文 章 信 息
研 究 背 景
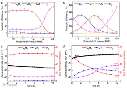
文 章 简 介
二氧化碳电解左右滑动查看更多
本 文 要 点
文 章 链 接
添加官方微信 进群交流
SCI二氧化碳互助群
SCI催化材料交流群
SCI钠离子电池交流群
SCI离子交换膜经验交流群
SCI燃料电池交流群
SCI超级电容器交流群
SCI水系锌电池交流群
SCI水电解互助群
SCI气体扩散层经验交流群
备注【姓名-机构-研究方向】
投稿请联系contact@scimaterials.cn
了解更多CO2RR材料,点击"阅读原文"
点分享
点赞支持
点在看

