文 章 信 息
具有优异亲锂性和离子电导率的、非晶ZnO和氧空位修饰的氮掺杂碳骨架用于稳定的锂金属负极
第一作者:王飞
通讯作者:柳勇*,任凤章*
单位:河南科技大学材料科学与工程学院
研 究 背 景
金属锂由于其高的理论比容量(3860 mAh g−1)和极低的氧化还原电势(-3.04 V vs. SHE),因此被视为最有潜力的锂电池负极材料。但是金属锂负极在循环过程中产生的死锂和锂枝晶严重危害了锂电池的循环寿命和安全问题。有效控制锂沉积/剥离过程是缓解上述问题的有效策略。本文设计了一种ZnO和氧空位修饰的氮掺杂三维(3D)碳骨架作为金属锂负极的多功能宿主材料。
在此多功能的金属锂宿主材料中,三维骨架结构有利于减小局部电流密度,亲锂的氮掺杂位点和微小尺寸的非晶ZnO有利于降低锂成核势垒,设计的氧空位有利于锂离子快速传输,以上过程的协同作用能有效引导锂均匀地沉积/剥离。本文为未来金属锂负极的设计提供了一种兼具亲锂和导锂的锂金属宿主设计策略,有助于加速金属锂负极的研究及实际应用。
文 章 简 介
基于此,来自河南科技大学的柳勇副教授和任凤章教授团队,在国际知名期刊Journal of Materials Chemistry A(2022即时IF=14.511)上发表题为“An amorphous ZnO and oxygen Vacancy modified nitrogen-doped carbon skeleton with lithiophilicity and ionic conductivity for stable lithium metal anodes”的研究文章。
该文章就金属锂负极在循环过程中产生的死锂和锂枝晶严重危害了锂电池的循环寿命和安全问题,设计了非晶ZnO和氧空位修饰的氮掺杂三维(3D)碳骨架作为金属锂负极的多功能宿主材料,有效调控了锂沉积/剥离过程,极大改善了锂电池的循环稳定性和循环寿命。
本 文 要 点
MA-Zn-C的制备过程示意图如图1a所示。主要是通过静电相互作用的方式进行负载锌材料,然后碳化。原料MA显示了多孔的结构(图1b),由于原料中有丰富的-NH2官能团,-NH2强的电负性能促使了金属离子Zn2+静电吸附在MA表面。
在后续加入二甲基咪唑后,Zn2+与二甲基咪唑配位形成ZIF-8,因此MA表面会被ZIF-8均匀负载,如图1c所示,MA表面的板状颗粒即为负载的ZIF-8。碳化后得到的MA-Zn-C显示了较为平滑的表面(图1d,插图为MA-Zn-C放大后的表面形貌),其表面有一层白色物质覆盖,放大图表明这层物质是ZIF-8碳化后的产物。综合以上,锂在MA-Zn-C骨架中均匀致密沉积(图1e)。
图1. MA-Zn-C的制备过程:(a)制备示意图;制备过程中材料的SEM照片:(b)MA;(c)MA/ ZIF-8;(d)MA-Zn-C。
通过透射电镜进一步研究制备的MA-Zn-C的晶体结构。如图2a所示,MA-Zn-C表面只分布有一些小的暗点;高分辨透射电子显微镜(HRTEM)图像未见点阵条纹。选区电子衍射(SAED)图像(图2b)显示没有衍射环或衍射格。这些结果表明,MA-Zn-C表面分布有细小的Zn或ZnO。TEM图和图2c的元素映射图显示了MA-Zn-C中N、O、Zn的均匀分布,表明MA-Zn-C表面有微小的ZnO修饰。为了进一步研究MA-Zn-C的表面状态,进行了X射线光电子能谱(XPS)研究。
如图2d所示,光谱显示MA-Zn-C中存在C, N, Zn和O。经XPS分析,N、Zn、O原子含量分别为9.73 at%、0.54 at%、20.28 at%。氮掺杂碳具有显著的亲锂性,导致锂均匀成核,抑制了树枝状锂的生长,提高了循环性。N 1s XPS谱图(图2e)显示在400.6 eV (石墨-N)、399.6 eV(吡啶-N)和398.1 eV(吡啶-N)三个峰,可以提高碳材料的亲锂性,是锂的沉积位点。在O 1s XPS谱中(图2f),位于530.0 eV的峰被分配给ZnO中的O2−,该峰强度较低,说明MA-Zn-C中ZnO含量较低。
位于531.0 eV的峰,与MA-Zn-C表面吸附的OH基团有关,在532.0 eV处的峰值对应的是氧空位,这可以增加锂的迁移数和电导率。通过XPS分析,MA-Zn-C中金属-氧的含量约为0.74 at%,与Zn含量相当,表明MA-Zn-C中存在氧化锌。此外,MA-Zn-C中氧空位的比例约为10.59 at%。MA-Zn-C表面丰富的氧空位有利于离子电导率的提高。MA-Zn-C拉曼图谱中D峰和G峰(图2g)分别位于1341 cm−1和1572 cm−1。
高度无序的碳(ID/IG=1.24)阻止了框架内的导电,从而保持了MA-Zn-C的结构完整性。为了进一步证实氧空位的存在,进行了电子自旋共振(ESR)测试。MA-Zn-C样品中含有未配对电子的氧空位在g = 2.003处出现信号(图2h),表明MA-Zn-C样品中存在氧空位。MA-Zn-C样品中的氧空位可以增加Li+转移数和离子电导率,有利于其电化学性能。此外,MA-Zn-C具有7.058 m2 g−1的高比表面积(图2i),有利于Li的均匀沉积/剥离。
图2. MA-Zn-C的表征:(a)高分辨透射电镜(HRTEM)图,(b)选定区域电子衍射(SAED)图,(c)透射电镜(TEM)图和MA-Zn-C元素映射图。(d) x射线光电子能谱(XPS)测量谱和(e) N 1s和(f) O 1s MA-Zn-C高分辨XPS谱。(g)MA-Zn-C的拉曼光谱,(h)电子自旋共振(ESR)光谱,(i)MA-Zn-C的N2吸附和解吸等温线。
为了进一步研究制备样品对锂离子沉积的影响,实验采用COMSOL对锂离子沉积过程进行了数值模拟,并通过扫描电镜观察了不同锂沉积量对沉积形貌的影响。Cu箔电极表面锂离子浓度分布较高(图3a),说明锂离子沉积速度较快。如图3b所示,由于在Cu箔表面出现了随机的形核位点,锂在2 mAh cm−2沉积量下产生了不均匀的沉积。在锂的沉积量达到10 mAh cm−2的过程中,锂离子会随着之前的沉积位置在Cu箔上生长,如图3c所示。
当锂离子继续沉积到20 mAh cm−2时,由于锂在Cu箔上沉积不均匀,如图3d所示,呈现为松散的锂沉积形貌。与Cu箔不同,三维 MA-C表面的锂离子浓度分布较低(图3e),局部电流密度降低,离子电导率较低。随着锂离子的沉积从2 mAh cm−2(图3f)到10 mAh cm−2(图3g),沉积的锂不断填充到3D MA-C的空间中。但MA-C表面没有明显的锂沉积,表明MA-C的亲锂性较差。如图3h所示,在锂沉积容量为20 mAh cm−2时,MA-C表面随机出现不均匀的大块锂。相比之下,MA-Zn-C表面的锂离子浓度分布较低(图3i)。
当锂沉积量为2 mAh cm−2时,锂离子首先在MA-Zn-C表面沉积(图3j),因为MA-Zn-C表面具有丰富的亲锂位点。当锂的沉积量为10 mAh cm−2(图3k)时,锂会沉积在MA-Zn-C的表面和界面上。即使20 mAh cm−2的锂被镀到MA-Zn-C(图3l)电极上,也只有大块致密的沉积锂,没有锂枝晶。上述结果表明,所制备的MA-Zn-C是一种有希望实现锂电池良好循环性能的锂金属负极。
图3. (a)裸铜箔、(e) MA-C和(i) MA-Zn-C的Li+浓度分布的相场模拟。(b-d)铜箔,(f-h) MA-C,(j-l) MA-Zn-C在锂沉积量为2,10,20 mAh cm−2时的SEM图像。
所制备样品的成核过电位如图4a所示。在电流密度为2 mA cm−2时,MA-Zn-C的过电位(37.9 mV)低于MA-C(81.9 mV)和裸Cu(129.3 mV)的过电位,表明MA-Zn-C具有独特的亲锂性。此外,还对制备的样品进行了CE测试,以考察循环过程中锂的利用情况。在图4b中,库伦效率在0.5 mA cm−2放电0.5 mAh cm−2容量,然后充电到1 V下测试。在这种情况下,由于SEI膜的反复击穿和修复,Li//Cu的CE值在90%左右波动。Li//MA-C的CE可以循环约100圈,100圈后CE缓慢衰减。这是由于活跃的锂损失和死锂的累积造成的。
相比之下,Li//MA-Zn-C在循环中表现出高而稳定的库伦效率,在250次循环时的库伦效率为99.2%。第100圈的容量-电压曲线(图4c)显示,MA-Zn-C的电压滞后最小,这意味着MA-Zn-C中锂的电导率有所提高。在图4d中,在1 mAh cm−2的充放电容量下对对称电池进行了测试。Cu-Li//Cu-Li的过电位前200 h波动较大,这主要是由于锂枝晶和死锂引起的。400 h后稳定在33 mV,571 h后急剧增加到194 mV,说明锂枝晶的聚集具有高的转移阻力。
作为对比,MA-C-Li//MA-C-Li显示稳定的过电势,循环400 h后大约为20 mV,777 h后,过电势超过了400 mV,表明3D集流体可以通过减少局部电流密度能缓解了锂枝晶的生长。相比之下,MA-Zn-C-Li//MA-Zn-C-Li对称电池的过电势在400 h低11 mV,循环在1200 h后过电势大约为14 mV。当测试电流和容量分别增加到5 mA cm−2和5 mAh cm−2进行循环时(图4e),Cu-Li//Cu-Li呈现出较高且波动的过电位。
而MA-C-Li//MA-C-Li显示了初始230 h的平稳的过电位,但230 h后出现微短路,在循环490 h后的过电势超过了400 mV。值得注意的是,MA-Zn-C-Li//MA-Zn-C-Li对称电池能稳定循环1500 h,且过电位较低,为16 mV,展现了稳定的循环性能。图4f统计了不同碳基集流体的对称电池的电化学性能(都使用醚类电解液)。总的来说,MA-Zn-C具有均匀、稳定的Li电镀/剥离性能。
图4. 铜箔、MA-C和MA-Zn-C的电化学性能。(a)锂在不同电极上的成核过电位。(b) 0.5 mAh cm-2在0.5 mA cm-2电极上镀/剥锂的库仑效率。(c)选定MA-Zn-C第100次循环电化学镀/剥锂曲线。在对称电解槽中,不同剥离/电镀容量和电流密度的电极的电化学循环:(d) 1 mA cm−2/1 mAh cm−2,(e) 5 mA cm−2/5 mAh cm−2,(f) 具有不同碳基体的锂基阳极及其与醚基电解质相对应的电化学性能的调查。
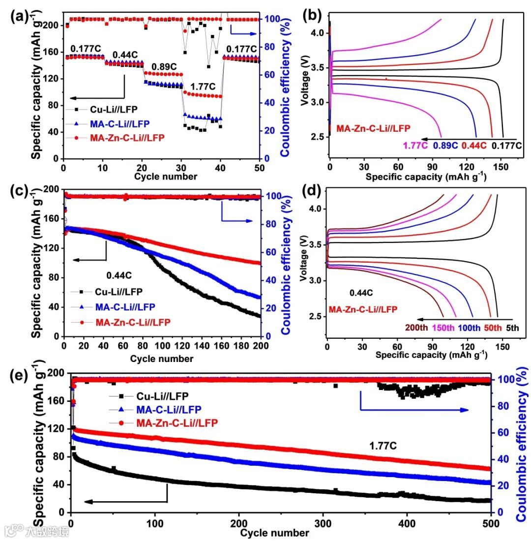
为了证明所制备的锂金属支撑体的实际应用,用预沉积锂的集流体(预沉积10 mAh cm−2的锂)和LiFePO4 (LFP,1C = 150 mAh • g−1,负载量为5.49 mg cm−2)组装了全电池。图5a显示了全电池的倍率性能。在0.177C、0.44C、0.89C和1.77C的电流密度下,MA-Zn-C-Li//LFP全电池的比容量分别为152、142、127和96 mAh g−1。
当电流密度恢复到0.177C时,MA-Zn-C-Li//LFP全电池仍然保持150 mAh g−1的高容量。并且在不同电流密度测试下,MA-Zn-C-Li//LFP全电池保持了高的平台容量(图5b)。这些证实了MA-Zn-C优异的倍率性能。相比之下,MA-C-Li//LFP或Cu-Li//LFP在低电流密度下可以显示类似的比容量。在0.44C电流条件下测试全电池的长循环稳定性,如图5c所示。
经过200次循环后,MA-Zn-C-Li//LFP电池的可逆容量达到99 mAh g−1。相比之下,MA-C-Li//LFP电池的容量仅为53 mAh g−1左右,这主要是由于MA-C-Li//LFP电池抑制锂枝晶生长的能力较弱,活性锂损失较快。Cu-Li//LFP全电池的容量在80次循环后迅速衰减,200次循环后容量仅维持在27 mAh g−1。
Cu-Li//LFP全电池出现了明显的容量衰减,这主要是由于循环过程中无限锂体积变化引起电解液的消耗。由于这些优势,MA-Zn-C-Li//LFP在不同循环圈数的极化(图5d)都较小。即使当前电流密度提高到1.77C,MA-Zn-C-Li//LFP仍然具有优异的循环稳定性,在500次循环后保持了62 mAh g−1的可逆容量,高于MA-C-Li//LFP的42 mAh g−1和Cu-Li//LFP的17 mAh g−1。这些结果表明,MA-Zn-C是一种很有前途的锂金属宿主材料。
图5. Cu-Li、MA-C-Li和MA-Zn-C-Li负极的电池电化学性能:(a) Cu-Li//LFP、MA-C-Li//LFP和MA-Zn-C-Li//LFP的速率容量。(b) MA-Zn-C-Li//LFP在不同电流密度下对应的恒流充放电电压曲线。(c) Cu-Li//LFP、MA-C-Li//LFP和MA-Zn-C-Li//LFP在0.44C的循环稳定性。(d) MA-Zn-C-Li//LFP各循环对应的恒流充放电电压曲线。(e) Cu-Li//LFP、MA-C-Li//LFP和MA-Zn-C-Li//LFP在1.77C的循环稳定性。
结 论
本文设计并制备了氧化锌和氧空位修饰的三维碳骨架(MA-Zn-C)作为锂金属负极。三维碳框架有效地降低了局部电流密度,并缓解了循环过程中锂负极的体积变化。而亲锂氮掺杂碳和小尺寸ZnO能有效控制锂的均匀成核和生长,抑制了锂枝晶的生长。
丰富的氧空位提供了良好的离子导电性,使MA-Zn-C在高电流密度下表现出优异的电化学性能。此外,MA-Zn-C具有光滑的骨架表面和适度的表面积,防止额外的电解质消耗。这些协同效应使得MA-Zn-C具有较高的库仑效率和超低过电位。此外,MA-Zn-C-Li//LFP全电池具有更高的倍率性能和循环稳定性。这一工作为高性能锂金属负极的功能碳基锂负极的设计和合成提供了新的思路。
文 章 链 接
https://doi.org/10.1039/D2TA03706H
通 讯 作 者 简 介
柳勇副教授简介:博士,河南科技大学副教授,硕士生导师。天津大学化工学院学士(2003),天津大学应用化学博士(2012),美国佐治亚理工学院访问学者(2009-2011)。长期从事新能源关键材料与器件的研究与开发,研究领域包括锂金属电池、锂硫电池、锂(钠)离子电池、锌离子电池和电催化等。
先后在Angew. Chem. Int. Edit. 、Adv. Energy Mater.、J. Energy Chem.、Energy Storage Mater.和J. Mater. Chem. A等国内外权威学术刊物发表学术论文50余篇,其中3篇入选ESI高被引论文,H因子为26(Google Scholar),长期担任Energy Storage Mater.、Chem. Eng. J.和J. Energy Chem.等十余种国际著名期刊的审稿人,兼任Rare Metals、Metals和Coatings等国际期刊客座编辑和青年编委,申请中国发明专利8项,授权4项。
个人主页:https://cl.haust.edu.cn/info/1283/6352.htm。
任凤章教授简介:博士、河南科技大学教授、博士生导师、河南省特聘教授。材料学系主任。材料物理与化学方向学术技术带头人。河南省科技创新杰出人才基金获得者,河南省科技创新杰出青年基金获得者,河南省高校创新人才工程培养对象,河南省教育厅学术技术带头人,河南省高校青年骨干教师,全国物理冶金技术委员会委员,《表面技术》编委。
近几年来,主持和参加国家自然科学基金、863项目等国家级项目8项,主持河南省科技创新杰出人才支持计划项目、河南省科技创新杰出青年支持计划项目、河南省(重点)攻关项目、河南省基础与前沿技术研究计划项目等省部级项目7项。主持或参加市厅级项目11项。已鉴定成果12项。获包括河南省科学技术进步奖三等奖、中国机械工业科学技术三等奖各种科技奖9项。已授权发明专利10件、实用新型7件。第一作者发表学术论文40余篇,其中SCI收录22篇,EI收录24篇,多篇被引20次以上
个人主页:https://cl.haust.edu.cn/info/1283/6358.htm
第 一 作 者 简 介
王飞博士:博士毕业于河南科技大学,曾在J Mater. Chem. A、Small、Rare Metals、J. Alloy. Compd.和Surf. Coat. Tech.等国内外权威学术刊物发表学术论文10余篇,其中2篇入选ESI高被引论文。目前以讲师(博士)任职于黄河科技学院工学部。
添加官方微信 进群交流
SCI二氧化碳互助群
SCI催化材料交流群
SCI钠离子电池交流群
SCI离子交换膜经验交流群
SCI燃料电池交流群
SCI超级电容器交流群
SCI水系锌电池交流群
SCI水电解互助群
SCI气体扩散层经验交流群
备注【姓名-机构-研究方向】
投稿请联系contact@scimaterials.cn
点分享
点赞支持
点在看

