文 章 信 息
第一作者:姚凯利
通讯作者:梁红艳 教授
论文DOI: 10.1016/j.apcatb.2022.121377
研 究 背 景
Bi基催化剂因其具有成本低、无毒、电子构型合适等优点,在电化学CO2还原生产HCOOH方面表现出优异的催化性能,但单金属Bi存在对*OCHO吸附过弱的缺点,导致其催化CO2还原生产HCOOH的电流密度低和稳定性差。本工作通过引入第二组元In,采用离子交换和电化学还原的方法合成了一种BiIn合金催化剂,旨在进一步提升HCOOH生产的催化性能。
文 章 简 介
在这里,天津大学梁红艳教授团队在国际知名期刊ACB上发表了题为“Metal-organic framework derived dual-metal sites for electroreduction of carbon dioxide to HCOOH”的研究论文(DOI: 10.1016/j.apcatb.2022.121377),探究了BiIn合金催化剂电化学CO2还原生产HCOOH的催化性能以及反应机理。
研究人员以Bi-MOF材料为前驱体,通过离子交换和电化学还原的方法,合成了一种双组分的BiIn合金催化剂,采用原位电化学光谱技术和密度泛函理论(DFT)计算,证实了BiIn合金催化剂中双金属位点的协同效应是高效生产HCOOH的本质原因。
二氧化碳电解左右滑动查看更多
本 文 要 点
要点一:BiIn合金催化剂的表征
图1. BiIn合金催化剂的表征
材料合成中,首先采用溶剂热法合成Bi-MOF材料前驱体;随后采用离子交换法得到In-Bi-MOF材料;将In-Bi-MOF材料进行电化学还原处理最终得到BiIn合金催化剂。制备得到的BiIn合金催化剂呈现树枝状结构,主要表现为BiIn合金相,同时电子从In向Bi发生转移。
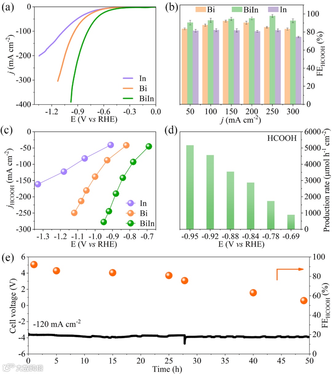
要点二:BiIn合金催化剂的电化学CO2还原性能
图2. BiIn合金催化剂在流动型电解池中和膜电极系统中的催化性能
电化学CO2还原生产HCOOH的实验证明,BiIn合金催化剂在电位为-0.95 V vs RHE时,生产HCOOH的选择性为92.5%,高于单金属Bi催化剂(83.2%)和单金属In催化剂(74.5%)。同时BiIn合金催化剂还原CO2生产HCOOH的电流密度为300 mA cm-2,生产速率为5170 µmol h-1 cm-2。此外,在膜电极体系中,BiIn合金催化剂在120 mA cm-2电流密度下能够稳定运行25 h,选择性降低率小于10%。
要点三:BiIn合金催化剂电化学CO2还原生产HCOOH的反应机理
图3. 原位红外光谱检测催化剂表面吸附的中间体
原位电化学红外光谱测试表明,相对于单金属Bi催化剂,BiIn合金催化剂能够增强CO2的吸附以及*OCHO中间体的吸附。
图4. DFT计算催化剂表面电化学CO2还原生成HCOOH的自由能
理论计算结果表明,相对于单金属Bi催化剂,BiIn合金催化剂能够促进CO2的吸附,增强对*OCHO中间体的吸附;相对于单金属In催化剂,BiIn合金催化剂能够降低*OCHO脱附形成*HCOOH的反应能。因此,在双金属位点的协同作用下降低了HCOOH生成的热力学能垒。
总 结
这项工作报道了一种BiIn合金催化剂的巧妙设计和合成方法,研究通过电化学实验、原位红外光谱实验和DFT计算等手段揭示了BiIn合金催化剂高效生产HCOOH的反应机理。该工作为制备低成本、高催化活性和长期稳定性的HCOOH生产催化剂提供了一种新颖的方法,同时为双金属催化剂的作用机理提供了新的见解。
通 讯 作 者 简 介
梁红艳 教授
博士生导师,现任职于天津大学材料科学与工程学院。在加拿大国家科学研究所(INRS)获得能源与材料科学博士学位(2014)。主要从事水分解和CO2还原催化剂的合成以及反应机制研究。以第一作者或者通讯作者身份在Journal of the American Chemical Society,Advanced Materials,Advanced Science等国际顶级期刊上发表论文数篇,同时主持国家自然科学基金面上项目一项。
添加官方微信 进群交流
SCI二氧化碳互助群
SCI催化材料交流群
SCI钠离子电池交流群
SCI离子交换膜经验交流群
SCI燃料电池交流群
SCI超级电容器交流群
SCI水系锌电池交流群
SCI水电解互助群
SCI气体扩散层经验交流群
备注【姓名-机构-研究方向】
投稿请联系contact@scimaterials.cn
了解更多CO2RR材料,点击"阅读原文"
点分享
点赞支持
点在看

