文 章 信 息
炭黑负载镍铁羟基氧化物团簇实现高效电催化析氧
第一作者:王忠科
通讯作者:余灿,江瑞斌
单位:陕西师范大学材料科学与工程学院
研 究 背 景
析氧反应(OER)是一个关键的电化学反应,在水分解和可充电金属空气电池中扮演者极为重要的角色,直接决定了电能与化学能之间的整体转换效率。然而OER反应的动力学过程缓慢,需要高效的催化剂来加速这一过程。目前,商业上成熟的OER催化剂是钌/铱基金属及其氧化物。然而,高昂的成本和稀缺性限制了它们的广泛应用。因此,开发储量丰富、高活性和良好稳定性的OER催化剂就显得至关重要。
文 章 简 介
基于此,来自陕西师范大学材料科学与工程学院的江瑞斌教授课题组与中国科学院高能物理研究所余灿老师合作,在国际知名期刊Journal of Materials Chemistry A上发表题为“High efficient oxygen evolution catalysis achieved by NiFe oxyhydroxide clusters anchored on carbon black”的通讯文章。
该文章采用冷冻干燥的方法合成了分散在碳黑上的镍铁羟基氧化物团簇催化剂(NiFe-oxyhydroxide/C)。在碱性条件下,该催化剂具有优异的析氧活性和稳定性。在10mA/cm2的电流密度下,过电位仅为269.6 mV,该性能优于商业RuO2催化剂。特别是该催化剂具有高质量活性,在320 mV的过电位下,质量活性大593.1 A/g。实验和理论计算研究结果表明,Ni-O-Fe结构是该催化剂具有高活性的原因。本研究工作为高效OER催化剂的开发提供了新思路。
本 文 要 点
要点一:简便、高效的制备方法
图1:合成方法及电镜表征 (A)合成方法,(B)XRD,(C-F)透射电镜及元素分布图
研究人员通过冷冻干燥的方法合成了分散于炭黑上的镍铁羟基氧化团簇。XRD和选区电子衍射的结果均表明该催化剂具有非晶的特征。同时,球差电镜的结果表明催化剂为团簇负载于碳黑上。
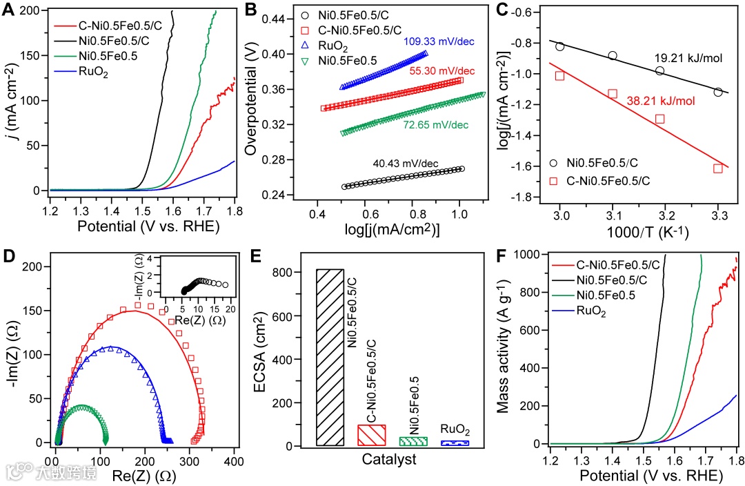
要点二:优异的OER析氧活性
图2:电化学析氧性能 (A)极化曲线,(B)塔菲尔斜率,(C)活化能,(D)阻抗,(E)电化学活性面积,(F)质量活性
与非晶镍铁羟基氧化物、晶态催化剂和商业RuO2相比,NiFe-oxyhydroxide/C表现出更为优异的OER性能,在10mA/cm2的电流密度下,过电位仅为269.6 mV。这主要得益于团簇中丰富的活性位点和炭黑良好的导电性能。
要点三:Ni-O-Fe结构活化中心
图3 Ni0.5Fe0.5/C的OER自由能变化图
X-射线吸收精细结构表明催化剂中存在Ni-O-Fe结构,DFT计算发现吸附于该结构中镍和铁桥位的*OH具有适中的结合能,从而降低了整个OER反应过程的能垒。
文 章 链 接
High efficient oxygen evolution catalysis achieved by NiFe oxyhydroxide clusters anchored on carbon black
https://pubs.rsc.org/en/content/articlelanding/2022/ta/d2ta01931k
通 讯 作 者 简 介
江瑞斌 教授
陕西师范大学材料科学与工程学院教授,博士生导师。研究方向主要集中在贵金属和半导体纳米结构的光学性质及该类材料在传感和新能源领域应用的研究,在Adv. Mater., Nat. Commun., J. Am. Chem. Soc., Angew. Chem. Int. Ed. 等期刊发表学术论文90余篇,论文他引次数5500余次,单篇最高他引次数860次,h-index为36。主持国家级项目2项,于2017年入选陕西省“百人计划”全职创新人才计划,于2018年荣获陕西省“中青年科技创新领军人才”荣誉称号。
余灿 老师
2015年本科毕业于西南交通大学应用物理学院,博士师从高能物理研究所陶冶研究员,在北京同步辐射发展了百皮秒时间分辨的超快X射线吸收谱实验平台,随后在散裂中子源科学中心从事博士后工作。在J. Am. Chem. Soc., Appl. Catal., J. Synchrotron Radiat., 等期刊上发表多篇研究论文。主要研究方向是X射线谱学应用和实验方法发展。
第 一 作 者 介 绍
王忠科,陕西师范大学材料学院18级研究生,主要研究方向为电催化分解水。以第一作者在国际期刊Small、JMCA等发表SCI论文2篇。
课 题 组 介 绍
本课题组的主要研究方向有光催化纳米材料的设计、合成及表征、纳米光子学、气相催化机理研究和催化剂设计、气体和生物传感纳米材料的设计、合成及表征等。
课题组网站:https://www.x-mol.com/groups/rbjiang
课 题 组 招 聘
常年招聘具有纳米光子学、电催化、光催化、电磁屏蔽研究背景的博士后人员,博士后待遇遵照陕西师范大学统一资助标准,并且子女享受入学和入托待遇。欢迎具有化学、物理、化学等专业的背景的本科生、研究生进组攻读硕士、博士学位。
添加官方微信 进群交流
SCI二氧化碳互助群
SCI催化材料交流群
SCI钠离子电池交流群
SCI离子交换膜经验交流群
SCI燃料电池交流群
SCI超级电容器交流群
SCI水系锌电池交流群
SCI水电解互助群
SCI气体扩散层经验交流群
备注【姓名-机构-研究方向】
投稿请联系contact@scimaterials.cn
了解碱性水电解材料,点击"阅读原文"
点分享
点赞支持
点在看

