大数跨境

武汉理工大学SMALL:超低载量钌掺杂的非晶态钴基氧化物用于在碱性介质和碱性海水介质中高效驱动高电流密度电解水反应

武汉理工大学SMALL:超低载量钌掺杂的非晶态钴基氧化物用于在碱性介质和碱性海水介质中高效驱动高电流密度电解水反应 科学材料站
2021-08-21
0
导读:本文设计并构筑了一种超低载量钌掺杂的非晶态钴基氧化物双功能催化剂,用于在碱性条件下高效驱动电解海水反应。


文章信息

超低载量钌掺杂的非晶态钴基氧化物用于在碱性介质和碱性海水介质中高效驱动高电流密度电解水反应
第一作者:吴杜兰
通讯作者:木士春*
单位:武汉理工大学

研究背景

随着人们对绿色可再生资源的需求及氢经济的发展,电解水制氢将成为人们获得氢能的主要途径,但目前电解水制氢的工业应用受到高能耗的限制。因此,如何在高电流密度下实现高效和稳定的电解水制氢显得格外重要。这无疑促使人们去探索具有突出析氢和析氧反应(HER&OER)电催化活性的双功能催化剂。当前,应用于HER&OER的商业催化剂分别主要为Pt/C和RuO2/IrO2,不仅价格昂贵,而且稳定性差。
此外,随着淡水资源的日渐枯竭,使人们将目光投向了储量更为丰富的海水来制氢,这对催化剂是一个很大挑战。因此,合理地设计和构筑一种成本低且能更高效地海水电解制氢的非贵金属催化剂变得尤为重要。

文章简介

基于此,武汉理工大学木士春团队设计并构筑了一种超低载量钌掺杂的非晶态钴基氧化物双功能催化剂(Ru-CoOx/NF),用于在碱性条件下高效驱动电解海水反应。
该催化剂在1000mA cm-2的高电流密度下表现出优异的电催化性能,并具有较好的电化学稳定性。研究成果为未来工业电解水催化剂的应用提供了新的思路。
图1. 图文摘要

本文要点

要点一:催化剂具有独特的金属Ru掺杂和非晶态CoOx纳米片结构
相较于晶态结构,非晶态结构可以暴露出较多的表面缺陷,进而提供更多的电化学活性位点;而金属钌的掺杂可引起的内部电荷转移以促进电化学动力学,使得Ru-CoOx具有优异的电催化性能。
实验上,我们通过先浸泡后退火的方法在泡沫镍基底上成功构筑金属Ru掺杂钴基氧化物,并证明了CoOx非晶态纳米片结构的形成及金属Ru的成功掺杂。
图2. Ru-CoOx/NF催化剂的结构表征

要点二:优异的OER、HER催化活性
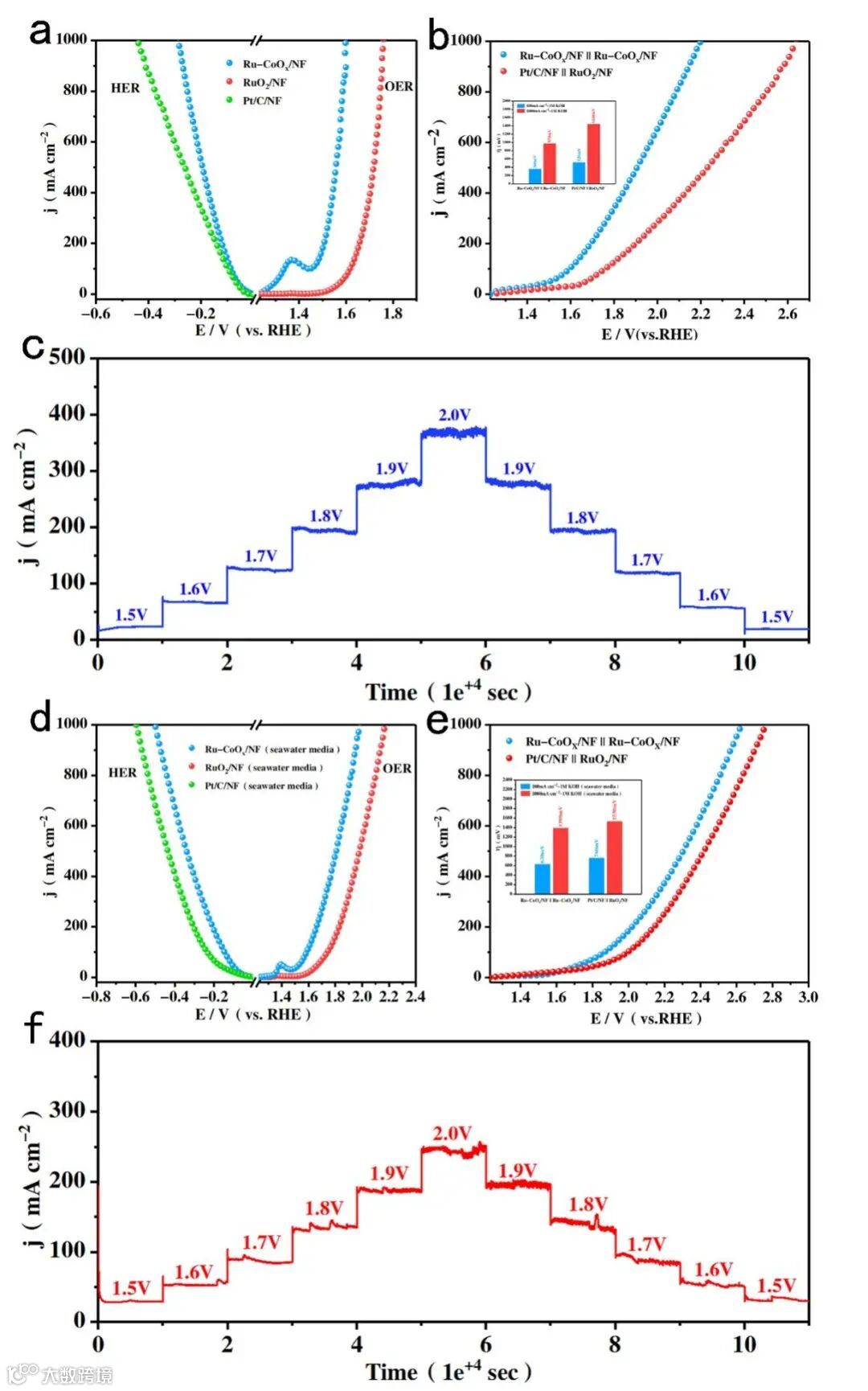
Ru-CoOx/NF在碱性介质中表现出出色的电催化活性与稳定性。在1000mA cm-2大电流密度下,其OER和HER的过电位仅为370和252 mV。催化剂经过100h的恒电流稳定性测试后,性能并没有明显衰减。
利用Ru-CoOx/NF为阴极和阳极组装的电解槽展现出优异的全解水性能,仅需1.59V的槽电压就能获得100mA cm-2的电流密度,具有接近100%的法拉第效率,而且在30h的多步电压稳定性测试过程中仍能保持稳定的性能。
图3. Ru-CoOx/NF在碱性介质中的电催化活性

要点三:有效驱动海水全电解制氢
实验结果表明,Ru-CoOx/NF在碱性海水介质中也能有效催化电解水反应。在100mA cm-2和1000mA cm-2大电流密度下,电解槽分别仅需630、1390 mV的过电位,明显低于商业贵金属构成的Pt/C/NF || RuO2/NF电解槽的过电位(760 mV, 1530 mV)。
同时,还具有出色的稳定性和接近100%的法拉第效率。在30h的多步电压稳定性测试中,性能曲线在经过峰值后并无显著衰减。
图4. Ru-CoOx/NF在海水介质中的电催化活性

文章链接

Ultralow Ru Incorporated Amorphous Cobalt-Based Oxides for High-Current-Density Overall Water Splitting in Alkaline and Seawater Media
https://doi.org/10.1002/smll.202102777

通讯作者介绍

木士春 武汉理工大学学科首席教授,博士生导师。
主要从事电解水制氢、质子交换膜燃料电池关键材料与核心器件和碳纳米材料等研究工作。目前,作为第一作者及通讯作者已在Nat. Commun.、Adv. Mater.、J. Am. Chem. Soc.、Angew. Chem. Int. Ed.、Energy Environ. Sci.、Adv. Energy Mater.、Adv. Funct. Mater.、Adv. Sci.、ACS Nano.、ACS Catal.、ACS Energy Lett.、Nano Energy等国内外期刊上发表250余篇SCI学术论文,申请国家发明专利102件,其中授权84件。


添加官方微信 进群交流

SCI二氧化碳互助群

SCI催化材料交流群

SCI钠离子电池交流群

SCI离子交换膜经验交流群

SCI燃料电池交流群

SCI超级电容器交流群

SCI水系锌电池交流群

SCI气体扩散层经验交流群

备注【姓名-机构-研究方向】

说明

🔹本文内容若存在版权问题,请联系我们及时处理。

🔹欢迎广大读者对本文进行转发宣传。

🔹《科学材料站》会不断提升自身水平,为读者分享更加优质的材料咨询,欢迎关注我们。

投稿请联系contact@scimaterials.cn

致谢

感谢本文作者对该报道的大力支持。

了解碱性水电解材料,点击"阅读原文"

【声明】内容源于网络
0
0
科学材料站
内容 0
粉丝 0
科学材料站
总阅读0
粉丝0
内容0