

清洁可再生能源对化石燃料的取代对于实现低碳循环的能源转型具有深远影响。 基于人工光合作用的电解水过程以高效清洁的方式可以实现氢能原料的重整。其中析氧反应的迟缓动力学过程成为电解水过程中成本控制的关键步骤。高效的电催化剂对于降低析氧反应过电势有着至关重要的效果,从而实现控制电解水能耗成本。基于金属铱的分子催化剂凭借其高效的析氧反应催化性能和精准可控的分子结构促使了对析氧反应机理的深入且广泛研究。然而,均相电催化反应体系中的催化剂稳定性,电极反应产物交叉等问题严重地阻碍了分子催化剂在大规模电解池体系中的实际应用。因此,研发稳定且高效的析氧反应体系对于实现分子催化剂的广泛应用具有极其重要的意义。
针对以上问题,美国弗吉尼亚大学化学系T. Brent Gunnoe教授,张森教授课题组和加州理工学院 William A. Goddard III教授课题组通过利用π-π堆积作用的策略实现了对基于铱的高效分子催化剂在有序介孔碳材料的上的固定和异相化处理,从而显著提升了分子催化剂在析氧反应条件下的稳定性。同时,通用力场和密度泛函理论计算对于分子催化剂在有序介孔碳表面的吸附作用的定量研究充分地印证了实验中对吸附过程的定性表征分析。
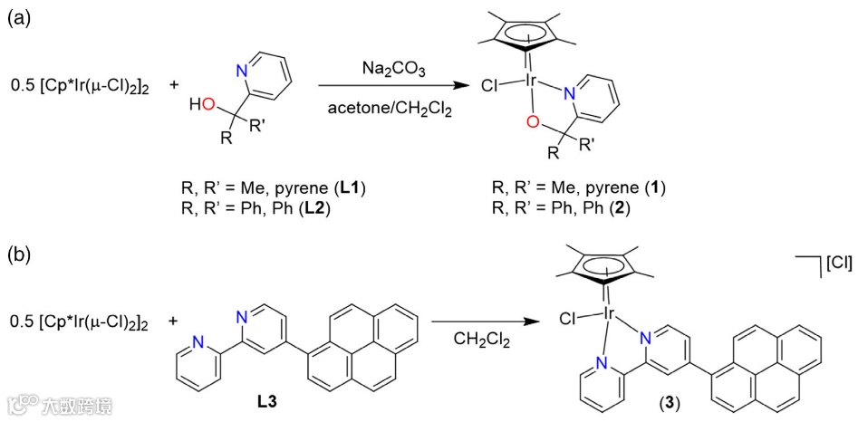
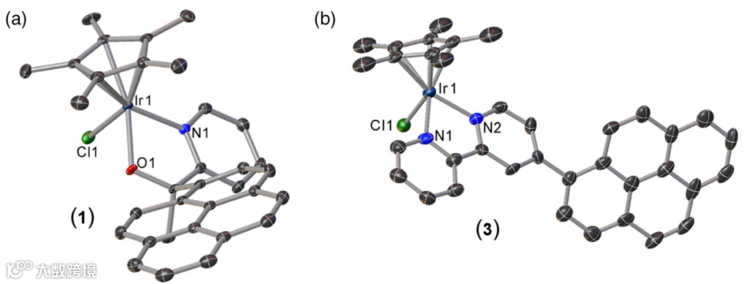
该工作通过引入芘基到取代羟甲基吡啶配体 (pyalk) 以及联吡啶配体合成出具有不同分子结构的铱分子催化剂。由于配体的改性设计,铱分子催化剂与有序介孔碳存在π-π堆积作用。铱分子催化剂的配位结构通过X光单晶衍射得以准确分析。


图1: 铱分子催化剂的合成路径及分子结构。
有序介孔碳结构通过模板法得以合成,其中单分散的四氧化三铁纳米粒子自组装的超晶格结构作为刻蚀的模板(如图2所示)。铱分子催化剂通过超声吸附的方式被固定在具备有序孔道结构的碳材料表面。
图2:有序介孔碳材料形貌及分子催化剂固定方法
通过紫外吸收光谱,三种不同铱分子催化剂对碳材料的吸附能力进行了定性的分析 (如图 3)。固定在碳材料表面的铱分子催化剂的电催化性能测试展示出三种催化剂优异的催化活性以及可观的稳定性,充分证明了π-π堆积作用对稳定性的改善。催化反应后的透射电镜照片中没有没有观测到铱氧化物纳米粒子的形成,进一步印证了铱分子催化剂的稳定性。

图3:固定分子催化剂催化性能测试
通过通用力场和泛函密度理论计算,三种分子催化剂对无定形碳材料的表面吸附具有不同的吸附能(如图4所示)。理论计算的结果与实验中定性的表征结果具有高度的一致性,表明不同的配体结构对分子催化剂的固定效果产生出明显的影响。

图4:量子力学理论计算分子催化剂与无定形碳之间的相互作用。
该工作成功设计了高性能的铱分子催化剂,并且通过π-π堆积的作用将分子催化剂进行固定,从而得到优异的催化活性和稳定性。可控铱活性位点的设计和可控合成为进一步的探索和开发高性能的析氧反应分子催化剂提供了设计思路。通过对吸附过程的理论计算分析,该工作同时也为最优化分子催化剂固定过程中的整合效应给出新的认识。
本文共同第一作者为弗吉尼亚大学化学系博士后Ana M. Geer和博士生刘畅,通讯作者为弗吉尼亚大学T. Brent Gunnoe, 张森教授和加州理工学院William A. Goddard III教授,合作者包括Argonne国家实验室先进光源中心周华研究员。
论文信息:
点击左下角「阅读原文」,查看该论文原文。
Small
Science
期刊简介
Small Science是Wiley于2021年最新推出的纳米领域开放获取顶尖旗舰期刊。收录纳米研究工作成果,侧重于物理、化学、材料科学、工程学、环境科学、生命科学和医学等领域的微米/纳米级结构和系统的设计、表征、机理、技术及应用。特别欢迎前沿、跨学科应用研究及针对特定领域长期挑战问题的基础科研工作。
添加官方微信 进群交流
SCI二氧化碳互助群
SCI催化材料交流群
SCI钠离子电池交流群
SCI离子交换膜经验交流群
SCI燃料电池交流群
SCI超级电容器交流群
SCI水系锌电池交流群
SCI气体扩散层经验交流群
备注【姓名-机构-研究方向】
投稿请联系contact@scimaterials.cn

点击“分享”,给我们一点鼓励吧~

