过氧化氢(H2O2)作为一种关键化学品,长期以来被广泛应用于纸浆漂白、食品加工和废水处理等领域。目前,商业化H2O2几乎完全由间接蒽醌氧化工艺生产。该工艺需要对H2进行加压和使用Pd基加氢催化剂,并且涉及能源密集型净化和蒸馏工艺,从而增加了生产成本和安全隐患。此外,在一个地方集中大规模生产浓缩H2O2,也会增加运输和使用稳定剂(如焦磷酸钠和金属螯合剂)的额外成本。
因此,许多科研人员将目光聚焦在另一种富有吸引力的转化工艺上,即通过两电子氧还原反应(2e- ORR)直接生成H2O2。然而,如同其它典型的电催化过程一样,电化学合成H2O2的主要挑战之一是开发出具有高2e- ORR活性和选择性的催化剂。此外,还应避免4e- ORR和H2O2化学歧化副反应的不利影响。
今日分享两篇近期发表的有关电化学合成H2O2的顶刊论文,其中一篇的催化剂为不含任何金属的碳材料,另一篇的催化剂为不含任何碳的金属基材料。第一篇发表于国际期刊《Chem》上,作者通过研究发现位于石墨碳边缘位点的羧基才是2e- ORR的主要活性中心,而羰基是次要的活性中心;第二篇发表于国际期刊《Adv. Funct. Mater.》上,作者报导了一种具有Chevrel相的新型Ni2Mo6S8活性催化剂,其在水系电解液中可以催化高效2e- ORR反应制备H2O2。以下为两篇文章的精彩内容导读。
【通过活性位点识别设计高活性纳米多孔碳用于电化学合成H2O2】

通讯作者:Sang Hoon Joo、Young Jin Sa
通讯单位:蔚山国家科学技术研究所(UNIST)、光云大学
DOI: 10.1016/j.chempr.2021.08.007

全文速览
通过2e-氧还原反应(ORR)电化学合成H2O2,是清洁和连续现场生产H2O2一种有吸引力的方法。尽管碳纳米材料在H2O2生产方面表现出良好的性能,但对其活性中心和关键结构因素的认识不足阻碍了进一步的发展。因此,在本文中,作者采用一系列研究识别出O掺杂碳材料中的催化活性氧官能团,并通过了解其关键结构因素和优化,最大限度地提高了电化学合成H2O2的活性。
图1. H-GOMC, GOMC和O-GOMC中的表面官能团识别。
在本文中,作者制备出具有可控氧功能的石墨化有序介孔碳(GOMC)作为模型催化剂。通过一系列表征发现GOMC中存在着羰基官能团,O-GOMC中存在着羧基和羰基官能团,而H-GOMC中的碳上几乎不含氧。
图2. H-GOMC, GOMC和O-GOMC的2e- ORR活性与选择性。
通过研究表面官能团与2e- ORR活性之间的关系,可以确定羧基和羰基是反应的活性中心,其中羧基位点具有更高的活性。
采用苯甲酸酐(BA)、苯肼(PH)和2-溴-1-苯乙酮(BrPE)对O-GOMC进行处理,可分别阻断酚羟基、羰基和羧基官能团。实验结果进一步证实了上述趋势,即羧基是主要的活性中心,羰基是次要的活性中心。
图5. O-GOMC-Y催化剂的2e- ORR活性与选择性。
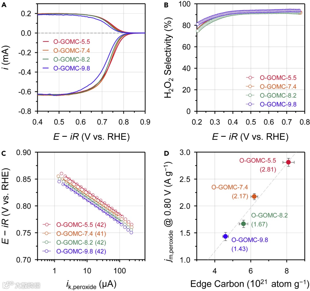
实验测试表明,O-GOMC的电化学合成H2O2活性可通过构造富边缘的催化剂而实现最大化,其中O-GOMC-5.5因其其丰富的活性边缘羧基、羰基位点,以及优化的结构而被认为是本研究中性能最好的催化剂。
图6. 在碱性电解质中O-GOMC-5.5与先前报导碳基电催化剂的电化学合成H2O2活性对比。
图7. 在H型电化学池中使用O-GOMC-5.5进行电化学合成H2O2测试。
通过活性中心识别与催化剂结构优化,所设计出的最佳催化剂OGOMC-5.5表现出高达99%的H2O2法拉第效率(FE),而且在长达168 h的时间中具有优异的稳定性。

文献来源
June Sung Lim, Jae Hyung Kim, Jinwoo Woo, Du San Baek, Kyuwook Ihm, Tae Joo Shin, Young Jin Sa, Sang Hoon Joo. Designing highly active nanoporous carbon H2O2 production electrocatalysts through active site identification. Chem. 2021. DOI: 10.1016/j.chempr.2021.08.007.
文献链接:https://doi.org/10.1016/j.chempr.2021.08.007
【无碳及贵金属的Ni2Mo6S8电催化剂用于选择性电合成H2O2】

DOI: 10.1002/adfm.202104716

全文速览
尽管目前在电化学合成H2O2的催化剂设计上已取得一些进展,但高H2O2选择性通常伴随着高过电位和较为有限的电流密度。此外,开发同时具有高活性和选择性的非贵金属基电催化剂用于电化学H2O2合成仍然极具挑战性。
在本文中,作者通过两步固态球磨策略制备出一种具有新型Ni-Mo6S8活性位点基序的Chevrel相Ni2Mo6S8,并将其用于在水系电解液中选择性催化2e- ORR转化为H2O2。
图2. Ni2Mo6S8催化剂用于选择性电化学O2还原制H2O2。
尽管Ni2Mo6S8催化剂具有较低的表面积,但它在很宽的电位范围内表现出卓越的H2O2合成活性,H2O2摩尔选择性>90%。
图3. Ni2Mo6S8和Mo6S8催化剂的电催化稳定性与累积H2O2的化学定量比较。
作者采用化学滴定法成功验证了H2O2的生成,生成速率高达90 mmol H2O2 gcat-1 h-1。如此优异的活性来自于两方面,一方面为Ni的配体和整体效应,其可促进H2O的解离以及质子耦合O2还原为HOO*;另一方面为Chevrel相结构的空间效应,即孤立的镍活性位点可以抑制O-O裂解。
图4. (a) Ni2Mo6S8催化剂中的Ni-Mo6S8电子相互作用;(b) Mo 3d和(c) S 2p高分辨XPS光谱;(d) Ni2Mo6S8, Cu2Mo6S8和Zn2Mo6S8催化剂的RRDE曲线比较;(e)电催化性能横向对比。
Ni配体和Chevrel相之间的协同作用可以使Ni2Mo6S8快速、高选择性地催化合成H2O2,转化频率高达≈30 s-1。此外,Ni2Mo6S8催化剂具有稳定的晶体结构和抗氧化性,从而保证了连续生产H2O2时的长期催化稳定性。

文献来源
Fan Xia, Bomin Li, Yiqi Liu, Yuzi Liu, Siyuan Gao, Ke Lu, Jacob Kaelin, Rongyue Wang, Tobin J. Marks, Yingwen Cheng. Carbon Free and Noble Metal Free Ni2Mo6S8 Electrocatalyst for Selective Electrosynthesis of H2O2. Adv. Funct. Mater. 2021. DOI: 10.1002/adfm.202104716.
文献链接:https://doi.org/10.1002/adfm.202104716
本文仅供科研分享,不做盈利使用,如有侵权,请联系后台小编删除
添加官方微信 进群交流
SCI二氧化碳互助群
SCI催化材料交流群
SCI钠离子电池交流群
SCI离子交换膜经验交流群
SCI燃料电池交流群
SCI超级电容器交流群
SCI水系锌电池交流群
SCI气体扩散层经验交流群
备注【姓名-机构-研究方向】
说明
🔹本文内容若存在版权问题,请联系我们及时处理。
🔹欢迎广大读者对本文进行转发宣传。
🔹《科学材料站》会不断提升自身水平,为读者分享更加优质的材料咨询,欢迎关注我们。
投稿请联系contact@scimaterials.cn