文 章 信 息
暨南大道麦文杰教授Nano Energy:以空位之名,重塑普鲁士蓝钾电正极性能
第一作者:王泽煜,卓闻琛
通讯作者:黎晋良,麦文杰
单位:暨南大学,广州鹏辉能源科技股份有限公司
研 究 背 景
普鲁士蓝类似物(PBA)正极材料在钾化-脱钾过程中经历从立方相到四方相的相变,导致可逆性和循环稳定性差。因此,作者引入了乙二胺四乙酸二钾盐(EDTA-2K)的螯合剂来合成具有FeIII空位的PBAs,并通过X 射线光电子能谱和同步辐射X 射线吸收光谱证明了FeIII空位的引入。
根据计算结果,作者发现PBA中的FeIII空位可以抑制Fe-C键的移动。这种行为有助于减少 Fe-C 八面体的晶格畸变,有利于 PBA 的高可逆性和循环稳定性。经过处理后,所得到的PBA表现出高达 97% 的首次库仑效率,在 25 mA g -1循环 50 次后的放电容量为 66 mAh g -1 ,在 100 mA g -1下可实现250 次的稳定循环。这项工作展示了一种通过调控Fe-C八面体精细结构来改进PBAs正极的新方法,并为未来进一步开发高性能钾离子电池正极材料提供指导。
文 章 简 介
在这里,来自暨南大学的黎晋良副研究员与麦文杰教授,在国际知名期刊Nano Energy上发表题为“Regulation of Ferric Iron Vacancy for Prussian Blue Analogue Cathode to Realize High-performance Potassium Ion Storage”的报告文章。
该文章报道了一种通过引入EDTA-2K实现PBA中三价铁空位(FeIII Vacancy)的引入,实现其储钾性能的显著提升。根据DFT计算发现,FeIII空位的引入对钾离子从普鲁士蓝脱出时其晶体畸变具有抑制作用。
本 文 要 点
要点一:发现在前驱中加入EDTA-2K可实现普鲁士蓝FeIII 空位的引入
图 1 KFeHCF-V的合成示意图及其相应的材料表征
作者在制备PBA的过程中通过对其前驱中引入EDTA-2K,发现可利用EDTA-2K中的络合作用抑制普鲁士蓝FeIII(KFeHCF-V)的形成,进而导致PBAs 晶胞中FeIII位置的缺乏,从而产生了丰富的 FeIII空位。所制备的KFeHCF-V正极其表现为纳米颗粒结构,粒径范围为 20 至 40 nm 的颗粒形状。从高分辨率 TEM 图像显示 KFeHCF-V 的晶格条纹清晰,表明晶体结构良好。可以观察到0.51 nm 的晶格条纹。
根据ICP-MS 的结果,发现KFeHCF-V的K:Fe比值(87 at.%, K1.74 FeFe(CN) 6) 高于 KFeHCF (49 at.%, K0.98 FeFe(CN)6 ),表明 KFeHCF-V 处于富钾状态。根据拉曼光谱发现KFeHCF-V中Fe II和Fe III配位的含量与KFeHCF接近,结合其XPS与XAFS的分析发现,PBA 中引入 DETA-2K, Fe III的含量减少,而 Fe II的含量增加。鉴于不变的 Fe II和拉曼光谱中的 Fe III配位位置,作者认为 Fe III空位出现在 KFeHCF-V 中。
要点二:普鲁士蓝中FeIII 空位的引入可显著提升其在钾离子电池中的电化学性能
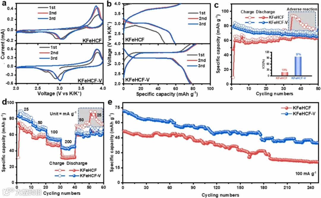
图 2 KFeHCF-V在钾离子电池中的电化学性能测试
图 2为所制备的KFeHCF-V在钾离子电池中的电化学性能。从图中发现,随着 FeIII空位的引入,由于离子扩散能力的增强,KFeHCF-V 的容量可逆性显着增加。此外,对于KFeHCF,仅获得9.3 mAh g -1的非常低的初始充电比容量,表明KFeHCF呈现较差的K离子状态。对于KFeHCF-V,初始充电比容量增加到77.6 mAh g -1,表现出良好的K离子存储性能。
此外, KFeHCF 仅表现出非常差的 19% 的初始库仑效率 (ICE),这应归因于在没有空位的情况下难以提取 PBA 的 K 离子。与 KFeHCF 相比,由于引入 FeIII空位增加了钾离子扩散,KFeHCF-V 的 ICE 提高到 97%。在循环50 次后,KFeHCF在 25 mA g-1下的初始放电比容量仅为 63 mAh g -1,并在循环至 32 次后可观察到明显的不良反应,这是因为多次循环中晶格变形的累积,导致大量钾离子无效返回。
相比之下,KFeHCF-V在 25 mA g -1时表现出更高的放电比容量,其初始比容量为 66 mAh g -1且表现出良好的稳定性。在100 mA g -1的电流密度下循环250次循环,KFeHCF-V依旧可表现出优异的稳定性。
要点三: FeIII 空位的引入可降低普鲁士蓝在充放电过程中的晶格畸变
图 3 KFeHCF 与KFeHCF-V在钾离子脱嵌中Fe-C 键长变化的理论模拟
作者认为PBA 电化学性能的提升使是由于引入了 Fe III空位。为了证实这个假设,作者对其进行 DFT 计算以获得 钾离子提取过程中 KFeHCF 和 KFeHCF-V 的结构变化。与KFeHCF的结果不同的是,KFeHCF-V中只有两个方向的Fe-C键略有延长,四个方向的Fe-C键几乎没有变化。
这些结果表明,在第二次钾离子提取过程之后,KFeHCF-V 出现了适度的失真。结合Fe-C八面体中的Fe-C键长的变化值,作者认为在PBAs中引入Fe III空位可以有效抑制PBA中的晶格畸变,从而提高PBAs的钾离子储存能力。
文 章 链 接
Regulation of Ferric Iron Vacancy for Prussian Blue Analogue Cathode to Realize High-performance Potassium Ion Storage
https://doi.org/10.1016/j.nanoen.2022.107243
通 讯 作 者 简 介
黎晋良 副研究员
黎晋良,暨南大学理工学院副研究员,硕士生导师,从事锂/钠/钾离子电池电极材料及电解液相关工作的研究,并开发一系列基于锂/钠/钾离子电池的拉曼、可视化等先进原位表征技术。相关工作以通讯作者/第一作者发表SCI论文40余篇,包括Angew. Chem. Int. Ed.、CCS Chem.、Adv. Energy Mater.、Nano Energy等,主持国家自然科学基金1项,省部级项目2项。入选2020年度中国博士后科学基金资助者选介。
麦文杰 教授
麦文杰,暨南大学理工学院教授,博士生导师,物理学系主任,广东省真空薄膜技术与新能源材料工程技术研究中心主任。从事纳米光电和能源材料及其相关新型器件的研究,主要研究方向为锌/钠/钾离子电池、光电探测器、光电催化材料。以通讯作者/第一作者发表SCI论文110余篇,包括Energy Environ Sci.、Materials Today、Nano Lett.、ACS Nano、Angew. Chem. Int. Ed.、Light: Sci. Appl.、Nano Energy 等,主持国家自然科学基金3项,省部级项目7项。担任SCI期刊《Science Bulletin》编委。曾荣获广东省自然科学杰出青年基金,入选广东特支计划百千万人才工程青年拔尖人才,入选广东高等学校优秀青年教师培养计划,和荣获南粤科技创新优秀学术论文一等奖。
第 一 作 者 介 绍
王泽煜
暨南大学物理系本科生,主要研究方向为钾离子电池正极材料。
卓闻琛
暨南大学材料工程硕士,主要研究领域是碱性离子电池正极材料。
添加官方微信 进群交流
SCI二氧化碳互助群
SCI催化材料交流群
SCI钠离子电池交流群
SCI离子交换膜经验交流群
SCI燃料电池交流群
SCI超级电容器交流群
SCI水系锌电池交流群
SCI水电解互助群
SCI气体扩散层经验交流群
备注【姓名-机构-研究方向】
投稿请联系contact@scimaterials.cn
点分享
点赞支持
点在看

