大数跨境

任晓燕副教授、朱文光教授、李顺方教授, AS赏析:二维铁电材料In2Se3 公度同质接触界面负微分摩擦系数的第一性原理计算研究

任晓燕副教授、朱文光教授、李顺方教授, AS赏析:二维铁电材料In2Se3 公度同质接触界面负微分摩擦系数的第一性原理计算研究 科学材料站
2021-11-16
1
导读:本文设计出具有公度接触的二维铁电材料In2Se3同质结,研究发现在该材料中出现了负的微分摩擦系数(µ<0)


文 章 信 息

二维铁电材料In2Se3公度同质接触界面负微分摩擦系数的第一性原理计算研究
第一作者:孙京格
通讯作者:任晓燕*,朱文光*, 李顺方*
单位:郑州大学,中国科学技术大学,郑州大学

研 究 背 景

摩擦是人类技术研究领域最古老的现象之一,从宏观设备,纳米机械中的纳米接触,再到生物分子马达的各种系统中摩擦无处不在。据估计,世界上约有1/3的能量耗散在摩擦和磨损方面;另外,很多机械装置需要通过摩擦力作为驱动力来工作;因此,长期以来,研究人员一直在寻找和改进新的方法将摩擦不利影响降至最低水平或根据需要调控摩檫力。
在宏观尺度上,根据达芬奇-阿蒙顿的经典定律,摩擦力(f)随着法向载荷(N)的增加而增大,即遵循f = µN,其中摩擦系数µ为正值(µ>0),如上图1(a)。然而,在微观尺度,摩擦易受温度、载荷、接触面积、滑动速度、层数、表面形貌等多方面因素的影响,使得微观摩擦变得及其复杂。
现代摩擦学中多采用结构超润滑来减少摩擦和磨损,其本质是由于晶格失配而导致滑动过程中侧向力的有效抵消,从而实现极低的摩擦状态,然而超润滑的实现有赖于体系的非公度接触条件,一旦在滑移过程中非共度条件被破坏,超润滑现象将会随之消失,因此降低和调控摩檫力或摩擦系数是非常重要的一个科学问题。
图1:摩檫力随压力变化示意图。

文 章 简 介

基于此,郑州大学李顺方教授课题组与中国科学技术大学朱文光教授课题组合作,在国际知名期刊Advanced Science上发表题为“Negative Differential Friction Predicted in 2D Ferroelectric In2Se3 Commensurate Contacts的重要研究成果,论文第一作者为硕士研究生孙京格,通讯作者为郑州大学任晓燕副教授、李顺方教授和中国科学技术大学朱文光教授。
针对上述问题,研究团队设计出具有公度接触的二维铁电材料In2Se3同质结,研究发现在该材料中出现了负的微分摩擦系数(µ<0),即滑动能垒随着法向载荷的增加而减小,如图1(b),从而同时突破了超润滑依赖的非公度接触条件和经典的达芬奇-阿蒙顿定律。
研究揭示其反常摩擦行为的物理根源在于层间范德华(vdW)相互作用引起的滑动能垒的增加部分可以被层内静电能的显著减少来进行有效补偿,如图2所示,这也是载荷状态下极化电荷重新转移的过程。研究进一步指出滑动微分摩擦系数µ可通过面外或面内的偶极-偶极排列方向及施加适当的外电场来进行调控,从而实现µ<0,µ≈0和µ>0的转变。
本研究结果有望在新型纳米结构的未来设计中发挥重要作用,并在摩擦学、纳米机械、纳米传感器、纳米催化等物理和化学现象中具有潜在的应用价值。该工作得到了国家自然科学基金项目和郑州大学物理学院物理学科提升计划的支持。
图2:In2Se3负、正微分摩擦系数机制示意图。

文 章 要 点

要点一:该工作突破了传统的结构超滑中所需要的非公度接触这一重要支撑条件。
首先,在我们的工作中,研究对象是具有铁电极化特性的两个五层原子层(2QL)厚度的In2Se3二维材料公度同质结,如图3所示。研究的是上层的QL-In2Se3在外压力下相对于下层QL-In2Se3沿着高对称性方向相对滑动时的势能面的变化,从而计算出滑动时所所需要客服摩檫力所做的功,并计算出相对应的摩檫力及其变化。因此,在整个滑动过程中,同质结是一种公度接触。
图3:2QL-In2Se3同质结三种最稳定的接触构型(O-O(AP), I-O(P)和I-I(AP)以及相对滑动方向示意图。

要点二:2QL-In2Se3同质结层间负微分滑动摩擦系数的物理根源在于层间范德华(vdW)相互作用引起的滑动能垒的增加部分可以被层内静电能的显著减少来进行有效补偿,这也是载荷状态下与2QL极化电荷排布方向相关联的电荷重新分布的响应。
图4 :(a)-(c)三种稳定2QL-In2Se3同质结极化电荷相互作用示意图。(d)-(f)外压力下,(110) 切面上的差分电荷密度分布图。

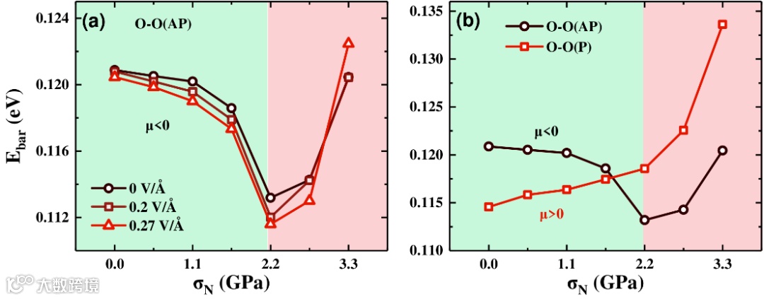
要点三:二维铁电材料In2Se3同质结层间滑动摩擦系数还可以被外加电场所继续调控。
研究结果进一步表明,滑动微分摩擦系数µ可通过面外或面内的偶极-偶极排列方向及施加适当的外电场来进行调控,从而实现µ<0,µ≈0和µ>0的转变,如图5所示。本研究结果有望在新型纳米结构的未来设计中发挥重要作用,并在摩擦学、纳米机械、纳米传感器、纳米催化等物理和化学现象中具有潜在的应用价值。

文 章 链 接

Negative Differential Friction Predicted in 2D Ferroelectric In2Se3 Commensurate Contacts.
https://doi.org/10.1002/advs.202103443

通 讯 作 者 简 介

任晓燕 博士 副教授 
2016年在韩国汉阳大学自然科学学院进行学术访问,2017年博士毕业于郑州大学,2017年7月入职郑州大学物理学院,郑州大学青年骨干教师,河南省教学标兵。获“全国高等学校物理基础课程青年教师讲课比赛”河南省特等奖、中南地区一等奖、全国二等奖,获“河南省教育系统教学技能竞赛”一等奖。在研主持国家自然科学基金青年项目和面上项目各一项、河南省科技攻关项目一项、作为主要完成人参与国家基金项目4项,在包括Adv. Mater.、ACS Nano、Adv. Sci.、Phys. Rev. B、J. Mater. Chem. A、Nanoscale等杂志上发表近30篇高水平学术论文。主要研究领域为低维系统中量子效应,新型催化剂设计以及纳米摩擦。

朱文光 教授
中国科学院物理研究所博士学位。2005至2006年在美国哈佛大学物理系从事博士后研究。2006至2012年先后在美国田纳西大学物理系任研究助理教授及研究副教授。现为中国科学技术大学物理学院、合肥微尺度物质科学研究中心教授。主要从事低维纳米结构和新型功能性材料的理论设计研究。近期代表性工作包括二维铁电材料In2Se3的理论预言。目前已在包括Science、Nature Phys.、Nature Comm.、Phys. Rev. Lett. 等国际著名期刊上发表高水平学术论文70余篇。

李顺方 教授
1999 年 7 月毕业于河南师范大学物理系,获得学士学位。1999 年 7 月至 2004 年 7 月中国科学院固体物理研究所硕、博连读,获得博士学位。2004 年 7 月到郑州大学物理学院(微电子学院)工作至今。其中,2006 年 3 月至 2006 年 6 月到美国哈佛大学访问学习、2007 年 6 月至 2008 年 9 月到英国伦敦大学大学学院做博士后研究、2010 年 4 月至 2012 年 6 月到美国田纳西大学 & 美国橡树岭国家实验室做博士后研究。2012 年晋升教授、2018 年 3 月至今上岗郑州大学学科特聘教授。主要研究领域包括三个方面:1)低维材料生长机制、电子结构、物性和应用的第一性原理计算研究;2)高效、经济、功能型纳米催化剂设计;3)纳米尺度下的摩擦学。2013 年获得河南省科技创新人才杰出青年基金支持,主持在研国家自然科学基金面上项目 1 项、主持完成国家自然科学基金 3 项、作为主要参与人参与完成国家自然科学基金 2 项、主持郑州大学物理学院物理学科推进计划重点项目 1 项。在包括 Phys. Rev. Lett.、Adv. Sci.、Phys. Rev. B、J. Am. Chem. Soc.、J. Mater. Chem. A、Nanoscale、ACS Appl. Mater. Interfaces、等国际主流杂志上发表 SCI 论文 60 多篇。2020年获得河南省自然科学奖二等奖(第一名)。


添加官方微信 进群交流

SCI二氧化碳互助群

SCI催化材料交流群

SCI钠离子电池交流群

SCI离子交换膜经验交流群

SCI燃料电池交流群

SCI超级电容器交流群

SCI水系锌电池交流群

SCI水电解互助群

SCI气体扩散层经验交流群

备注【姓名-机构-研究方向】

说明

🔹本文内容若存在版权问题,请联系我们及时处理。

🔹欢迎广大读者对本文进行转发宣传。

🔹《科学材料站》会不断提升自身水平,为读者分享更加优质的材料咨询,欢迎关注我们。

投稿请联系contact@scimaterials.cn

致谢

感谢本文作者对该报道的大力支持。

点分享

点赞支持

点在看

【声明】内容源于网络
0
0
科学材料站
内容 0
粉丝 0
科学材料站
总阅读0
粉丝0
内容0