大数跨境

赖超教授、张改霞博士、孙书会教授,Angew. Chem.:新型电解液添加剂构建分子隔离层实现锂金属电池稳定循环

赖超教授、张改霞博士、孙书会教授,Angew. Chem.:新型电解液添加剂构建分子隔离层实现锂金属电池稳定循环 科学材料站
2021-07-22
2
导读:该工作报道了一种具有平面分子结构的钴酞菁 (CoPc) 新型电解液添加剂,以平埔的方式紧密吸附在锂负极表面上形成致密的分子层用于高性能的锂金属电池。


文章信息

酞菁钴电解液添加剂构建分子隔离层应用于高稳定锂金属电池
第一作者:戴宏柳
通讯作者:赖超*,张改霞*,孙书会*
单位:江苏师范大学,加拿大国立科学研究院

研究背景

锂金属负极因其极高的理论容量(3860 mAh·g-1)和最负电位(-3.040 V vs 标准氢电极)而被称为“圣杯”电极。特别是与硫或氧正极配对后,可以获得2000 Wh kg-1以上的超高能量密度。
尽管与传统锂离子电池(LIB)相比,锂金属电池(LMB)在能量密度方面具有优势,但其也存在严重的实际应用瓶颈。例如,锂金属由于具有高负电势而具有高反应性,这将导致电解质分解并形成不稳定的固体电解质界面(SEI)膜。在重复的锂电镀/剥离过程中,不稳定的SEI膜破裂,使得新暴露的锂金属表面与电解液发生反应,导致进一步的副反应。
此外,随着锂沉积的进行,锂表面的阴离子浓度将迅速下降。这种剧烈的浓度变化将在阳极/电解质界面产生巨大的空间电荷效应,从而产生的电场促进锂枝晶的生长。锂枝晶的不可控生长会产生死锂,甚至刺穿隔膜,导致容量衰减、库仑效率低和安全问题。

文章简介

基于此,江苏师范大学赖超教授与加拿大国立科学研究院孙书会教授团队合作,在国际知名期刊Angewandte Chemie International Edition上发表题为“Cobalt Phthalocyanine Derived Molecular Isolation Layer for Highly Stable Lithium Anode”的研究论文。
该工作报道了一种具有平面分子结构的钴酞菁 (CoPc) 新型电解液添加剂,以平埔的方式紧密吸附在锂负极表面上形成致密的分子层用于高性能的锂金属电池。这种平面分子层不仅可以与锂离子络合以降低空间电荷效应,从而抑制枝晶形成,另外,还可以抑制负极和电解质之间的副反应,产生稳定的SEI膜。
图1. 锂离子在有无添加剂存在时在锂表面沉积的示意图。

本文要点

要点一:锂负极表面表征及性质
通过X射线近边吸收谱(XANES)对锂金属的表征,发现在有CoPc电解液添加剂存在时,锂表面SEI膜主要有非晶态的LiF和Li2CO3组成,进而促进锂离子的传输。
此外,CoPc添加剂衍生的SEI膜能够很好的抑制电解液的分解,避免副反应的产生(图2a, b)。该CoPc电解液添加剂具有较高的Li+转移数(tLi+ = 0.69),是商用液态电解质和固态聚合物电解质的2.8倍。这可能归因于CoPc添加剂中酞菁基团和Li+之间增强的络合(图2c, d)。
图2. (a, b) XANES谱表征锂表面成分。(c, d) 锂离子迁移数测试。

要点二:Li|Li对称电池电化学性能
进一步采用Li|Li对称电池研究CoPc电解液添加剂与锂金属负极的电化学相容性。Li|Li对称电池在711 小时内显示出稳定的锂沉积/剥离。即使在6 mA cm-2/3 mAh cm-2高电流密度下,仍展现出优异的循环稳定性。
但是,未改性的电解液其Li|Li对称电池性能则很差,只能稳定循环350 小时。CoPc电解液添加剂展现出优异的性能可能是由于CoPc电解液添加剂衍生的分子隔离膜具有良好的力学性能、合理的局部Li+通量和较高的Li+迁移率的协同作用。
图3. 在是否存在CoPc电解液添加剂条件下,Li|Li对称电池的电化学性能对比。

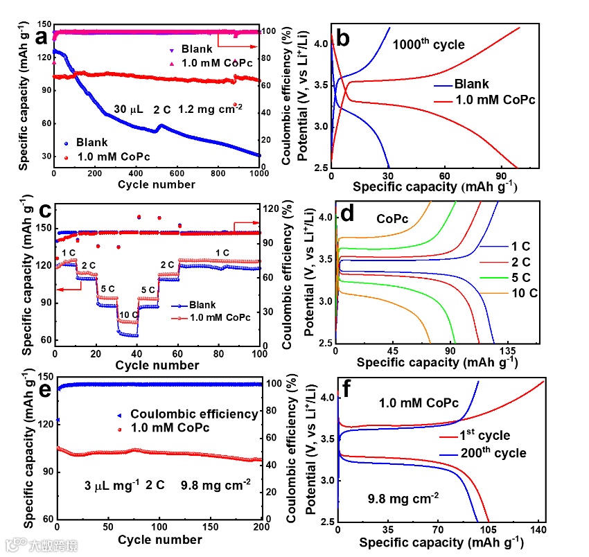
要点三:Li|LFP全电池电化学性能
组装并测试了由锂金属负极与LiFePO4(LFP)配对的可充锂金属电池。使用改性电解液的Li|LFP全电池表现出高达1000次循环的超稳定循环性能,每个循环的容量衰减为0.0038%,相比之下,使用未改性电解液的全电池循环60次后容量快速衰减。
与在电流密度为10 C时使用空白电解液的Li|LFP全电池的电化学性能(63.7 mAh g-1)相比,在含有CoPc添加剂的电解液中仍获得了74.4 mAh g-1的更高放电容量。在LFP高负载量 (9.8 mg cm-2)和贫电解液(3 µL mg−1)条件下,200次循环后可表现出97.8 mAh g-1的高放电容量。
图4. 在有无CoPc电解液添加剂条件下,Li|LFP全电池的电化学性能。

要点四:Li|LFP全电池机理研究
通过SEM表征发现,在未改性的电解液中,Li|LFP全电池循环1000周后,锂表面出现很多裂缝,和死锂,这加速了电解液的分解从而导致电池失效。而使用CoPc添加剂改性后的Li|LFP全电池,循环1000周后, 锂表面很均匀,没有死锂的产生,进而证明了CoPc添加剂对锂负极具有良好的保护性。
众所周知,LFP正极的性能下降主要归因于锂空位缺陷(Liv)和Fe对Li位的占据(FeLi)。Liv缺陷不仅导致Fe2+氧化为Fe3+,而且诱导Fe2+部分迁移到Li位点,形成所谓的“反位”缺陷,阻挡了Li+扩散途径。通过X射线吸收精细结构(XAFS)技术表征,在引入CoPc电解液添加剂后,在放电过程中,能够很好的抑制锂空位缺陷以及“反位”缺陷,在促进Fe3+向Fe2+转化的同时还能提升Li+的传输,因此使用CoPc添加剂改性后的全电池能够获得优异的电化学性能。
图5. 在有无CoPc电解液添加剂条件下,Li|LFP全电池正负极表面形貌及反应机理。

要点五:总结与展望
总之,该工作开发了一种用于锂金属电池的高效酞菁钴电解质添加剂。对于锂负极,CoPc添加剂通过同锂离子的络合优先锚定在锂表面,以减少空间电荷效应对锂沉积的影响,从而抑制枝晶形成。
此外,CoPc添加剂形成的隔离层会减少电解质的分解,从而产生更稳定的电极/电解质界面。均匀锂沉积的良好调节能力和CoPc添加剂衍生的稳定界面膜可以确保Li|Li对称电池中锂负极在3 mAh cm−2的高电镀容量下进行长达711小时的稳定循环。
除了实现出色的锂保护效果外,使用CoPc添加剂的Li|LFP全电池在高达9.8 mg cm-2的高质量负载和贫电解质(3 µL mg−1)中,200次循环后可表现出97.8 mAh g-1的高放电容量。该工作为通过表面分子层覆盖策略为同时构建稳定的正负极界面开辟了一条新途径。

文章链接

Cobalt Phthalocyanine Derived Molecular Isolation Layer for Highly Stable Lithium Anode
https://onlinelibrary.wiley.com/doi/10.1002/anie.202106027

通讯作者介绍

赖超 教授。
江苏省“青蓝工程”中青年学术带头人;现任Rare Metals期刊青年编委,中国颗粒学会青年理事;先后主持国家自然科学基金3 项,江苏省杰出青年基金1项,徐州市重点研发项目1项;2015年获得天津市自然科学二等奖,2016年获得徐州市十大青年科技奖。近十年来,主要从事高比能锂电池以及界面电化学的研究,作为一作和通讯先后在包括Nat. Commun., J. Am. Chem. Soc., Angew. Chem. Int. Ed., Adv. Mater., Adv. Funct. Mater., Nano Energy, Energy Storage Mater.等国际权威杂志发表论文40余篇,他引2700余次。

张改霞 博士。
2008年于加拿大蒙特利尔大学工学院获工学博士学位;先后获加拿大NSERC, MITACS 和 Ontario Research and Innovation Fellowships等奖项。目前主要研究方向为贵金属与非贵金属催化剂在燃料电池、锌空气电池、二次电池、二氧化碳还原等电化学能源领域的应用,以及先进表征技术(e.g., 原位XAS, XPS, IR等)和理论模拟。已发表100多篇SCI论文,其中包括在Energy Environ. Sci., Adv. Mater., Adv. Energy Mater., Angew. Chem. Int. Ed., Nano Energy, Adv. Funct. Mater.等IF>10的期刊上发表文章60余篇。

孙书会 教授。
加拿大国立科学研究院、能源材料与通讯研究所教授,加拿大皇家科学院青年院士;现任国际电化学能源科学院(IAOEES)副总裁、Springer-Nature 旗下期刊Electrochemical Energy Review(影响因子28.9)执行主编。孙书会教授的主要研究方向是功能纳米材料在能源转化和存储中的应用,重点从事燃料电池(低铂和非贵金属催化剂,膜电极)、金属-空气电池、锂金属电池、金属离子电池、二氧化碳还原,和水解制氢等的研究与应用。近年来在Nat. Commun., Energy Environ. Sci., Adv. Mater., J. Am. Chem. Soc., Adv. Energy Mater., Chem, Angew. Chem., ACS Energy Letters, Nano Energy等国际知名期刊发表SCI论文220余篇,被引用超过12800次,H-index 指数59,编著了3本科学著作和发表了15篇科学著作章节。孙教授与工业界建立了广泛合作,包括加拿大巴拉德电源系统公司、美国通用汽车公司、日本丰田汽车公司等。2020年入选全球前2%顶尖科学家 (终身科学影响力)。

第一作者介绍

戴宏柳,加拿大国立科学研究院孙书会教授课题组博士研究生。
主要研究方向是基于电解液改性以提升锂金属电池的性能。迄今已发表12篇SCI科学论文,其中一作文章包括Nat. Commun., Angew. Chem. Int. Ed., J. Am. Chem. Soc., Energy Storage Mater.等高水平杂志。

通讯作者介绍

赖超教授课题组网站:http://chem.jsnu.edu.cn/b6/82/c15350a112258/page.htm
孙书会教授课题组网站:https://inrs.ca/en/research/professors/shuhui-sun/

课题组招聘

孙教授课题组常年招收博士研究生和博士后研究人员。


添加官方微信 进群交流

SCI二氧化碳互助群

SCI催化材料交流群

备注【姓名-机构-研究方向】

说明

🔹本文内容若存在版权问题,请联系我们及时处理。

🔹欢迎广大读者对本文进行转发宣传。

🔹《科学材料站》会不断提升自身水平,为读者分享更加优质的材料咨询,欢迎关注我们。

投稿请联系contact@scimaterials.cn

致谢

感谢本文作者对该报道的大力支持。

【声明】内容源于网络
0
0
科学材料站
内容 0
粉丝 0
科学材料站
总阅读0
粉丝0
内容0