大数跨境

王春生教授, ACS Energy Letters:亲锂/憎锂协同调控固态电解质界面,同时实现润湿与抑制枝晶

王春生教授, ACS Energy Letters:亲锂/憎锂协同调控固态电解质界面,同时实现润湿与抑制枝晶 科学材料站
2021-12-11
2
导读:文通过将锶(Sr)掺入锂负极来克服锂枝晶和高界面电阻这两个挑战。


文 章 信 息

亲锂/憎锂协同调控固态电解质界面,同时实现润湿与抑制枝晶
第一作者:Xinzi He
通讯作者:王春生*
单位:马里兰大学

研 究 背 景

使用石榴石电解质的固态锂电池(SSLB)有可能具有更高的能量密度,并且比液体有机电解质锂离子电池更安全。然而,SSLBs面临着锂枝晶和高界面电阻的挑战。

文 章 简 介

基于此,来自马里兰大学的王春生教授,在国际知名期刊ACS Energy Letters上发表题为“Tuning Interface Lithiophobicity for Lithium Metal Solid-State Batteries”的文章。
该文通过将锶(Sr)掺入锂负极来克服锂枝晶和高界面电阻这两个挑战。与以往所有在石榴石或锂合金负极上形成亲锂性夹层的金属/金属氧化物涂层不同的是, Li-Sr/SrO富集在界面上,形成亲锂/疏锂的双功能层。该夹层降低了界面阻力,同时SrO掺杂的Li2O也抑制了锂的枝晶。
另外,SrO独特的对锂稳定性还一致了石榴石的还原和锂枝晶的生长,这使它与所有报道的合金电子传导夹层相区别。优化的锂锶-石榴石-锂锶对称电池实现了1.3 mA/cm2的临界电流密度,并且在室温下可以在0.5 mA/cm2下循环1000次。双功能亲锂/疏锂夹层为高性能石榴石固态锂电池提供了一种新的策略。

本 文 要 点

图1. Li-Sr|LLZTO界面的组装和表征

图2. 锂-garnet界面的特征和计算
X射线光电子能谱(XPS)表明,SrO掺杂的Li2O存在于Li|LLZTO界面上(图2c)。Li2O是疏锂性的,具有0.75J/m2的高界面能量和较高的Li枝晶抑制能力。然而,Li2O的低锂离子电导率也诱发了一个大的过电位。在Li2O中掺入金属氧化物可以成为降低电阻的有效方法。
SrO是极少数对Li相对稳定的金属氧化物之一,其平衡电位为5.0 mV vs Li,与LLZO相似。此外,热力学计算表明,Li和SrO之间反应为正吉布斯能,验证了SrO对Li的相对稳定性。因此,SrO掺杂的Li2O与Li是稳定的。
此外,SrO掺杂的Li2O还通过降低Li2O和LLZTO之间的界面能量来增强润湿性,界面电阻显著降低。图2d表明,由于Li2O与石榴石的界面能高达1.03J/m2,因此Li2O是憎石榴石的。
由于SrO与石榴石的界面能较低(0.82 J/m2),且与Li的界面能较低(0.26 J/m2),因此SrO可作为锚来粘合Li负极和LLZTO,从而大大降低界面阻力。此外,具有低电子传导性的疏水性SrO掺杂的Li2O也可以抑制LLZTO的还原和Li枝晶的生长(图2e)。

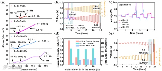
图3. Li-Sr|LLZTO|Li-Sr对称电池的电化学性能。对称电池的循环稳定性

图4. Li-Sr|LLZTO|Li-Sr对称电池的循环稳定性
如图3c和图4a所示,在最初的几个循环中,所有电池都有一个平坦和类似的电位曲线。然而,对于Sr含量≥5%的Li-Sr负极,电流密度的增加或不断地进行电流循环时,极化迅速增加直至短路前产生强烈的极化。这种强极化的解释对于理解失效机制至关重要。
在CCD测试中,随着电流密度的线性增加,根据Nernst-Planck方程,SSE内部的离子运输也应该呈现出线性过电位,而这种强烈的极化却不是这样。这种过电位的增加有可能是由于(1)Li|LLZTO界面上Li23Sr6和Li2Sr3之间的相变,具有不同的锂化/脱锂电位,因为Li23Sr6相可能在Li剥离过程中转变为Li2Sr3。(2)由于Li23Sr6相在块状Li中的Li原子扩散减少而形成空隙,以及(3)由于Li电镀/剥离过程中的巨大体积变化,在块状Li-Sr负极中形成裂缝。
强烈的极化可能是克服高能量障碍的标志。使用DFT计算了Li23Sr6和Li2Sr3的平衡电位,Li2Sr3和Li23Sr6的平衡电位分别为27.8和25.7 mV(图5a)。2.0 mV的电位差不可能引起短路前的强烈极化。
图5. Li-Sr负极和Li|LLZTO界面的电化学和机械稳定性

在Li|LLZTO界面上的空隙形成可能是造成短路产生强烈极化的原因,在这个阶段,合金电极内的Li空位扩散不能保持电流增加的速度。空隙的演化与锂原子的扩散率、Li-Sr/SrO-Li2O|LLZTO界面的亲锂/疏锂特性密切相关。
在0.65 mAh/cm2的高容量下,Li-Sr-1%负极的CCD高达1.3 mA/cm2,这是因为双功能SrO掺杂的Li2O夹层将Li与Li2O结合在一起,同时也降低了Li2O|LLZTO的界面能量,降低了界面电阻,也抑制了Li枝晶的生长。随着Li-Sr负极中Sr含量的增加,大量的Li23Sr6相分布在Li内部,降低了Li的形变和延展能力,从而在Li剥离的早期阶段形成空隙,因此CCD较低。
如图5b所示,在2MPa下压制锂金属球和锂-Sr-合金球,其流动和弹性行为表现出明显差异。锂金属和Li-Sr-1%合金表现出良好的延展性,并形成表面光滑和有金属光泽的薄片,而Li-Sr-5%、-10%和-20%合金则呈现出皱纹、裂缝间隙,甚至断裂。随着锂-锶合金中Sr比率的增加,可以预计延展性和延展性会明显变差,这将在循环过程中引入更多有害的裂纹。
如图5c-f所示,在Li电镀/剥离循环后,由于SrO锚的高稳定性,Sr仍然富集在Li|LLZTO界面,没有被推开,这与那些电子导电合金涂层完全不同。然而,在Li-Sr-10%和-20%电池的LLZTO和负极之间可以清楚地看到间隙,这是空隙形成和接触损失的证据。裂缝和孔也出现在Sr>5%的Li-Sr负极体中。
图6. Li-Sr-1%|LLZTO|NMC811电池的电化学性能
Li-Sr-1%|LLZTO|LiNi0.8Mn0.1Co0.1O2(NMC811)电池的组装示意图如图6a所示,用液体电解质润湿正极界面来消除正极侧接触的影响。该电池在0.2C下从2.7到4.3V提供192 mAh/g(图6c),100次循环后容量保持率为82%(图6d)。
固态锂金属电池面临着锂枝晶生长和高界面电阻这两个关键挑战。为了抑制锂枝晶的生长,界面应该是憎锂的,而低界面电阻需要亲锂的(湿润的)界面。锶和原位形成的SrO的独特组合解决了界面润湿性和枝晶疏锂性之间的两难问题,这有助于形成双功能亲锂/疏锂夹层,结合低界面电阻和高抑制枝晶能力。
SrO与Li稳定,并通过减少Li2O和LLZTO之间的界面能量来促进负极和LLZTO之间的接触。它作为一个锚,使Li沉积在界面层和负极之间,从而(1)抑制锂核和树枝晶在SSE上的传播;(2)保持界面层在负极|SSE界面上的稳定,而不是被推开;(3)减少Li2O疏锂层的阻力,但保持其疏锂的性质;(4)对石榴石有很高的亲和力。优化的Li-1% Sr合金负极|LLZTO可以协同实现低界面电阻和高Li枝晶抑制能力,这表现在0.65 mAh/cm2时1.3 mA/cm2的高CCD和室温下0.5 mA/cm2下1000次的稳定循环(1000小时)。这项工作提供了一个新的策略,并揭示了提高SSLB性能的关键问题。

文 章 链 接

Tuning Interface Lithiophobicity for Lithium Metal Solid-State Batteries
https://pubs.acs.org/doi/10.1021/acsenergylett.1c02122

通 讯 作 者 简 介

王春生 教授
王春生教授1995年在浙江大学获得博士学位,随后在美国德州农工大学做Research Scientist、田纳西理工大学分别担任助理教授。他于2007年进入马里兰大学任职,目前在化学与生物分子工程系担任R.F.&FRWright杰出教授,马里兰大学-陆军实验室(UMD-ARL)联合组建极限电池研究中心主任。WISE Batteries创始人,AquaLith Advanced Materials联合创始人。王春生教授的研究兴趣在于新型二次电池、电容器和燃料电池的开发,取得了一系列水系电池和全固态电池等方面的重大研究成果。在Nature、Science、Nat. Mater、Nat. Nanotech.、Nat. Energy、Nat. Chem、Nat. Commun、PNAS、JACS、Angew、 AdvMater等国际顶级期刊发表320多篇文章。论文被引用近40000次,h指数为107。2013年获美国马里兰大学詹姆斯·克拉克工程学院青年教师杰出研究奖,2015和2021年获马里兰大学年度发明奖。科睿唯安2018 至2021年度“高被引学者。目前,还担任ACS Applied Energy Materials副主编。

课 题 组 介 绍

课题组主页:
https://cswang.umd.edu


添加官方微信 进群交流

SCI二氧化碳互助群

SCI催化材料交流群

SCI钠离子电池交流群

SCI离子交换膜经验交流群

SCI燃料电池交流群

SCI超级电容器交流群

SCI水系锌电池交流群

SCI水电解互助群

SCI气体扩散层经验交流群

备注【姓名-机构-研究方向】

说明

🔹本文内容若存在版权问题,请联系我们及时处理。

🔹欢迎广大读者对本文进行转发宣传。

🔹《科学材料站》会不断提升自身水平,为读者分享更加优质的材料咨询,欢迎关注我们。

投稿请联系contact@scimaterials.cn

致谢

感谢本文作者对该报道的大力支持。

点分享

点赞支持

点在看

【声明】内容源于网络
0
0
科学材料站
内容 0
粉丝 0
科学材料站
总阅读0
粉丝0
内容0