大数跨境

山东大学王建军、刘宏教授团队CEJ研究文章:电子结构调控和聚硫键协同提升Co掺杂(Ni, Fe)1+xS电解水性能

山东大学王建军、刘宏教授团队CEJ研究文章:电子结构调控和聚硫键协同提升Co掺杂(Ni, Fe)1+xS电解水性能 科学材料站
2022-04-03
0
导读:本工作通过简单的电沉积、浸泡以及退火过程,在泡沫镍基底上合成了一种高效稳定的Co掺杂(Ni, Fe)1+xS(FeCoNiS)催化剂

文 章 信 息

电子结构调控和聚硫键协同提升Co掺杂(Ni, Fe)1+xS电解水性能
第一作者:黄远
通讯作者:刘宏,王建军
单位:山东大学

研 究 背 景

高效、稳定的OER催化剂是电催化分解水制氢技术实现大规模应用的关键。过渡金属硫化物由于丰度高、导电性良好和电子结构可调等优点而受到广泛关注。然而,大多数硫化物在阳极电压下会发生氧化过程,发生包括形貌变化、元素浸出、结构坍塌在内的表面重构过程,使催化剂在短时间内失去活性。
一般来说,硫化物电极在10 mA cm-2 的电流密度下只能稳定工作数十小时,很少能达到数百小时,更不用说在高电流密度下长期工作了,这极大的限制了其规模化应用。基于此,本文设计了一种掺杂调控电子结构、协同化学键优化硫化物电极催化活性的策略,实现了(Ni, Fe)1+xS催化活性和稳定的提升。

碱性水电解左右滑动查看更多


文 章 简 介

在这里,山东大学王建军刘宏教授团队在国际权威期刊Chemical Engineering Journal上发表题为“Electronic Structure Regulation and Polysulfide Bonding of Co-doped (Ni, Fe)1+xS Enable Highly Efficient and Stable Electrocatalytic Overall Water Splitting”的研究文章。
本工作通过简单的电沉积、浸泡以及退火过程,在泡沫镍基底上合成了一种高效稳定的Co掺杂(Ni, Fe)1+xS(FeCoNiS)催化剂。系统实验结果表明,FeCoNiS表现出十分优异的OER 活性和稳定性,在1M KOH达到10 mA cm-2的电流密度只需要164 mV的过电位,而且在100 mA cm-2的电流密度下能够稳定运行2200 小时无明显衰减。当以FeCoNiS和MoNi4/MoO2分别作为阳极和阴极组装碱性电解池时,在1.60 V的电压下就能达到100 mA cm-2的电流密度,并能够在 200 mA cm-2 的电流密度下稳定工作 1200 小时。如此优异的性能可以归因于钴掺杂对(Ni, Fe)1+xS电子结构的调控、聚硫键(Sn2-) 的形成以及金属元素之间的协同作用。这项工作为探索过渡金属硫化物作为高效稳定的大规模产氢催化剂提供了新的策。

本 文 要 点

要点一:FeCoNiS电极的制备与表征
图1. FeCoNiS 电极的合成示意图。

图2. FeCoNiS 电极的结构以及形貌表征。
通过电沉积、浸泡和退火过程,在泡沫镍基底上合成了表面粗糙的FeCoNiS催化剂(图1和图2a)。Raman结果表明合成的产物为Fe、Co、Ni的硫化物,主要组成为(Ni, Fe)1+xS(图2b),晶体结构如图2c所示。TEM以及对应的mapping的结果进一步确认了最终的产物为Co掺杂(Ni, Fe)1+xS (图2d-f)。

要点二:FeCoNiS与FeNiS的XPS表征
图3. FeCoNiS与FeNiS的XPS表征。
Co 2p图谱显示Co与S成键,表明Co成功的掺杂进入(Ni, Fe)1+xS中(图3c)。Fe 2p和Ni 2p图谱显示,Co的引入会导致Fe和Ni的结合能向高能偏移,表明Co掺杂改变了Fe和Ni的电子结构,产生高价态的Fe和Ni活性位点(图3a-b)。S 2p图谱中存在S-M(Fe、Co、Ni)和Sn2-键,表明产物为硫化物并且含有大量的聚硫键(图3d)。

要点三:FeCoNiS高效电催化OER性能
图4. 催化剂的OER性能表征。
FeCoNiS 在1 M KOH电解液中实现10mA cm-2的电流密度仅需164 mV的过电位,并表现出超小的塔菲尔斜率(23.2 mV dec-1),优于同类催化剂 (图4a-c)。更重要的是,FeCoNiS在1 M KOH电解质中具有优异的稳定性,在100 mA cm-2的电流密度下可以稳定工作超过2200小时(图4d-e)。

要点四:FeCoNiS性能增强的机理分析
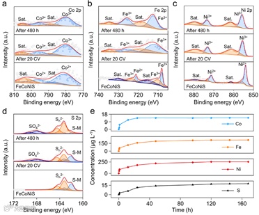
图5. FeCoNiS在不同稳定性测试时间下的XPS和ICP表征。
经过长时间稳定性测试,Fe、Ni 、Co的XPS图谱发生明显变化, 元素价态显著升高,形成相应的羟基氧化物(图5a-c)。S 2p图谱也证明了这一点,S-M键强度明显下降,SO42-的强度上升,表明FeCoNiS被氧化成高价态的羟基氧化物(图5d),但Sn2-的信号没有发生明显变化,这可能是FeCoNiS具有长期稳定性的原因。ICP测试结果表明,Fe、Ni 、Co和S在电解质溶液中的浓度在144h时就达到了稳定,后续不再变化,原因可能是形成的羟基氧化物以及Sn2-会阻止活性元素的浸出(图5e)。

要点五:全解水电催化活性评价
图6. 全解水性能表征。
实验结果表明,组装的FeCoNiS || MoNi4/MoO2双电极电解槽在1M KOH具有优异的电催化活性。在100 mA cm-2的电流密度下,电解槽仅需1.60 V的电压驱动,明显低于商业贵金属构成的RuO2 || MoNi4/MoO2电解槽(1.74V,图6a)。
同时,还具有出色的稳定性(200 mA cm-2的电流密度下稳定工作1200小时)和接近100%的法拉第效率(图6b-c)。此外,采用商用的1.5V的干电池驱动FeCoNiS || MoNi4/MoO2电解槽进行水分解,发现电极表面存在明显的气泡,表明FeCoNiS电极存在将低压电能转化为化学燃料能的可行性(图6d)。

文 章 链 接

Electronic Structure Regulation and Polysulfide Bonding of Co-doping (Ni, Fe)1+xS Enable Highly Efficient and Stable Electrocatalytic Overall Water Splitting
https://doi.org/10.1016/j.cej.2022.136121

通 讯 作 者 简 介

王建军  教授  博导
王建军,教授,博导,中国化学会会员。于中国科学院化学研究所获得博士学位。先后在爱尔兰利莫瑞克大学(UL)、瑞士联邦材料科学与技术研究所(EMPA)、西班牙光子科学研究所(ICFO)从事博士后研究工作。主要从事纳米材料设计、合成、性能调控及其在光电转换、光催化、电化学等领域的应用研究。目前,主持承担山东大学齐鲁青年学者人才项目、国家自然科学基金项目、北京分子科学国家研究中心课题、深圳科创委项目、山东省自然科学基金优秀青年基金项目等科研项目近10项。近些年,在J. Am. Chem. Soc.、Advanced Material、NPG Asia Mater. 、J. Mater. Chem. A、Small等国际顶级期刊上发表论文近50篇,总引用2000余次。部分工作被J. Am. Chem. Soc.、Small等选为封面文章发表,多篇成果被Nature China、Chem. Rev.等顶级期刊和科学媒体选为研究亮点进行广泛报道。获中国科学院院长优秀奖,中国科学院优秀博士论文,欧盟委员会第七框架(FP7)的欧盟内玛丽居里独立科研基金资助。

刘宏  教授  博导
山东大学晶体材料国家重点实验室、济南大学前沿交叉科学研究院教授,博士生导师,国家杰出青年科学基金获得者。中国硅酸盐学会晶体生长分会理事,中国光学学会材料专业委员会会员理事,中国材料研究学会纳米材料与器件分会理事。主要研究方向:生物传感材料与器件、纳米能源材料、组织工程与干细胞分化、光电功能材料等。十年来,主持了包括十五、十一五、十二五、863、十三五国家重点研发项目和自然基金重大项目、自然基金重点项目在内的十余项国家级科研项目,取得了重要进展。2004至今,在包括Adv. Mater., Nano Letters,ACS Nano,J. Am. Chem. Soc, Adv. Fun. Mater,Envir. Eng. Sci., 等学术期刊上发表SCI文章300余篇,其中,个人文章总被引次数超过22000次,H因子为71。


添加官方微信 进群交流

SCI二氧化碳互助群

SCI催化材料交流群

SCI钠离子电池交流群

SCI离子交换膜经验交流群

SCI燃料电池交流群

SCI超级电容器交流群

SCI水系锌电池交流群

SCI水电解互助群

SCI气体扩散层经验交流群

备注【姓名-机构-研究方向】

说明

🔹本文内容若存在版权问题,请联系我们及时处理。

🔹欢迎广大读者对本文进行转发宣传。

🔹《科学材料站》会不断提升自身水平,为读者分享更加优质的材料咨询,欢迎关注我们。

投稿请联系contact@scimaterials.cn

致谢

感谢本文作者对该报道的大力支持。

了解碱性水电解材料,点击"阅读原文"

点分享

点赞支持

点在看


【声明】内容源于网络
0
0
科学材料站
内容 0
粉丝 0
科学材料站
总阅读0
粉丝0
内容0