文 章 信 息
氯离子,钠离子掺杂型羟基氧化铁纳米材料用于高效稳定咸水淡化的协同赝电容去离子化研究
第一作者:赵静璇
通讯作者:温晓茹*,叶美丹*
单位:内蒙古大学,厦门大学
研 究 背 景
工业污染、人口快速增长和淡水分布不均匀均导致全球淡水资源短缺,因此开发清洁、可再生的水资源以满足需求逐渐成为近年来的研究热点。Capacitive deionization (CDI) 水处理技术因具有高效、低能耗、无污染等显著优点引起了广泛关注,而高性能电极材料在高效稳定CDI技术中发挥着重要作用。
研究发现,传统多孔碳电极材料包括活性炭、石墨烯及复合材料仍存在吸附容量低及电化学稳定性差等主要问题。因此,高容量、高稳定性及低成本新型电极材料的设计、制备是当前国内外研究工作的重点。
近年来,过渡金属化合物(Transition metal compound, TMC)基赝电容电极材料在锂离子电池、钠离子电池、超级电容器和海水淡化等领域被广泛研究。其中,羟基氧化铁(FeOOH)以其高理论电容量、低成本及开放的晶体结构等广泛应用于电化学储存/转换材料。
然而,FeOOH赝电容材料作为CDI电极仍存在导电性较低、结构稳定性差及去除容量欠佳等问题。因此,通过形貌/微观结构/组成等调控技术以获得具有高导电性和良好稳定性的FeOOH基 CDI电极是研究重点。
文 章 简 介
基于此,厦门大学物理科学与技术学院叶美丹教授和内蒙古大学化学化工学院温晓茹副教授合作在Advanced Science 期刊上发表了题为“Efficient and Durable Sodium, Chloride-doped Iron Oxide-Hydroxide Nanohybrid-Promoted Capacitive Deionization of Saline Water via Synergetic Pseudocapacitive Process”的文章。
该文章通过简单易行的水热法成功制备了 Na 离子(Na-FeOOH)和 Cl 离子掺杂(Cl-FeOOH)的FeOOH异质结构电极,并构建了基于Na -FeOOH阴极和Cl-FeOOH阳极的非对称 CDI 器件(Na-FeOOH//Cl-FeOOH),探究了其对模拟咸水的CDI性能。
基于独特的微观结构(丰富的孔隙率、分级孔排列和高度开放的晶体结构)、掺杂改性和赝电容离子去除,Na-FeOOH//Cl-FeOOH具有突出的脱盐性能和循环稳定性。此外,通过非原位XPS和XRD阐明了协同赝电容离子去除工作机理。该研究为进一步开发高性能、低成本的FeOOH基CDI电极提供了新思路。
图1. Na-FeOOH,Cl-FeOOH及FeOOH的合成示意图。
采用NaOH和 FeCl3分别作为Na离子和Cl离子掺杂原料,通过一步水热方法合成了掺杂型FeOOH异质结构Na-FeOOH及Cl-FeOOH。同时,组装了高效非对称CDI器件(Na-FeOOH//Cl-FeOOH),探究了Na-FeOOH//Cl-FeOOH的脱盐性能及工作机理。
图2. a) XPS广谱;b) Fe 2p及c) O 1s的XPS高分辨谱(上方:Cl-FeOOH;中间:Na-FeOOH;下方:空白FeOOH);d) Na 1s及e) Cl 2p XPS高分辨谱;f) XRD谱图;g)拉曼光谱。
XPS结果表明成功制备了FeOOH纳米材料,其中Na 1s和Cl 2p高分辨谱证明Na和Cl 离子的掺杂。XRD表明合成的掺杂型FeOOH具有不同相结构,其中Na-FeOOH为α相,而Cl-FeOOH为β相。Raman光谱表明,相对于空白FeOOH,掺杂型异质结构的波长发生明显蓝移,表明Na,Cl离子的成功掺杂。
图3. a) FT-IR光谱;b, c) FeOOH,d, e) Na-FeOOH及g, h) Cl-FeOOH的SEM图像;f) Na-FeOOH及i) Cl-FeOOH的元素映射图像。
FT-IR表明,α-FeOOH和β-FeOOH 具有不同振动基团。SEM表明,FeOOH具有分级纳米花状微结构。Na-FeOOH表面形貌发生明显变化,除了局部变形的纳米花结构,其尺寸相较于空白FeOOH显著减小。Cl-FeOOH具有棒状结构。EDS结果表明,掺杂型FeOOH各元素均具有均匀分布。
图4. a) 5 mV s-1 CV曲线;b) 比电容vs. 扫速曲线;c) Na-FeOOH及Cl-FeOOH的容量贡献曲线;d) Nyquist曲线;e) 200 mA g-1 GCD曲线;f) iR vs.电流密度曲线;g) Na-FeOOH及h) Cl-FeOOH的库伦效率曲线(插图为GCD曲线)。
CV曲线中明显的氧化还原峰表明FeOOH基电极材料具有赝电容吸附行为。比电容及电容贡献曲线结果表明,Na-FeOOH和Cl-FeOOH电极的电化学性能均优于空白FeOOH;通过EIS及GCD测试进一步评估电化学性能。结果证明,掺杂型FeOOH电极具有高的比电容、速率性能及良好的导电性。Na-FeOOH和Cl-FeOOH电极的循环性能测试结果显示,复合电极具有优异的循环稳定性。
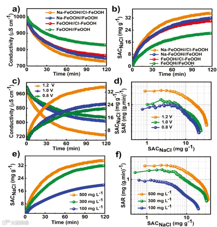
图5. 不同CDI器件的电导率vs.时间及b) SACNaCl vs.时间曲线;Na-FeOOH//Cl-FeOOH:不同电压下的c)电导率/SACNaCl vs.时间及d) Ragone曲线;不同浓度下的e) SACNaCl vs.时间及f) Ragone曲线。
非对称Na-FeOOH//Cl-FeOOH器件的CDI性能结果表明,其在1.2 V 下的脱盐容量达到35.12 mg g-1, 明显高于其对比电极;并探究了不同电压及浓度对Na-FeOOH//Cl-FeOOH的CDI性能的影响。结果表明,随着电压和浓度的增加,其脱盐容量也逐渐增加。
图6. Na-FeOOH//Cl-FeOOH器件的循环性能测试:a) SACNaCl/容量保持率vs.循环次数曲线及b) GCD循环及库伦效率曲线;Na-FeOOH电极吸附离子前后的c) Fe 2p及d) Na 1s XPS高分辨率光谱;Cl-FeOOH电极吸附离子前后的e) Fe 2p及f) Cl 2p XPS高分辨率光谱;g) Na-FeOOH//Cl-FeOOH器件的协同赝电容去离子化工作机理示意图。
此外,该工作考察了Na-FeOOH//Cl-FeOOH器件的循环稳定性。如图所示,50个CDI循环性能及GCD循环测试表明,电极容量保持率约为100%。通过非原位XPS探究工作机理。结果表明,基于赝电容反应的有效嵌入/脱出,Na和Cl离子分别被Na-FeOOH和Cl-FeOOH电极协同吸附/脱附,实现高效CDI性能。
该工作得到了国家自然科学基金(No. 21901131,22075237)、内蒙古自治区自然科学基金项目(No. 2019BS0200)、内蒙古大学大学生创新基金(No. 202210126034)和福建省自然科学基金项目(No. 2020 J01007)的支持。
通 讯 作 者 简 介
温晓茹,内蒙古大学化学化工学院副教授、硕士生导师。主要从事功能纳米材料的设计、合成,光/电协同水处理,CDI海水淡化/工业废水处理的研究。在Adv. Sci.; Chem. Eng. J.; J. Mater. Chem. A; Nanoscale; Environ. Sci. Nano; Desalination; Chem. Commun.及ACS Sustain. Chem. Eng.等国际期刊发表SCI一区学术论文10余篇;国家授权发明专利2项。主持国家自然科学基金、内蒙古自然科学基金、内蒙古大学大学生创新基金等项目。
叶美丹,厦门大学物理科学与技术学院教授、博士生导师。主要从事无机微纳米功能材料,柔性能源器件(钙钛矿太阳能器件、电化学储能器件、摩擦纳米发电机等),可穿戴生物传感器的研究。在J. Am. Chem. Soc., Adv. Mater., Adv. Funct. Mater., Mater. Today, Nano Toady等期刊上发表SCI论文70余篇,被引用4200余次,H指数33。参与撰写书籍5本,发明授权专利7项。主持国家自然科学基金、福建省自然科学基金、深圳市知识创新计划基础研究项目等项目。
第 一 作 者 简 介
赵静璇,内蒙古大学化学化工学院硕士研究生。
文 章 链 接
https://onlinelibrary.wiley.com/doi/full/10.1002/advs.202201678
添加官方微信 进群交流
SCI二氧化碳互助群
SCI催化材料交流群
SCI钠离子电池交流群
SCI离子交换膜经验交流群
SCI燃料电池交流群
SCI超级电容器交流群
SCI水系锌电池交流群
SCI水电解互助群
SCI气体扩散层经验交流群
备注【姓名-机构-研究方向】
投稿请联系contact@scimaterials.cn
点分享
点赞支持
点在看

