 C时正常和不同卷曲状态下的循环性能,内嵌图为LFP/m-PPL/Li电池卷曲折叠前后的电压变化图;c)柔性LFP/m-PPL/Li电池在不同状态下串联照亮LED的光学照片;d)破坏条件下LFP/m-PPL/Li软包电池的安全性测试照片。

本文链接

10 μm-Thick High-Strength Solid Polymer Electrolytes with Excellent Interface Compatibility for Flexible All-Solid-State Lithium-Metal Batteries
https://doi.org/10.1002/adma.202100353

通讯作者介绍

姚霞银 博士,研究员,博士生导师,中国科学院宁波材料技术与工程研究所固态二次电池团队负责人。
目前研究兴趣集中于全固态二次电池关键材料及技术研究,迄今为止,与合作者一起在Advanced Materials、Nano Letters、Advanced Energy Materials、Nano Today、ACS Nano、Nano Energy、Energy Storage Materials等材料及新能源领域期刊上发表论文130余篇,申请发明专利50余项。担任中国化工学会第二届储能工程专业委员会委员,《储能科学与技术》杂志第三届编辑委员会委员。

第一作者介绍

王脂胭,2016年和2019年分别获得长江大学化学与环境工程学院工学学士和硕士学位,2019年9月起在中国科学院宁波材料技术与工程研究所固态二次电池团队攻读博士学位,研究方向为固体电解质材料及其在全固态电池中的应用。


添加官方微信 进群交流

SCI二氧化碳互助群

SCI催化材料交流群

备注【姓名-机构-研究方向】

说明

🔹本文内容若存在版权问题,请联系我们及时处理。

🔹欢迎广大读者对本文进行转发宣传。

🔹《科学材料站》会不断提升自身水平,为读者分享更加优质的材料咨询,欢迎关注我们。

投稿请联系contact@scimaterials.cn

致谢

感谢本文作者对该报道的大力支持。

【声明】内容源于网络
0
0
科学材料站
内容 0
粉丝 0
科学材料站
总阅读0
粉丝0
内容0